Association of sperm protamine1 and protamine2 transcript content with paternal age: A cross-sectional study.

IF 1.8 Q3 OBSTETRICS & GYNECOLOGY
International Journal of Reproductive Biomedicine Pub Date : 2025-08-20 eCollection Date: 2025-06-01 DOI:10.18502/ijrm.v23i6.19404
Baharan Dolatshahi, Mehran Dorostghoal, Hamid Galehdari, Masoud Hemadi
{"title":"Association of sperm protamine1 and protamine2 transcript content with paternal age: A cross-sectional study.","authors":"Baharan Dolatshahi, Mehran Dorostghoal, Hamid Galehdari, Masoud Hemadi","doi":"10.18502/ijrm.v23i6.19404","DOIUrl":null,"url":null,"abstract":"<p><strong>Background: </strong>Over the last decade, there has been a significant increase in average paternal age.</p><p><strong>Objective: </strong>The present study investigated the effects of male age on sperm parameters, DNA fragmentation, andprotamine1 (<i>PRM1</i>) and protamine2(<i>PRM2</i>) transcript content in normozoospermic men.</p><p><strong>Materials and methods: </strong>In this cross-sectional study, 106 semen samples from normozoospermic men were obtained. The objects were divided into 3 age groups: 20-25, 30-35, and 40-45 yr. Sperm parameters and DNA fragmentation were assessed, and transcript levels of <i>PRM1</i> and <i>PRM2</i> were analyzed in ejaculated spermatozoa.</p><p><strong>Results: </strong>The highest levels of sperm concentration, motility, and normal morphology were observed in men aged between 20 and 25 yr. Significant declines were seen in sperm total motility (p = 0.006) and normal morphology (p = 0.015) after 40 yr compared to younger men. Significantly (p <math><mo><</mo></math> 0.001) higher levels of DNA damage were seen in 40-45-yr-old men. DNA fragmentation correlated significantly with sperm total motility (r = -0.242, p = 0.012) and normal morphology (r = -0.257, p = 0.008). The lowest levels of <i>PRM1</i> and <i>PRM2</i> transcripts were seen in 40-45-yr-old men. DNA damage was significantly associated with reduced transcript levelsof <i>PRM1</i> (r = -0.453, p = 0.018) and <i>PRM2</i> (r = -0.492, p = 0.009). Transcript levels of <i>PRM1</i> and <i>PRM2</i> in ejaculated spermatozoa were correlated significantly with the age of men.</p><p><strong>Conclusion: </strong>Our findings demonstrate age-related changes in sperm <i>PRM1</i> and <i>PRM2</i> transcript content and their correlations with sperm parameters and DNA fragmentation.</p>","PeriodicalId":14386,"journal":{"name":"International Journal of Reproductive Biomedicine","volume":"23 6","pages":"507-516"},"PeriodicalIF":1.8000,"publicationDate":"2025-08-20","publicationTypes":"Journal Article","fieldsOfStudy":null,"isOpenAccess":false,"openAccessPdf":"https://www.ncbi.nlm.nih.gov/pmc/articles/PMC12435331/pdf/","citationCount":"0","resultStr":null,"platform":"Semanticscholar","paperid":null,"PeriodicalName":"International Journal of Reproductive Biomedicine","FirstCategoryId":"1085","ListUrlMain":"https://doi.org/10.18502/ijrm.v23i6.19404","RegionNum":0,"RegionCategory":null,"ArticlePicture":[],"TitleCN":null,"AbstractTextCN":null,"PMCID":null,"EPubDate":"2025/6/1 0:00:00","PubModel":"eCollection","JCR":"Q3","JCRName":"OBSTETRICS & GYNECOLOGY","Score":null,"Total":0}
引用次数: 0

Abstract

Background: Over the last decade, there has been a significant increase in average paternal age.

Objective: The present study investigated the effects of male age on sperm parameters, DNA fragmentation, andprotamine1 (PRM1) and protamine2(PRM2) transcript content in normozoospermic men.

Materials and methods: In this cross-sectional study, 106 semen samples from normozoospermic men were obtained. The objects were divided into 3 age groups: 20-25, 30-35, and 40-45 yr. Sperm parameters and DNA fragmentation were assessed, and transcript levels of PRM1 and PRM2 were analyzed in ejaculated spermatozoa.

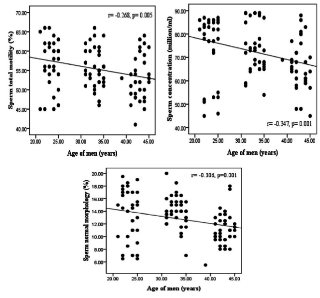
Results: The highest levels of sperm concentration, motility, and normal morphology were observed in men aged between 20 and 25 yr. Significant declines were seen in sperm total motility (p = 0.006) and normal morphology (p = 0.015) after 40 yr compared to younger men. Significantly (p < 0.001) higher levels of DNA damage were seen in 40-45-yr-old men. DNA fragmentation correlated significantly with sperm total motility (r = -0.242, p = 0.012) and normal morphology (r = -0.257, p = 0.008). The lowest levels of PRM1 and PRM2 transcripts were seen in 40-45-yr-old men. DNA damage was significantly associated with reduced transcript levelsof PRM1 (r = -0.453, p = 0.018) and PRM2 (r = -0.492, p = 0.009). Transcript levels of PRM1 and PRM2 in ejaculated spermatozoa were correlated significantly with the age of men.

Conclusion: Our findings demonstrate age-related changes in sperm PRM1 and PRM2 transcript content and their correlations with sperm parameters and DNA fragmentation.

Abstract Image

Abstract Image

Abstract Image

精子蛋白蛋白1和蛋白蛋白2转录物含量与父亲年龄的关系:一项横断面研究。
背景:在过去的十年中,父亲的平均年龄有了显著的增长。目的:研究男性年龄对正常精子男性精子参数、DNA片段、蛋白蛋白1 (PRM1)和蛋白蛋白2(PRM2)转录物含量的影响。材料和方法:本横断面研究从正常精子男性中获得106份精液样本。研究对象被分为3个年龄组:20-25岁、30-35岁和40-45岁。研究人员评估了精子参数和DNA片段,并分析了射精精子中PRM1和PRM2的转录水平。结果:在20 - 25岁的男性中,精子浓度、活力和正常形态的水平最高。与年轻男性相比,40岁后精子总活力(p = 0.006)和正常形态(p = 0.015)显著下降。40-45岁男性的DNA损伤水平显著升高(p < 0.001)。DNA片段化与精子总活力(r = -0.242, p = 0.012)和正常形态(r = -0.257, p = 0.008)显著相关。PRM1和PRM2转录本的最低水平见于40-45岁的男性。DNA损伤与PRM1 (r = -0.453, p = 0.018)和PRM2 (r = -0.492, p = 0.009)转录本水平降低显著相关。射精精子中PRM1和PRM2的转录水平与男性年龄显著相关。结论:我们的研究结果证实了精子PRM1和PRM2转录物含量的年龄相关变化及其与精子参数和DNA片段的相关性。
本文章由计算机程序翻译,如有差异,请以英文原文为准。
求助全文
约1分钟内获得全文 求助全文
来源期刊
CiteScore
2.40
自引率
7.70%
发文量
93
审稿时长
16 weeks
期刊介绍: The International Journal of Reproductive BioMedicine (IJRM), formerly published as "Iranian Journal of Reproductive Medicine (ISSN: 1680-6433)", is an international monthly scientific journal for who treat and investigate problems of infertility and human reproductive disorders. This journal accepts Original Papers, Review Articles, Short Communications, Case Reports, Photo Clinics, and Letters to the Editor in the fields of fertility and infertility, ethical and social issues of assisted reproductive technologies, cellular and molecular biology of reproduction including the development of gametes and early embryos, assisted reproductive technologies in model system and in a clinical environment, reproductive endocrinology, andrology, epidemiology, pathology, genetics, oncology, surgery, psychology, and physiology. Emerging topics including cloning and stem cells are encouraged.
×
引用
GB/T 7714-2015
复制
MLA
复制
APA
复制
导出至
BibTeX EndNote RefMan NoteFirst NoteExpress
×
提示
您的信息不完整,为了账户安全,请先补充。
现在去补充
×
提示
您因"违规操作"
具体请查看互助需知
我知道了
×
提示
确定
请完成安全验证×
copy
已复制链接
快去分享给好友吧!
我知道了
右上角分享
点击右上角分享
0
联系我们:info@booksci.cn Book学术提供免费学术资源搜索服务,方便国内外学者检索中英文文献。致力于提供最便捷和优质的服务体验。 Copyright © 2023 布克学术 All rights reserved.
京ICP备2023020795号-1
ghs 京公网安备 11010802042870号
Book学术文献互助
Book学术文献互助群
群 号:604180095
Book学术官方微信