Association of Decay Accelerating Factor (CD55) Positive Extracellular Vesicles with Advanced Age and Blood Glucose Levels in Elderly Individuals.

IF 3.7 3区 医学 Q2 GERIATRICS & GERONTOLOGY
Clinical Interventions in Aging Pub Date : 2025-09-12 eCollection Date: 2025-01-01 DOI:10.2147/CIA.S536479
Xinyang Yue, Shuang Liang, Haiyue Zhang, Tenglong Dai, Jun Wu
{"title":"Association of Decay Accelerating Factor (CD55) Positive Extracellular Vesicles with Advanced Age and Blood Glucose Levels in Elderly Individuals.","authors":"Xinyang Yue, Shuang Liang, Haiyue Zhang, Tenglong Dai, Jun Wu","doi":"10.2147/CIA.S536479","DOIUrl":null,"url":null,"abstract":"<p><strong>Background: </strong>Extracellular vesicles (EVs) play a pivotal role in driving aging, serving as vehicles for the transmission of aging-related signals. Decay-accelerating factors (DAFs), also known as CD55, a crucial complement regulator, exhibits age-associated alterations, yet its expression on circulating EVs remains poorly characterized. This study aims to investigate differences in plasma EVs and CD55 positive EVs concentrations in younger and older adults, and explore their correlations with age and blood glucose levels.</p><p><strong>Methods: </strong>In this study, 40 older adults (≥65 years) undergoing routine physical examinations at Beijing Jishuitan Hospital and 40 gender-matched younger adults (<65 years) were enrolled prospectively. Blood glucose levels were measured using the standard glucose oxidase method. Circulating EVs concentrations were quantified by flow cytometry, including circulating total EVs, endothelial EVs (EEVs), platelet EVs (PEVs), red blood cell EVs (REVs), lymphocyte EVs (LEVs), monocyte EVs (MEVs), neutrophil EVs (NEVs), white blood cell EVs (WEVs), and CD55-positive EVs.</p><p><strong>Results: </strong>Compared to younger adults, older adults exhibited significantly lower concentrations of LEVs, MEVs, NEVs, and WEVs (<i>p</i> < 0.05). Concentrations of CD55 positive EVs, including CD55+EEVs, CD55+PEVs, CD55+LEVs, CD55+MEVs, CD55+NEVs, and CD55+WEVs, were markedly reduced in older adults (<i>p</i> < 0.05). Notably, CD55+PEVs showed the strongest negative correlation with age (r = - 0.6228, <i>p</i> < 0.001). Furthermore, significant inverse correlations were found between blood glucose levels and concentrations of CD55+EEVs (<i>p</i> = 0.001), CD55+PEVs (<i>p</i> = 0.006), CD55+LEVs (<i>p</i> < 0.001), CD55+MEVs (<i>p</i> = 0.001), and CD55+WEVs (<i>p</i> = 0.003).</p><p><strong>Conclusion: </strong>Our findings indicate significant differences in plasma EVs subtypes between older and younger adults and demonstrate robust negative correlations between CD55+ EVs subtypes and both aging and elevated glucose levels. Thus, these results suggest CD55+ EVs as a critical contributor to metabolic disorders in aging, offering potential risk assessment and monitoring strategies in older populations.</p>","PeriodicalId":48841,"journal":{"name":"Clinical Interventions in Aging","volume":"20 ","pages":"1549-1560"},"PeriodicalIF":3.7000,"publicationDate":"2025-09-12","publicationTypes":"Journal Article","fieldsOfStudy":null,"isOpenAccess":false,"openAccessPdf":"https://www.ncbi.nlm.nih.gov/pmc/articles/PMC12439711/pdf/","citationCount":"0","resultStr":null,"platform":"Semanticscholar","paperid":null,"PeriodicalName":"Clinical Interventions in Aging","FirstCategoryId":"3","ListUrlMain":"https://doi.org/10.2147/CIA.S536479","RegionNum":3,"RegionCategory":"医学","ArticlePicture":[],"TitleCN":null,"AbstractTextCN":null,"PMCID":null,"EPubDate":"2025/1/1 0:00:00","PubModel":"eCollection","JCR":"Q2","JCRName":"GERIATRICS & GERONTOLOGY","Score":null,"Total":0}
引用次数: 0

Abstract

Background: Extracellular vesicles (EVs) play a pivotal role in driving aging, serving as vehicles for the transmission of aging-related signals. Decay-accelerating factors (DAFs), also known as CD55, a crucial complement regulator, exhibits age-associated alterations, yet its expression on circulating EVs remains poorly characterized. This study aims to investigate differences in plasma EVs and CD55 positive EVs concentrations in younger and older adults, and explore their correlations with age and blood glucose levels.

Methods: In this study, 40 older adults (≥65 years) undergoing routine physical examinations at Beijing Jishuitan Hospital and 40 gender-matched younger adults (<65 years) were enrolled prospectively. Blood glucose levels were measured using the standard glucose oxidase method. Circulating EVs concentrations were quantified by flow cytometry, including circulating total EVs, endothelial EVs (EEVs), platelet EVs (PEVs), red blood cell EVs (REVs), lymphocyte EVs (LEVs), monocyte EVs (MEVs), neutrophil EVs (NEVs), white blood cell EVs (WEVs), and CD55-positive EVs.

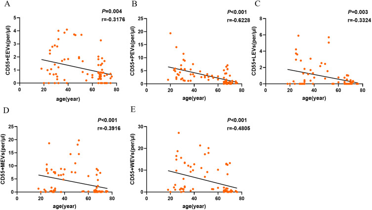
Results: Compared to younger adults, older adults exhibited significantly lower concentrations of LEVs, MEVs, NEVs, and WEVs (p < 0.05). Concentrations of CD55 positive EVs, including CD55+EEVs, CD55+PEVs, CD55+LEVs, CD55+MEVs, CD55+NEVs, and CD55+WEVs, were markedly reduced in older adults (p < 0.05). Notably, CD55+PEVs showed the strongest negative correlation with age (r = - 0.6228, p < 0.001). Furthermore, significant inverse correlations were found between blood glucose levels and concentrations of CD55+EEVs (p = 0.001), CD55+PEVs (p = 0.006), CD55+LEVs (p < 0.001), CD55+MEVs (p = 0.001), and CD55+WEVs (p = 0.003).

Conclusion: Our findings indicate significant differences in plasma EVs subtypes between older and younger adults and demonstrate robust negative correlations between CD55+ EVs subtypes and both aging and elevated glucose levels. Thus, these results suggest CD55+ EVs as a critical contributor to metabolic disorders in aging, offering potential risk assessment and monitoring strategies in older populations.

Abstract Image

Abstract Image

Abstract Image

衰老加速因子(CD55)阳性细胞外囊泡与老年人年龄和血糖水平的关系
背景:细胞外囊泡(Extracellular vesicles, EVs)是衰老相关信号传递的载体,在衰老过程中起着关键作用。衰变加速因子(daf),也称为CD55,是一种关键的补体调节因子,表现出与年龄相关的改变,但其在循环电动汽车中的表达仍然缺乏特征。本研究旨在探讨年轻人和老年人血浆EVs和CD55阳性EVs浓度的差异,并探讨其与年龄和血糖水平的相关性。方法:在北京积水滩医院进行常规体检的40名老年人(≥65岁)和40名性别匹配的年轻人(结果:与年轻人相比,老年人的lev、mev、nev和wev浓度显著降低(p < 0.05)。老年人中CD55阳性ev(包括CD55+ eev、CD55+ pev、CD55+ lev、CD55+ mev、CD55+ nev和CD55+ wev)浓度显著降低(p < 0.05)。值得注意的是,CD55+PEVs与年龄呈最强负相关(r = - 0.6228, p < 0.001)。此外,血糖水平与CD55+ eev (p = 0.001)、CD55+PEVs (p = 0.006)、CD55+LEVs (p < 0.001)、CD55+MEVs (p = 0.001)和CD55+WEVs (p = 0.003)浓度呈显著负相关。结论:我们的研究结果表明,老年人和年轻人的血浆EVs亚型存在显著差异,并且CD55+ EVs亚型与衰老和血糖水平升高之间存在显著的负相关。因此,这些结果表明CD55+ ev是衰老代谢紊乱的关键因素,为老年人群提供了潜在的风险评估和监测策略。
本文章由计算机程序翻译,如有差异,请以英文原文为准。
求助全文
约1分钟内获得全文 求助全文
来源期刊
Clinical Interventions in Aging
Clinical Interventions in Aging GERIATRICS & GERONTOLOGY-
CiteScore
6.80
自引率
2.80%
发文量
193
审稿时长
6-12 weeks
期刊介绍: Clinical Interventions in Aging, is an online, peer reviewed, open access journal focusing on concise rapid reporting of original research and reviews in aging. Special attention will be given to papers reporting on actual or potential clinical applications leading to improved prevention or treatment of disease or a greater understanding of pathological processes that result from maladaptive changes in the body associated with aging. This journal is directed at a wide array of scientists, engineers, pharmacists, pharmacologists and clinical specialists wishing to maintain an up to date knowledge of this exciting and emerging field.
×
引用
GB/T 7714-2015
复制
MLA
复制
APA
复制
导出至
BibTeX EndNote RefMan NoteFirst NoteExpress
×
提示
您的信息不完整,为了账户安全,请先补充。
现在去补充
×
提示
您因"违规操作"
具体请查看互助需知
我知道了
×
提示
确定
请完成安全验证×
copy
已复制链接
快去分享给好友吧!
我知道了
右上角分享
点击右上角分享
0
联系我们:info@booksci.cn Book学术提供免费学术资源搜索服务,方便国内外学者检索中英文文献。致力于提供最便捷和优质的服务体验。 Copyright © 2023 布克学术 All rights reserved.
京ICP备2023020795号-1
ghs 京公网安备 11010802042870号
Book学术文献互助
Book学术文献互助群
群 号:604180095
Book学术官方微信