Awareness, Knowledge, and Health Beliefs Regarding Osteoporosis among Hypothyroid Patients in Turkey: An Observational Study.

Q2 Medicine
Journal of Bone Metabolism Pub Date : 2025-08-01 Epub Date: 2025-08-31 DOI:10.11005/jbm.25.855
Feyza Nur Yücel, Mustafa Hüseyin Temel, Muhammed Görgel, Yeliz Bahar-Özdemir, Emre Ata, Eylem Çağıltay
{"title":"Awareness, Knowledge, and Health Beliefs Regarding Osteoporosis among Hypothyroid Patients in Turkey: An Observational Study.","authors":"Feyza Nur Yücel, Mustafa Hüseyin Temel, Muhammed Görgel, Yeliz Bahar-Özdemir, Emre Ata, Eylem Çağıltay","doi":"10.11005/jbm.25.855","DOIUrl":null,"url":null,"abstract":"<p><strong>Background: </strong>Hypothyroidism is the most common thyroid dysfunction, and current evidence suggests that it increases the risk of osteoporosis in these patients. Assessing the level of osteoporosis awareness and understanding among hypothyroid patients is an important requirement for implementing preventive interventions to maintain bone health.</p><p><strong>Methods: </strong>Thyroid-stimulating hormone, thyroxine, and 25-hydroxy-vitamin D levels were recorded along with the patients' demographics. Osteoporosis awareness was assessed with the osteoporosis awareness scale (OAS), and knowledge level was assessed with the revised osteoporosis knowledge test (R-OKT). Health beliefs related to osteoporosis were evaluated using the osteoporosis health belief scale (OHBS).</p><p><strong>Results: </strong>The median (interquartile range) values for OAS and R-OKT of 348 patients were calculated as 66.0 (32.0) and 9.0 (5.0), respectively. Female patients had higher OAS scores (P<0.001), OHBS benefits of exercise (P=0.002), and calcium intake (P<0.001) subscores compared to males. The distribution of OAS, R-OKT, and OHBS total and susceptibility scores differed significantly across education categories (P<0.001). The linear regression model revealed significant predictors of OAS score variation, including gender (β=-0.27, P<0.001), education (β=0.09, P=0.045), and osteoporosis knowledge (β=0.49, P<0.001).</p><p><strong>Conclusions: </strong>Patients with hypothyroidism, particularly males and those with lower educational attainment, lack adequate knowledge and awareness regarding osteoporosis. To better comprehend and manage osteoporosis, targeted educational initiatives are required for this vulnerable group.</p>","PeriodicalId":15070,"journal":{"name":"Journal of Bone Metabolism","volume":"32 3","pages":"200-211"},"PeriodicalIF":0.0000,"publicationDate":"2025-08-01","publicationTypes":"Journal Article","fieldsOfStudy":null,"isOpenAccess":false,"openAccessPdf":"https://www.ncbi.nlm.nih.gov/pmc/articles/PMC12444079/pdf/","citationCount":"0","resultStr":null,"platform":"Semanticscholar","paperid":null,"PeriodicalName":"Journal of Bone Metabolism","FirstCategoryId":"1085","ListUrlMain":"https://doi.org/10.11005/jbm.25.855","RegionNum":0,"RegionCategory":null,"ArticlePicture":[],"TitleCN":null,"AbstractTextCN":null,"PMCID":null,"EPubDate":"2025/8/31 0:00:00","PubModel":"Epub","JCR":"Q2","JCRName":"Medicine","Score":null,"Total":0}
引用次数: 0

Abstract

Background: Hypothyroidism is the most common thyroid dysfunction, and current evidence suggests that it increases the risk of osteoporosis in these patients. Assessing the level of osteoporosis awareness and understanding among hypothyroid patients is an important requirement for implementing preventive interventions to maintain bone health.

Methods: Thyroid-stimulating hormone, thyroxine, and 25-hydroxy-vitamin D levels were recorded along with the patients' demographics. Osteoporosis awareness was assessed with the osteoporosis awareness scale (OAS), and knowledge level was assessed with the revised osteoporosis knowledge test (R-OKT). Health beliefs related to osteoporosis were evaluated using the osteoporosis health belief scale (OHBS).

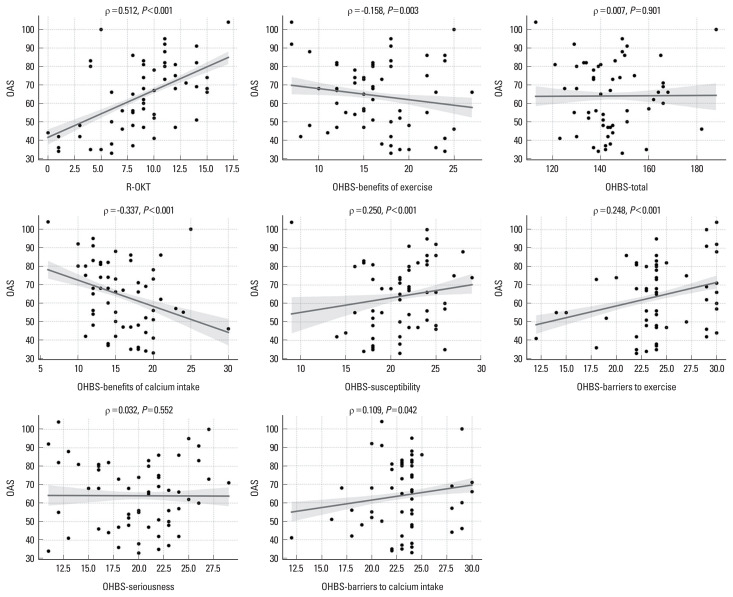
Results: The median (interquartile range) values for OAS and R-OKT of 348 patients were calculated as 66.0 (32.0) and 9.0 (5.0), respectively. Female patients had higher OAS scores (P<0.001), OHBS benefits of exercise (P=0.002), and calcium intake (P<0.001) subscores compared to males. The distribution of OAS, R-OKT, and OHBS total and susceptibility scores differed significantly across education categories (P<0.001). The linear regression model revealed significant predictors of OAS score variation, including gender (β=-0.27, P<0.001), education (β=0.09, P=0.045), and osteoporosis knowledge (β=0.49, P<0.001).

Conclusions: Patients with hypothyroidism, particularly males and those with lower educational attainment, lack adequate knowledge and awareness regarding osteoporosis. To better comprehend and manage osteoporosis, targeted educational initiatives are required for this vulnerable group.

Abstract Image

Abstract Image

土耳其甲状腺功能减退患者对骨质疏松的认识、知识和健康信念:一项观察性研究。
背景:甲状腺功能减退是最常见的甲状腺功能障碍,目前的证据表明,它增加了这些患者骨质疏松症的风险。评估甲状腺功能减退患者对骨质疏松症的认识水平是实施预防干预以维持骨骼健康的重要要求。方法:记录患者的促甲状腺激素、甲状腺素和25-羟基维生素D水平。采用骨质疏松意识量表(OAS)评估骨质疏松意识,采用修订后的骨质疏松知识测验(R-OKT)评估骨质疏松知识水平。采用骨质疏松健康信念量表(OHBS)评估与骨质疏松相关的健康信念。结果:348例患者的OAS和R-OKT的中位数(四分位数范围)分别为66.0(32.0)和9.0(5.0)。结论:甲状腺功能减退患者,尤其是男性和受教育程度较低的患者,对骨质疏松症缺乏足够的知识和意识。为了更好地理解和管理骨质疏松症,需要针对这一弱势群体开展有针对性的教育活动。
本文章由计算机程序翻译,如有差异,请以英文原文为准。
求助全文
约1分钟内获得全文 求助全文
来源期刊
Journal of Bone Metabolism
Journal of Bone Metabolism Medicine-Endocrinology, Diabetes and Metabolism
CiteScore
3.70
自引率
0.00%
发文量
23
×
引用
GB/T 7714-2015
复制
MLA
复制
APA
复制
导出至
BibTeX EndNote RefMan NoteFirst NoteExpress
×
提示
您的信息不完整,为了账户安全,请先补充。
现在去补充
×
提示
您因"违规操作"
具体请查看互助需知
我知道了
×
提示
确定
请完成安全验证×
copy
已复制链接
快去分享给好友吧!
我知道了
右上角分享
点击右上角分享
0
联系我们:info@booksci.cn Book学术提供免费学术资源搜索服务,方便国内外学者检索中英文文献。致力于提供最便捷和优质的服务体验。 Copyright © 2023 布克学术 All rights reserved.
京ICP备2023020795号-1
ghs 京公网安备 11010802042870号
Book学术文献互助
Book学术文献互助群
群 号:604180095
Book学术官方微信