Eosinophilic cytokines and small airway dysfunction in women with COPD: correlation with exposure to biomass smoke versus tobacco smoking.

IJTLD open Pub Date : 2025-09-10 eCollection Date: 2025-09-01 DOI:10.5588/ijtldopen.24.0666
R Robles-Hernández, R Pérez-Padilla, A Ramírez-Venegas, Y Velasco-Torres, M Montaño, C Ramos, A S Ramírez-GarciaLuna, O Pérez-Bautista
{"title":"Eosinophilic cytokines and small airway dysfunction in women with COPD: correlation with exposure to biomass smoke versus tobacco smoking.","authors":"R Robles-Hernández, R Pérez-Padilla, A Ramírez-Venegas, Y Velasco-Torres, M Montaño, C Ramos, A S Ramírez-GarciaLuna, O Pérez-Bautista","doi":"10.5588/ijtldopen.24.0666","DOIUrl":null,"url":null,"abstract":"<p><strong>Background: </strong>Chronic obstructive pulmonary disease (COPD) is a chronic inflammatory disease characterised by progressive airflow obstruction. Tobacco smoking is the leading cause of COPD (COPD-TS); however, chronic exposure to biomass smoke (COPD-BS) is the second risk factor. COPD-TS and COPD-BS are now considered different phenotypes, with COPD-BS having small airway dysfunction (SAD).</p><p><strong>Objectives: </strong>Our primary aim was to investigate the correlation between SAD and the serum levels of interleukins implicated in the maturation and recruitment of eosinophils in women with COPD-BS and COPD-TS.</p><p><strong>Methods: </strong>This cross-sectional study included 25 women with COPD-BS and 25 women with COPD-TS, and the relationship with SAD was assessed by impulse oscillometry (IOS), alongside measurements of interleukins (IL-1ra, IL-2, IL-4, IL-8, IL-9, IL-13, and IL-17) and eotaxin using the multiplex test (Bio-Plex), in addition to eosinophils total blood.</p><p><strong>Results: </strong>Blood eosinophil count, cytokines, and eotaxin were higher in COPD-BS relative to COPD-TS. IOS measurements were higher in COPD-BS than in COPD-TS. R5-R20 positively correlated with the concentrations of all measured cytokines noted if COPD groups were analysed separately (<i>P</i> < 0.01).</p><p><strong>Conclusion: </strong>Eosinophil counts and cytokines in COPD-BS positively correlate with small airway resistance as measured by IOS in R5-R20.</p>","PeriodicalId":519984,"journal":{"name":"IJTLD open","volume":"2 9","pages":"527-534"},"PeriodicalIF":0.0000,"publicationDate":"2025-09-10","publicationTypes":"Journal Article","fieldsOfStudy":null,"isOpenAccess":false,"openAccessPdf":"https://www.ncbi.nlm.nih.gov/pmc/articles/PMC12435466/pdf/","citationCount":"0","resultStr":null,"platform":"Semanticscholar","paperid":null,"PeriodicalName":"IJTLD open","FirstCategoryId":"1085","ListUrlMain":"https://doi.org/10.5588/ijtldopen.24.0666","RegionNum":0,"RegionCategory":null,"ArticlePicture":[],"TitleCN":null,"AbstractTextCN":null,"PMCID":null,"EPubDate":"2025/9/1 0:00:00","PubModel":"eCollection","JCR":"","JCRName":"","Score":null,"Total":0}
引用次数: 0

Abstract

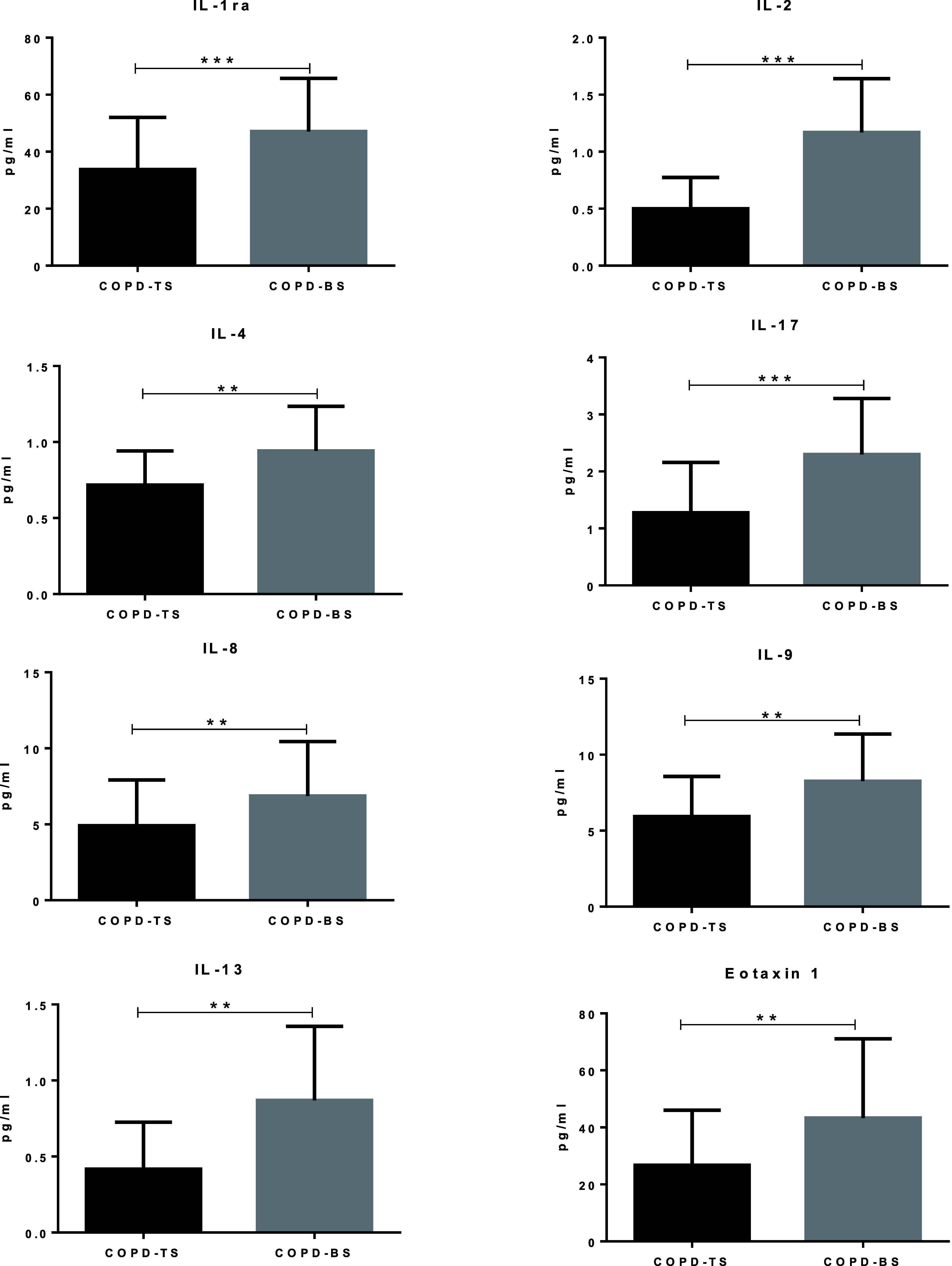
Background: Chronic obstructive pulmonary disease (COPD) is a chronic inflammatory disease characterised by progressive airflow obstruction. Tobacco smoking is the leading cause of COPD (COPD-TS); however, chronic exposure to biomass smoke (COPD-BS) is the second risk factor. COPD-TS and COPD-BS are now considered different phenotypes, with COPD-BS having small airway dysfunction (SAD).

Objectives: Our primary aim was to investigate the correlation between SAD and the serum levels of interleukins implicated in the maturation and recruitment of eosinophils in women with COPD-BS and COPD-TS.

Methods: This cross-sectional study included 25 women with COPD-BS and 25 women with COPD-TS, and the relationship with SAD was assessed by impulse oscillometry (IOS), alongside measurements of interleukins (IL-1ra, IL-2, IL-4, IL-8, IL-9, IL-13, and IL-17) and eotaxin using the multiplex test (Bio-Plex), in addition to eosinophils total blood.

Results: Blood eosinophil count, cytokines, and eotaxin were higher in COPD-BS relative to COPD-TS. IOS measurements were higher in COPD-BS than in COPD-TS. R5-R20 positively correlated with the concentrations of all measured cytokines noted if COPD groups were analysed separately (P < 0.01).

Conclusion: Eosinophil counts and cytokines in COPD-BS positively correlate with small airway resistance as measured by IOS in R5-R20.

Abstract Image

Abstract Image

女性COPD患者嗜酸性细胞因子和小气道功能障碍:暴露于生物质烟雾与吸烟的相关性
背景:慢性阻塞性肺疾病(COPD)是一种以进行性气流阻塞为特征的慢性炎性疾病。吸烟是慢性阻塞性肺病(COPD- ts)的主要原因;然而,长期暴露于生物质烟雾(COPD-BS)是第二个危险因素。COPD-TS和COPD-BS现在被认为是不同的表型,COPD-BS具有较小的气道功能障碍(SAD)。目的:我们的主要目的是研究SAD与COPD-BS和COPD-TS女性中涉及成熟和嗜酸性粒细胞募集的血清白介素水平之间的相关性。方法:本横断研究包括25名COPD-BS女性和25名COPD-TS女性,并通过脉冲振荡法(IOS)评估与SAD的关系,同时使用多重测试(Bio-Plex)测量白细胞介素(IL-1ra, IL-2, IL-4, IL-8, IL-9, IL-13和IL-17)和eotaxin (Bio-Plex),以及嗜酸性粒细胞总血。结果:COPD-BS患者血嗜酸性粒细胞计数、细胞因子和eotaxin均高于COPD-TS。COPD-BS组的IOS测量值高于COPD-TS组。如果单独分析COPD组,R5-R20与所有测量的细胞因子浓度呈正相关(P < 0.01)。结论:通过R5-R20的IOS测量,COPD-BS的嗜酸性粒细胞计数和细胞因子与小气道阻力呈正相关。
本文章由计算机程序翻译,如有差异,请以英文原文为准。
求助全文
约1分钟内获得全文 求助全文
来源期刊
自引率
0.00%
发文量
0
×
引用
GB/T 7714-2015
复制
MLA
复制
APA
复制
导出至
BibTeX EndNote RefMan NoteFirst NoteExpress
×
提示
您的信息不完整,为了账户安全,请先补充。
现在去补充
×
提示
您因"违规操作"
具体请查看互助需知
我知道了
×
提示
确定
请完成安全验证×
copy
已复制链接
快去分享给好友吧!
我知道了
右上角分享
点击右上角分享
0
联系我们:info@booksci.cn Book学术提供免费学术资源搜索服务,方便国内外学者检索中英文文献。致力于提供最便捷和优质的服务体验。 Copyright © 2023 布克学术 All rights reserved.
京ICP备2023020795号-1
ghs 京公网安备 11010802042870号
Book学术文献互助
Book学术文献互助群
群 号:604180095
Book学术官方微信