Independent and joint relationships of physical activity and pulmonary function with the risk of all-cause mortality.

IF 3.4 3区 医学 Q1 RESPIRATORY SYSTEM
Jingxin Ma, Can Shen, Yu Jia, Rong Yang, Shanye Yi, Yiheng Zhou, Rui Zeng, Zhi Wan, Qian Zhao, Yi Lei, Xiaoyang Liao
{"title":"Independent and joint relationships of physical activity and pulmonary function with the risk of all-cause mortality.","authors":"Jingxin Ma, Can Shen, Yu Jia, Rong Yang, Shanye Yi, Yiheng Zhou, Rui Zeng, Zhi Wan, Qian Zhao, Yi Lei, Xiaoyang Liao","doi":"10.1136/bmjresp-2024-002818","DOIUrl":null,"url":null,"abstract":"<p><strong>Background: </strong>Physical activity (PA) plays a crucial protective role in the overall health outcomes of individuals with chronic obstructive pulmonary disease. However, accurate recommendations for amount and categories of PA are still unclear for individuals with impaired pulmonary function (PF) in community environments. Thus, this study aims to investigate the independent and joint relationships of PA and PF with mortality.</p><p><strong>Methods: </strong>In a prospective UK Biobank cohort study, PA was collected by touchscreen questionnaires, and metabolic equivalents of task (MET)-minutes/week of total exercise was calculated by walking plus moderate-intensity PA plus vigorous-intensity PA. According to the standard of the Global Initiative for Chronic Obstructive Pulmonary Disease (GOLD) 2024, GOLD stage 1, GOLD stage 2 and GOLD stages 3-4 were classified as mild, medium and severe PF impairment, respectively. Cox regression was established to analyse the association between PA, PF and the risk of all-cause mortality.</p><p><strong>Results: </strong>A total of 354 572 participants were included with mean age of 56.0 years. Compared with lowest quintile of PA, highest quintile of PA was associated with lower risk of mortality in individuals with normal PF (HR=0.828), mild (HR=0.768), medium (HR=0.697) and severe PF impairment (HR=0.588). Generally, PF impairment related to mortality, and this relationship was independent of PA (p<0.05), except for individuals adhering to third quintile (1378-2340 MET-minutes/week) of PA (p>0.05). In joint analysis, more severe PF impairment and lower PA had a dose-response relationship with mortality. Moreover, highest quintile of walking/total exercise was associated with elevated mortality, while adhering to high level of vigorous-intensity PA/total exercise ratio achieved lowest risk of mortality, regardless of individuals with or without PF impairment.</p><p><strong>Conclusions: </strong>There were significant independent and joint relationships of lower PA and PF impairment with the elevated risk of mortality. However, engaging in appropriate total exercise weekly can mitigate adverse effects associated with mild PF decline.</p>","PeriodicalId":9048,"journal":{"name":"BMJ Open Respiratory Research","volume":"12 1","pages":""},"PeriodicalIF":3.4000,"publicationDate":"2025-09-17","publicationTypes":"Journal Article","fieldsOfStudy":null,"isOpenAccess":false,"openAccessPdf":"https://www.ncbi.nlm.nih.gov/pmc/articles/PMC12458715/pdf/","citationCount":"0","resultStr":null,"platform":"Semanticscholar","paperid":null,"PeriodicalName":"BMJ Open Respiratory Research","FirstCategoryId":"3","ListUrlMain":"https://doi.org/10.1136/bmjresp-2024-002818","RegionNum":3,"RegionCategory":"医学","ArticlePicture":[],"TitleCN":null,"AbstractTextCN":null,"PMCID":null,"EPubDate":"","PubModel":"","JCR":"Q1","JCRName":"RESPIRATORY SYSTEM","Score":null,"Total":0}
引用次数: 0

Abstract

Background: Physical activity (PA) plays a crucial protective role in the overall health outcomes of individuals with chronic obstructive pulmonary disease. However, accurate recommendations for amount and categories of PA are still unclear for individuals with impaired pulmonary function (PF) in community environments. Thus, this study aims to investigate the independent and joint relationships of PA and PF with mortality.

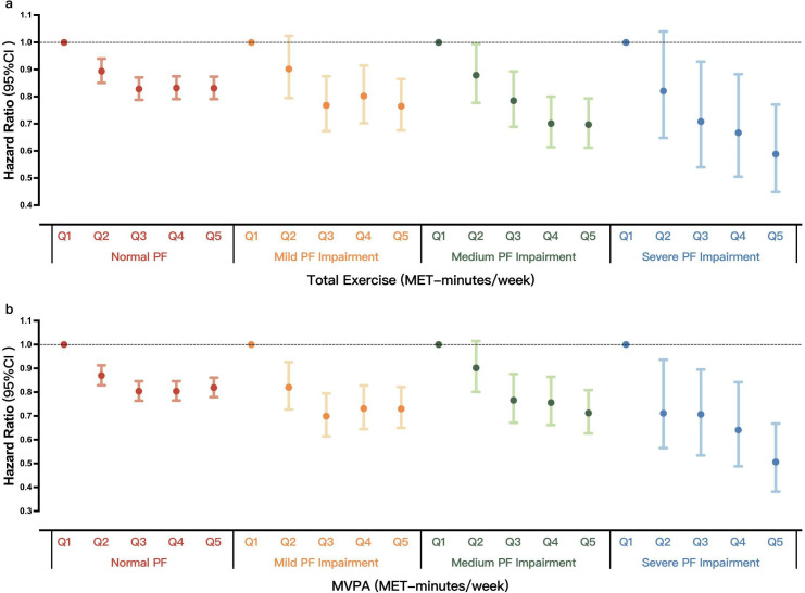
Methods: In a prospective UK Biobank cohort study, PA was collected by touchscreen questionnaires, and metabolic equivalents of task (MET)-minutes/week of total exercise was calculated by walking plus moderate-intensity PA plus vigorous-intensity PA. According to the standard of the Global Initiative for Chronic Obstructive Pulmonary Disease (GOLD) 2024, GOLD stage 1, GOLD stage 2 and GOLD stages 3-4 were classified as mild, medium and severe PF impairment, respectively. Cox regression was established to analyse the association between PA, PF and the risk of all-cause mortality.

Results: A total of 354 572 participants were included with mean age of 56.0 years. Compared with lowest quintile of PA, highest quintile of PA was associated with lower risk of mortality in individuals with normal PF (HR=0.828), mild (HR=0.768), medium (HR=0.697) and severe PF impairment (HR=0.588). Generally, PF impairment related to mortality, and this relationship was independent of PA (p<0.05), except for individuals adhering to third quintile (1378-2340 MET-minutes/week) of PA (p>0.05). In joint analysis, more severe PF impairment and lower PA had a dose-response relationship with mortality. Moreover, highest quintile of walking/total exercise was associated with elevated mortality, while adhering to high level of vigorous-intensity PA/total exercise ratio achieved lowest risk of mortality, regardless of individuals with or without PF impairment.

Conclusions: There were significant independent and joint relationships of lower PA and PF impairment with the elevated risk of mortality. However, engaging in appropriate total exercise weekly can mitigate adverse effects associated with mild PF decline.

Abstract Image

Abstract Image

Abstract Image

体力活动和肺功能与全因死亡风险的独立和联合关系
背景:体力活动(PA)在慢性阻塞性肺疾病患者的整体健康结局中起着至关重要的保护作用。然而,对于社区环境中肺功能受损(PF)的个体,PA的准确推荐量和类别仍不清楚。因此,本研究旨在探讨PA和PF与死亡率的独立和联合关系。方法:在一项前瞻性英国生物银行队列研究中,通过触摸屏问卷收集PA,并通过步行+中等强度PA +高强度PA计算总运动的代谢当量(MET)-分钟/周。根据全球慢性阻塞性肺疾病倡议(GOLD) 2024的标准,GOLD阶段1、GOLD阶段2和GOLD阶段3-4分别被划分为轻度、中度和重度PF损害。建立Cox回归分析PA、PF与全因死亡风险之间的关系。结果:共纳入354 572名参与者,平均年龄56.0岁。与PA最低五分位数相比,PA最高五分位数与PF正常(HR=0.828)、轻度(HR=0.768)、中度(HR=0.697)和重度(HR=0.588)患者的死亡率相关。一般情况下,PF损伤与死亡率相关,且与PA无关(p0.05)。在联合分析中,更严重的PF损伤和更低的PA与死亡率呈剂量-反应关系。此外,步行/总运动的最高五分位数与死亡率升高有关,而坚持高强度PA/总运动比例的死亡率最低,无论是否有PF损伤。结论:低PA和PF损伤与死亡风险升高存在显著的独立和联合关系。然而,每周进行适当的全面运动可以减轻与轻度PF下降相关的不良影响。
本文章由计算机程序翻译,如有差异,请以英文原文为准。
求助全文
约1分钟内获得全文 求助全文
来源期刊
BMJ Open Respiratory Research
BMJ Open Respiratory Research RESPIRATORY SYSTEM-
CiteScore
6.60
自引率
2.40%
发文量
95
审稿时长
12 weeks
期刊介绍: BMJ Open Respiratory Research is a peer-reviewed, open access journal publishing respiratory and critical care medicine. It is the sister journal to Thorax and co-owned by the British Thoracic Society and BMJ. The journal focuses on robustness of methodology and scientific rigour with less emphasis on novelty or perceived impact. BMJ Open Respiratory Research operates a rapid review process, with continuous publication online, ensuring timely, up-to-date research is available worldwide. The journal publishes review articles and all research study types: Basic science including laboratory based experiments and animal models, Pilot studies or proof of concept, Observational studies, Study protocols, Registries, Clinical trials from phase I to multicentre randomised clinical trials, Systematic reviews and meta-analyses.
×
引用
GB/T 7714-2015
复制
MLA
复制
APA
复制
导出至
BibTeX EndNote RefMan NoteFirst NoteExpress
×
提示
您的信息不完整,为了账户安全,请先补充。
现在去补充
×
提示
您因"违规操作"
具体请查看互助需知
我知道了
×
提示
确定
请完成安全验证×
copy
已复制链接
快去分享给好友吧!
我知道了
右上角分享
点击右上角分享
0
联系我们:info@booksci.cn Book学术提供免费学术资源搜索服务,方便国内外学者检索中英文文献。致力于提供最便捷和优质的服务体验。 Copyright © 2023 布克学术 All rights reserved.
京ICP备2023020795号-1
ghs 京公网安备 11010802042870号
Book学术文献互助
Book学术文献互助群
群 号:604180095
Book学术官方微信