Cross-Verification of OpenFOAM Code with Embedded Film Condensation Models for VOF Method

IF 1 Q4 ENERGY & FUELS
A. A. Klementiev, K. B. Minko, V. I. Artemov
{"title":"Cross-Verification of OpenFOAM Code with Embedded Film Condensation Models for VOF Method","authors":"A. A. Klementiev,&nbsp;K. B. Minko,&nbsp;V. I. Artemov","doi":"10.1134/S0040601525700375","DOIUrl":null,"url":null,"abstract":"<p>Surface film condensation processes occur in many technical devices. For designing of industrial condensers, empirical methods are usually used, which, however, are insensitive to some factors affecting the intensity of these processes, which limits the range of their application for design. Using existing methods, it is possible for one to calculate the heat-transfer surface area required to maintain the required heat rate, but it is not possible to specify tube arrangement in the condenser, which determines the flow of the vapor-liquid mixture in the intertube space and, ultimately, the efficiency of the device. To design more efficient condensers, it is necessary to improve the methods, including those based on data obtained using modern methods of numerical modeling of heat and mass transfer processes. One of the promising methods for calculating surface condensation processes in tube bundles is the Volume of Fluid (VOF) method, supplemented by models for taking into account heat and mass transfer at the interphase surface. The VOF method has been implemented in some commercial codes, but the settings of the code parameters and the choice of a suitable mesh and turbulence model for calculating the condensation processes of moving vapor are not at all obvious. Previously, the authors of this work proposed and implemented a modified model of W.H. Lee in the in-house CFD code ANES and the commercial CFD code ANSYS Fluent for calculating heat and mass transfer processes at the interphase surface using the VOF method. The model was verified on typical problems and limited data for tube bundles. In this paper, condensation and turbulent vapor flow models are implemented in the open-source CFD code OpenFOAM. The models were validated on Stefan problems and condensation of moving and stationary vapor of various heat carriers, and cross-verification between OpenFOAM, ANES, and ANSYS Fluent codes was carried out.</p>","PeriodicalId":799,"journal":{"name":"Thermal Engineering","volume":"72 9","pages":"745 - 759"},"PeriodicalIF":1.0000,"publicationDate":"2025-09-16","publicationTypes":"Journal Article","fieldsOfStudy":null,"isOpenAccess":false,"openAccessPdf":"","citationCount":"0","resultStr":null,"platform":"Semanticscholar","paperid":null,"PeriodicalName":"Thermal Engineering","FirstCategoryId":"1085","ListUrlMain":"https://link.springer.com/article/10.1134/S0040601525700375","RegionNum":0,"RegionCategory":null,"ArticlePicture":[],"TitleCN":null,"AbstractTextCN":null,"PMCID":null,"EPubDate":"","PubModel":"","JCR":"Q4","JCRName":"ENERGY & FUELS","Score":null,"Total":0}
引用次数: 0

Abstract

Surface film condensation processes occur in many technical devices. For designing of industrial condensers, empirical methods are usually used, which, however, are insensitive to some factors affecting the intensity of these processes, which limits the range of their application for design. Using existing methods, it is possible for one to calculate the heat-transfer surface area required to maintain the required heat rate, but it is not possible to specify tube arrangement in the condenser, which determines the flow of the vapor-liquid mixture in the intertube space and, ultimately, the efficiency of the device. To design more efficient condensers, it is necessary to improve the methods, including those based on data obtained using modern methods of numerical modeling of heat and mass transfer processes. One of the promising methods for calculating surface condensation processes in tube bundles is the Volume of Fluid (VOF) method, supplemented by models for taking into account heat and mass transfer at the interphase surface. The VOF method has been implemented in some commercial codes, but the settings of the code parameters and the choice of a suitable mesh and turbulence model for calculating the condensation processes of moving vapor are not at all obvious. Previously, the authors of this work proposed and implemented a modified model of W.H. Lee in the in-house CFD code ANES and the commercial CFD code ANSYS Fluent for calculating heat and mass transfer processes at the interphase surface using the VOF method. The model was verified on typical problems and limited data for tube bundles. In this paper, condensation and turbulent vapor flow models are implemented in the open-source CFD code OpenFOAM. The models were validated on Stefan problems and condensation of moving and stationary vapor of various heat carriers, and cross-verification between OpenFOAM, ANES, and ANSYS Fluent codes was carried out.

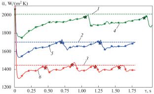
Abstract Image

Abstract Image

基于VOF方法的嵌入式膜凝结模型的OpenFOAM代码交叉验证
表面膜凝结过程发生在许多技术装置中。对于工业冷凝器的设计,通常采用经验方法,然而,经验方法对影响这些过程强度的一些因素不敏感,这限制了它们在设计中的应用范围。使用现有的方法,人们可以计算维持所需热率所需的传热表面积,但不可能指定冷凝器中的管布置,这决定了管间空间中汽液混合物的流动,并最终决定了装置的效率。为了设计更高效的冷凝器,有必要改进方法,包括基于使用现代传热传质过程数值模拟方法获得的数据的方法。计算管束表面冷凝过程的一种有前途的方法是流体体积法(VOF),并辅以考虑相间表面传热传质的模型。VOF方法已经在一些商业规范中实现,但在规范参数的设置以及选择合适的网格和湍流模型来计算运动蒸汽的凝结过程方面并不明显。在此之前,作者在内部CFD代码ANES和商业CFD代码ANSYS Fluent中提出并实现了W.H. Lee的修正模型,用于使用VOF方法计算界面表面的传热和传质过程。通过典型问题和有限数据对模型进行了验证。本文在开源CFD代码OpenFOAM中实现了冷凝和湍流蒸汽流动模型。利用Stefan问题和各种热载体的动、定蒸汽冷凝对模型进行了验证,并在OpenFOAM、ANES和ANSYS Fluent代码之间进行了交叉验证。
本文章由计算机程序翻译,如有差异,请以英文原文为准。
求助全文
约1分钟内获得全文 求助全文
来源期刊
CiteScore
1.30
自引率
20.00%
发文量
94
×
引用
GB/T 7714-2015
复制
MLA
复制
APA
复制
导出至
BibTeX EndNote RefMan NoteFirst NoteExpress
×
提示
您的信息不完整,为了账户安全,请先补充。
现在去补充
×
提示
您因"违规操作"
具体请查看互助需知
我知道了
×
提示
确定
请完成安全验证×
copy
已复制链接
快去分享给好友吧!
我知道了
右上角分享
点击右上角分享
0
联系我们:info@booksci.cn Book学术提供免费学术资源搜索服务,方便国内外学者检索中英文文献。致力于提供最便捷和优质的服务体验。 Copyright © 2023 布克学术 All rights reserved.
京ICP备2023020795号-1
ghs 京公网安备 11010802042870号
Book学术文献互助
Book学术文献互助群
群 号:604180095
Book学术官方微信