Analysis of interaction effect between within- and between-subject factors in repeated measures analysis of variance for longitudinal data.

IF 6.3 4区 医学 Q1 ANESTHESIOLOGY
Korean Journal of Anesthesiology Pub Date : 2025-10-01 Epub Date: 2025-09-18 DOI:10.4097/kja.22617
Jonghae Kim, Jae Hong Park, Tae Kyun Kim
{"title":"Analysis of interaction effect between within- and between-subject factors in repeated measures analysis of variance for longitudinal data.","authors":"Jonghae Kim, Jae Hong Park, Tae Kyun Kim","doi":"10.4097/kja.22617","DOIUrl":null,"url":null,"abstract":"<p><p>Repeated measures analysis of variance (RM-ANOVA) is a specialized form of analysis of variance used for analyzing data involving repeated measurements, such as longitudinal data commonly encountered in anesthesia and pain medicine research. When data are collected at multiple time points across more than one group, RM-ANOVA evaluates the between-subject (group) effect, within-subject (time) effect, and interaction between these two factors. The group-by-time interaction effect indicates whether changes in an outcome variable over the study period differ among groups. Analyzing interaction contrasts between specific time points is particularly useful for identifying intervals where this interaction effect is significant. For instance, if an outcome variable is measured at multiple time points in two groups, the interaction contrast for any two time points represents the difference between the change in the outcome variable over that interval in one group and the corresponding change in the other group. An independent two-sample Student's t-test can then compare these differences to determine the statistical significance of the group-by-time interaction for the selected time points. Thus, incorporating interaction contrast analysis into RM-ANOVA enhances the interpretation of longitudinal data by pinpointing specific time intervals where significant interactions occur.</p>","PeriodicalId":17855,"journal":{"name":"Korean Journal of Anesthesiology","volume":" ","pages":"418-428"},"PeriodicalIF":6.3000,"publicationDate":"2025-10-01","publicationTypes":"Journal Article","fieldsOfStudy":null,"isOpenAccess":false,"openAccessPdf":"https://www.ncbi.nlm.nih.gov/pmc/articles/PMC12489589/pdf/","citationCount":"0","resultStr":null,"platform":"Semanticscholar","paperid":null,"PeriodicalName":"Korean Journal of Anesthesiology","FirstCategoryId":"3","ListUrlMain":"https://doi.org/10.4097/kja.22617","RegionNum":4,"RegionCategory":"医学","ArticlePicture":[],"TitleCN":null,"AbstractTextCN":null,"PMCID":null,"EPubDate":"2025/9/18 0:00:00","PubModel":"Epub","JCR":"Q1","JCRName":"ANESTHESIOLOGY","Score":null,"Total":0}
引用次数: 0

Abstract

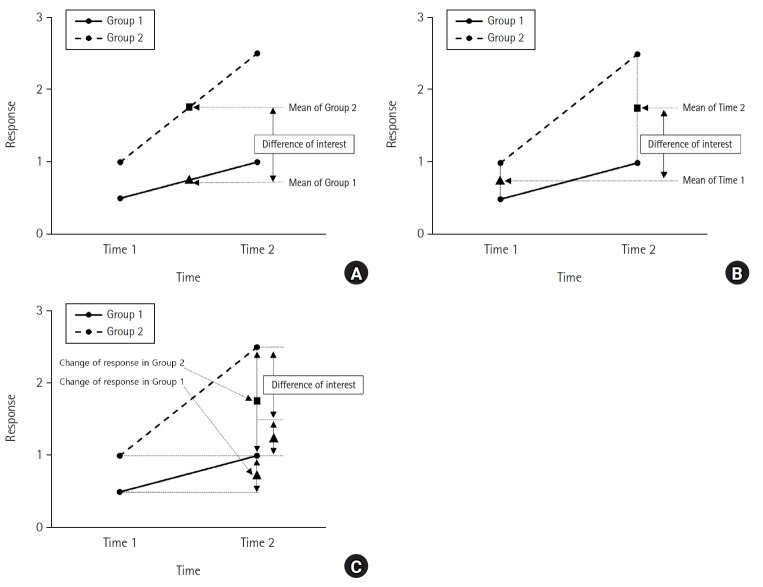
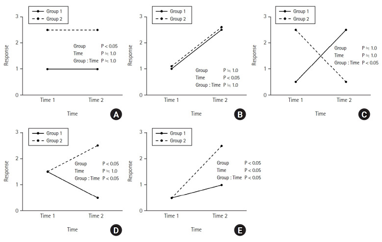
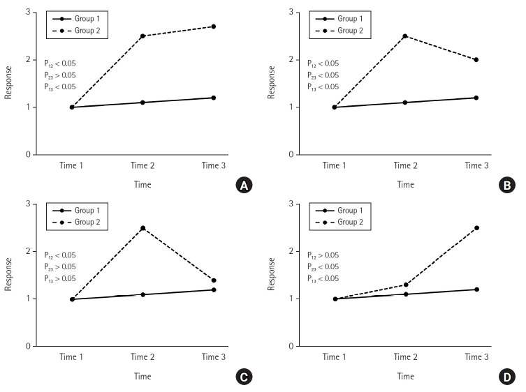
Repeated measures analysis of variance (RM-ANOVA) is a specialized form of analysis of variance used for analyzing data involving repeated measurements, such as longitudinal data commonly encountered in anesthesia and pain medicine research. When data are collected at multiple time points across more than one group, RM-ANOVA evaluates the between-subject (group) effect, within-subject (time) effect, and interaction between these two factors. The group-by-time interaction effect indicates whether changes in an outcome variable over the study period differ among groups. Analyzing interaction contrasts between specific time points is particularly useful for identifying intervals where this interaction effect is significant. For instance, if an outcome variable is measured at multiple time points in two groups, the interaction contrast for any two time points represents the difference between the change in the outcome variable over that interval in one group and the corresponding change in the other group. An independent two-sample Student's t-test can then compare these differences to determine the statistical significance of the group-by-time interaction for the selected time points. Thus, incorporating interaction contrast analysis into RM-ANOVA enhances the interpretation of longitudinal data by pinpointing specific time intervals where significant interactions occur.

Abstract Image

Abstract Image

Abstract Image

纵向数据重复测量方差分析中受试者内部和受试者之间因素的相互作用分析。
重复测量方差分析(RM-ANOVA)是方差分析的一种特殊形式,用于分析涉及重复测量的数据,例如麻醉和止痛药研究中常见的纵向数据。当在多个组的多个时间点收集数据时,RM-ANOVA评估受试者之间(组)效应、受试者内部(时间)效应以及这两个因素之间的相互作用。按时间分组的相互作用效应表明在研究期间某一结果变量的变化是否在分组之间有所不同。分析特定时间点之间的相互作用对比对于确定这种相互作用效果显著的时间间隔特别有用。例如,如果在两组的多个时间点测量一个结果变量,则任意两个时间点的相互作用对比表示一组在该时间间隔内结果变量的变化与另一组相应变化之间的差异。然后,一个独立的双样本学生t检验可以比较这些差异,以确定在所选时间点上按时间分组的相互作用的统计显著性。因此,将相互作用对比分析纳入RM-ANOVA,通过精确指出发生显著相互作用的特定时间间隔,增强了对纵向数据的解释。
本文章由计算机程序翻译,如有差异,请以英文原文为准。
求助全文
约1分钟内获得全文 求助全文
来源期刊
CiteScore
6.20
自引率
6.90%
发文量
84
审稿时长
16 weeks
×
引用
GB/T 7714-2015
复制
MLA
复制
APA
复制
导出至
BibTeX EndNote RefMan NoteFirst NoteExpress
×
提示
您的信息不完整,为了账户安全,请先补充。
现在去补充
×
提示
您因"违规操作"
具体请查看互助需知
我知道了
×
提示
确定
请完成安全验证×
copy
已复制链接
快去分享给好友吧!
我知道了
右上角分享
点击右上角分享
0
联系我们:info@booksci.cn Book学术提供免费学术资源搜索服务,方便国内外学者检索中英文文献。致力于提供最便捷和优质的服务体验。 Copyright © 2023 布克学术 All rights reserved.
京ICP备2023020795号-1
ghs 京公网安备 11010802042870号
Book学术文献互助
Book学术文献互助群
群 号:604180095
Book学术官方微信