Efficacy of Lefamulin for Community-Acquired Bacterial Pneumonia (CABP) Patients: Pooled Analysis of the Lefamulin Evaluation Against Pneumonia (LEAP) 1, LEAP 2 and LEAP China Trials.

IF 2.9 3区 医学 Q2 INFECTIOUS DISEASES
Infection and Drug Resistance Pub Date : 2025-09-12 eCollection Date: 2025-01-01 DOI:10.2147/IDR.S540124
Shuo Liang, Yu-Hua Wen, Zhen-Hua Zhang, Yi Shi, Jin-Fu Xu
{"title":"Efficacy of Lefamulin for Community-Acquired Bacterial Pneumonia (CABP) Patients: Pooled Analysis of the Lefamulin Evaluation Against Pneumonia (LEAP) 1, LEAP 2 and LEAP China Trials.","authors":"Shuo Liang, Yu-Hua Wen, Zhen-Hua Zhang, Yi Shi, Jin-Fu Xu","doi":"10.2147/IDR.S540124","DOIUrl":null,"url":null,"abstract":"<p><strong>Purpose: </strong>Lefamulin represents a newly developed pleuromutilin antibiotic utilized for treating Community-Acquired Bacterial Pneumonia (CABP). Two pivotal Phase 3 studies, the Lefamulin Evaluation Against Pneumonia (LEAP) 1 and LEAP 2 trials, along with the bridging LEAP China trial, each confirmed that Lefamulin has proven efficacy and is non-inferior to active control treatments. This study conducted a post-hoc pooled analysis of these trials to assess Lefamulin's overall efficacy and its effects on specific patient groups, particularly the elderly and those at high risk of drug resistance.</p><p><strong>Methods: </strong>Trials compared lefamulin to moxifloxacin in adults with CABP. The primary outcome was early clinical response (ECR). Secondary outcomes included investigator assessment of clinical response (IACR), and these responses in subgroups, such as severe patients, elderly patients, and those with prior antibiotic treatment. The pooled analysis was conducted post hoc, using noninferiority margin of 10% and 95% confidence intervals.</p><p><strong>Results: </strong>Lefamulin (n=728) can provide sustained high efficacy, which was noninferior to moxifloxacin (n=683). ECR and IACR success rates demonstrated similar elevation (≥ 84.0%). Comparable and elevated ECR and IACR rates across subgroup of PORT risk class III to V(84.1-88.6%) and subgroup of prior antibiotic treatment (81.8-85.6%) were observed. In the subgroup of age over 65 years old, higher ECR of lefamulin vs moxifloxacin in each ten years-stratification (65-74 years old: 87.2% vs 86.5%; 75-84 years old: 86.8 vs 85.4%; ≥85 years old: 88.5 vs 82.4%). The older the age over 65 years old, the more favorable lefamulin.</p><p><strong>Conclusion: </strong>Lefamulin, non-inferior to moxifloxacin, showed high effectiveness in CABP patients, especially in patients over 65 years old, those with PORT III-V or prior antibiotic treatment.</p>","PeriodicalId":13577,"journal":{"name":"Infection and Drug Resistance","volume":"18 ","pages":"4833-4845"},"PeriodicalIF":2.9000,"publicationDate":"2025-09-12","publicationTypes":"Journal Article","fieldsOfStudy":null,"isOpenAccess":false,"openAccessPdf":"https://www.ncbi.nlm.nih.gov/pmc/articles/PMC12439686/pdf/","citationCount":"0","resultStr":null,"platform":"Semanticscholar","paperid":null,"PeriodicalName":"Infection and Drug Resistance","FirstCategoryId":"3","ListUrlMain":"https://doi.org/10.2147/IDR.S540124","RegionNum":3,"RegionCategory":"医学","ArticlePicture":[],"TitleCN":null,"AbstractTextCN":null,"PMCID":null,"EPubDate":"2025/1/1 0:00:00","PubModel":"eCollection","JCR":"Q2","JCRName":"INFECTIOUS DISEASES","Score":null,"Total":0}
引用次数: 0

Abstract

Purpose: Lefamulin represents a newly developed pleuromutilin antibiotic utilized for treating Community-Acquired Bacterial Pneumonia (CABP). Two pivotal Phase 3 studies, the Lefamulin Evaluation Against Pneumonia (LEAP) 1 and LEAP 2 trials, along with the bridging LEAP China trial, each confirmed that Lefamulin has proven efficacy and is non-inferior to active control treatments. This study conducted a post-hoc pooled analysis of these trials to assess Lefamulin's overall efficacy and its effects on specific patient groups, particularly the elderly and those at high risk of drug resistance.

Methods: Trials compared lefamulin to moxifloxacin in adults with CABP. The primary outcome was early clinical response (ECR). Secondary outcomes included investigator assessment of clinical response (IACR), and these responses in subgroups, such as severe patients, elderly patients, and those with prior antibiotic treatment. The pooled analysis was conducted post hoc, using noninferiority margin of 10% and 95% confidence intervals.

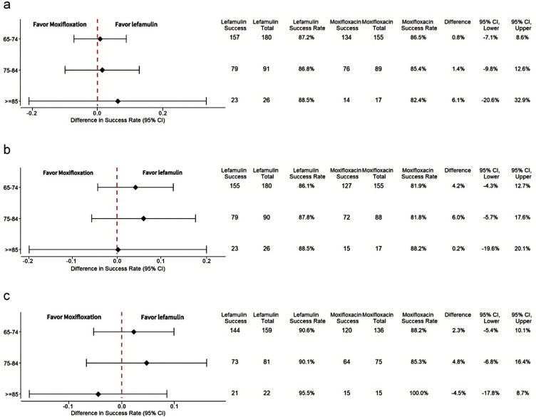
Results: Lefamulin (n=728) can provide sustained high efficacy, which was noninferior to moxifloxacin (n=683). ECR and IACR success rates demonstrated similar elevation (≥ 84.0%). Comparable and elevated ECR and IACR rates across subgroup of PORT risk class III to V(84.1-88.6%) and subgroup of prior antibiotic treatment (81.8-85.6%) were observed. In the subgroup of age over 65 years old, higher ECR of lefamulin vs moxifloxacin in each ten years-stratification (65-74 years old: 87.2% vs 86.5%; 75-84 years old: 86.8 vs 85.4%; ≥85 years old: 88.5 vs 82.4%). The older the age over 65 years old, the more favorable lefamulin.

Conclusion: Lefamulin, non-inferior to moxifloxacin, showed high effectiveness in CABP patients, especially in patients over 65 years old, those with PORT III-V or prior antibiotic treatment.

Abstract Image

Abstract Image

Lefamulin对社区获得性细菌性肺炎(CABP)患者的疗效:Lefamulin抗肺炎评价(LEAP) 1、LEAP 2和LEAP中国试验的汇总分析
目的:Lefamulin是一种新开发的用于治疗社区获得性细菌性肺炎(CABP)的胸膜残素抗生素。两项关键的3期研究,Lefamulin抗肺炎评估(LEAP) 1和LEAP 2试验,以及桥接的LEAP中国试验,均证实Lefamulin已被证明有效,并且不劣于积极对照治疗。本研究对这些试验进行了事后汇总分析,以评估Lefamulin的总体疗效及其对特定患者群体的影响,特别是老年人和耐药风险高的患者。方法:比较利福霉素和莫西沙星治疗成人CABP的疗效。主要终点是早期临床反应(ECR)。次要结局包括研究者对临床反应(IACR)的评估,以及亚组(如重症患者、老年患者和既往接受过抗生素治疗的患者)的这些反应。事后进行合并分析,使用10%的非劣效性裕度和95%的置信区间。结果:Lefamulin (n=728)能提供持续的高疗效,其疗效不逊于莫西沙星(n=683)。ECR和IACR的成功率也有相似的提高(≥84.0%)。观察到PORT风险III至V级亚组(84.1-88.6%)和既往抗生素治疗亚组(81.8-85.6%)的ECR和IACR发生率相当且升高。在65岁以上亚组中,每隔10年,左福霉素与莫西沙星的ECR较高(65-74岁:87.2% vs 86.5%; 75-84岁:86.8 vs 85.4%;≥85岁:88.5 vs 82.4%)。65岁以上年龄越大,对lefamulin越有利。结论:Lefamulin对CABP患者的疗效优于莫西沙星,特别是对65岁以上、PORT III-V或既往抗生素治疗的患者。
本文章由计算机程序翻译,如有差异,请以英文原文为准。
求助全文
约1分钟内获得全文 求助全文
来源期刊
Infection and Drug Resistance
Infection and Drug Resistance Medicine-Pharmacology (medical)
CiteScore
5.60
自引率
7.70%
发文量
826
审稿时长
16 weeks
期刊介绍: About Journal Editors Peer Reviewers Articles Article Publishing Charges Aims and Scope Call For Papers ISSN: 1178-6973 Editor-in-Chief: Professor Suresh Antony An international, peer-reviewed, open access journal that focuses on the optimal treatment of infection (bacterial, fungal and viral) and the development and institution of preventative strategies to minimize the development and spread of resistance.
×
引用
GB/T 7714-2015
复制
MLA
复制
APA
复制
导出至
BibTeX EndNote RefMan NoteFirst NoteExpress
×
提示
您的信息不完整,为了账户安全,请先补充。
现在去补充
×
提示
您因"违规操作"
具体请查看互助需知
我知道了
×
提示
确定
请完成安全验证×
copy
已复制链接
快去分享给好友吧!
我知道了
右上角分享
点击右上角分享
0
联系我们:info@booksci.cn Book学术提供免费学术资源搜索服务,方便国内外学者检索中英文文献。致力于提供最便捷和优质的服务体验。 Copyright © 2023 布克学术 All rights reserved.
京ICP备2023020795号-1
ghs 京公网安备 11010802042870号
Book学术文献互助
Book学术文献互助群
群 号:604180095
Book学术官方微信