Automated hippocampal volume measurement: agreement analysis between HIPS and volBrain software.

Q3 Medicine
Radiologia Brasileira Pub Date : 2025-08-25 eCollection Date: 2025-01-01 DOI:10.1590/0100-3984.2025.0003
Federico Biafore, Jorge Docampo, Germán Duca
{"title":"Automated hippocampal volume measurement: agreement analysis between HIPS and volBrain software.","authors":"Federico Biafore, Jorge Docampo, Germán Duca","doi":"10.1590/0100-3984.2025.0003","DOIUrl":null,"url":null,"abstract":"<p><strong>Objective: </strong>To perform an agreement analysis between volBrain and HIPS software for measuring hippocampal volume and its associated asymmetry index.</p><p><strong>Materials and methods: </strong>We evaluated volumetric T1-weighted magnetic resonance imaging scans from radiologically normal subjects (n = 50; age range, 25-75 years). Correlation and Bland-Altman plots were generated. The Pearson correlation coefficient (<i>r</i>) and the intraclass correlation coefficient of absolute agreement between volBrain and HIPS software were calculated for each measurement.</p><p><strong>Results: </strong>For each hippocampus and its combined volume, a very high correlation was found between the methods (<i>r</i> ≥ 0.96 for absolute values and <i>r</i> ≥ 0.93 for relative values), along with a systematic bias (primarily additive). Consistently, HIPS (with the Kulaga-Yoskovitz protocol) reported smaller volumes than did volBrain. The average difference ranged from 8.2% to 9.1% for absolute values and from 7.9% to 8.7% for relative values. The asymmetry index exhibited a strong correlation (<i>r</i> = 0.82) with no significant bias, although 14% of cases showed opposite signs. The average asymmetry index difference was 32.7%. The intraclass correlation coefficient of absolute agreement ranged from 0.61 to 0.83, reflecting moderate to good agreement overall.</p><p><strong>Conclusion: </strong>Our results indicate that the two methods are not interchangeable for evaluating hippocampal volume and its associated asymmetry index.</p>","PeriodicalId":20842,"journal":{"name":"Radiologia Brasileira","volume":"58 ","pages":"e20250003"},"PeriodicalIF":0.0000,"publicationDate":"2025-08-25","publicationTypes":"Journal Article","fieldsOfStudy":null,"isOpenAccess":false,"openAccessPdf":"https://www.ncbi.nlm.nih.gov/pmc/articles/PMC12435922/pdf/","citationCount":"0","resultStr":null,"platform":"Semanticscholar","paperid":null,"PeriodicalName":"Radiologia Brasileira","FirstCategoryId":"1085","ListUrlMain":"https://doi.org/10.1590/0100-3984.2025.0003","RegionNum":0,"RegionCategory":null,"ArticlePicture":[],"TitleCN":null,"AbstractTextCN":null,"PMCID":null,"EPubDate":"2025/1/1 0:00:00","PubModel":"eCollection","JCR":"Q3","JCRName":"Medicine","Score":null,"Total":0}
引用次数: 0

Abstract

Objective: To perform an agreement analysis between volBrain and HIPS software for measuring hippocampal volume and its associated asymmetry index.

Materials and methods: We evaluated volumetric T1-weighted magnetic resonance imaging scans from radiologically normal subjects (n = 50; age range, 25-75 years). Correlation and Bland-Altman plots were generated. The Pearson correlation coefficient (r) and the intraclass correlation coefficient of absolute agreement between volBrain and HIPS software were calculated for each measurement.

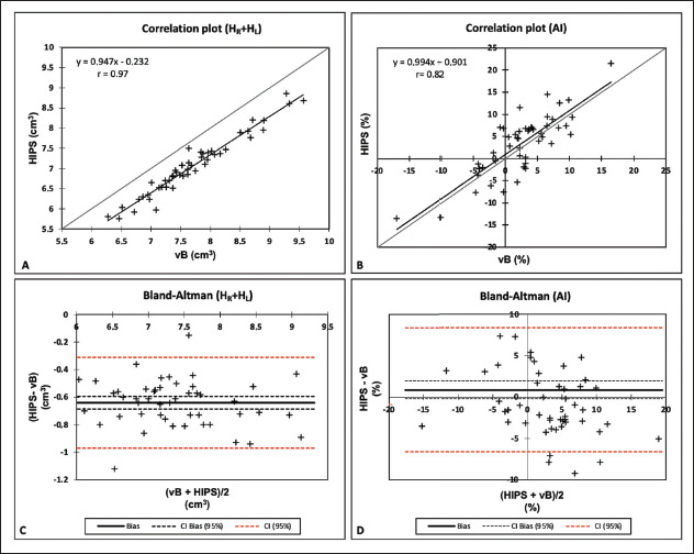
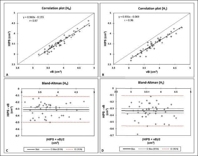
Results: For each hippocampus and its combined volume, a very high correlation was found between the methods (r ≥ 0.96 for absolute values and r ≥ 0.93 for relative values), along with a systematic bias (primarily additive). Consistently, HIPS (with the Kulaga-Yoskovitz protocol) reported smaller volumes than did volBrain. The average difference ranged from 8.2% to 9.1% for absolute values and from 7.9% to 8.7% for relative values. The asymmetry index exhibited a strong correlation (r = 0.82) with no significant bias, although 14% of cases showed opposite signs. The average asymmetry index difference was 32.7%. The intraclass correlation coefficient of absolute agreement ranged from 0.61 to 0.83, reflecting moderate to good agreement overall.

Conclusion: Our results indicate that the two methods are not interchangeable for evaluating hippocampal volume and its associated asymmetry index.

Abstract Image

Abstract Image

Abstract Image

自动海马体积测量:HIPS和volBrain软件之间的一致性分析。
目的:对volBrain和HIPS软件测量海马体积及其相关不对称指数进行一致性分析。材料和方法:我们评估了放射学正常受试者的体积t1加权磁共振成像扫描(n = 50,年龄范围25-75岁)。生成相关图和Bland-Altman图。计算每次测量的Pearson相关系数(r)和volBrain与HIPS软件之间绝对一致性的类内相关系数。结果:对于每个海马体及其组合体积,发现方法之间存在非常高的相关性(绝对值r≥0.96,相对值r≥0.93),以及系统偏差(主要是相加性的)。一致地,HIPS(使用Kulaga-Yoskovitz协议)报告的体积比volBrain小。绝对值的平均差异为8.2%至9.1%,相对值的平均差异为7.9%至8.7%。不对称指数表现出很强的相关性(r = 0.82),无显著偏倚,尽管14%的病例表现出相反的迹象。平均不对称指数差异为32.7%。绝对一致性的类内相关系数在0.61 ~ 0.83之间,总体上反映了中等到良好的一致性。结论:两种方法在评估海马体积及其相关不对称指数时是不可替代的。
本文章由计算机程序翻译,如有差异,请以英文原文为准。
求助全文
约1分钟内获得全文 求助全文
来源期刊
Radiologia Brasileira
Radiologia Brasileira Medicine-Radiology, Nuclear Medicine and Imaging
CiteScore
2.60
自引率
0.00%
发文量
75
审稿时长
28 weeks
×
引用
GB/T 7714-2015
复制
MLA
复制
APA
复制
导出至
BibTeX EndNote RefMan NoteFirst NoteExpress
×
提示
您的信息不完整,为了账户安全,请先补充。
现在去补充
×
提示
您因"违规操作"
具体请查看互助需知
我知道了
×
提示
确定
请完成安全验证×
copy
已复制链接
快去分享给好友吧!
我知道了
右上角分享
点击右上角分享
0
联系我们:info@booksci.cn Book学术提供免费学术资源搜索服务,方便国内外学者检索中英文文献。致力于提供最便捷和优质的服务体验。 Copyright © 2023 布克学术 All rights reserved.
京ICP备2023020795号-1
ghs 京公网安备 11010802042870号
Book学术文献互助
Book学术文献互助群
群 号:604180095
Book学术官方微信