Ivermectin and dexamethasone combination induces apoptosis in SUP-B15 cell line.

Narra J Pub Date : 2025-08-01 Epub Date: 2025-04-24 DOI:10.52225/narra.v5i2.1975
Olga R Siregar, Arlinda S Wahyuni, Ayodhia P Pasaribu, Deri Edianto, I Dg Ugrasena, Rina Amelia, Inke Nd Lubis, Muhammad Rusda
{"title":"Ivermectin and dexamethasone combination induces apoptosis in SUP-B15 cell line.","authors":"Olga R Siregar, Arlinda S Wahyuni, Ayodhia P Pasaribu, Deri Edianto, I Dg Ugrasena, Rina Amelia, Inke Nd Lubis, Muhammad Rusda","doi":"10.52225/narra.v5i2.1975","DOIUrl":null,"url":null,"abstract":"<p><p>The development of glucocorticoid resistance has complicated the management of acute lymphoblastic leukemia (ALL), leading to increased mortality rates. Ivermectin, a low-cost and well-established anthelmintic, exhibits anticancer potential and may enhance glucocorticoid toxicity in ALL, offering a possible strategy to overcome resistance. The aim of this study was to evaluate the apoptotic effect of combining ivermectin with dexamethasone in ALL. ALL SUP-B15 cells were cultured under standard conditions before treatment with dexamethasone (200 nM) alone or combined with ivermectin (5, 10, and 20 µM), with an untreated group serving as the control. Cytotoxicity was assessed using the 3-(4,5-dimethylthiazol-2-yl)-2,5-diphenyltetrazolium bromide (MTT) assay by measuring cell viability and inhibition. Apoptosis was evaluated through BAX, BCL-2, and CASP3 gene expression analysis using reverse transcription-polymerase chain reaction (RT-PCR). The findings revealed that the combination of ivermectin and dexamethasone was superior in the repression of ALL cell viability compared to control (<i>p</i><0.001). The combination of dexamethasone 200 nM + ivermectin 20 μM demonstrated the most significant cell inhibition of 38.16±0.04% (<i>p</i><0.001) and produced the lowest cell viability of 61.84±0.05% (<i>p</i><0.001). Moreover, the combination of dexamethasone 200 nM + ivermectin 20 μM demonstrated superior upregulations of <i>BAX</i> (<i>p</i><0.001) and <i>CASP3</i> (<i>p</i><0.001). In conclusion, the addition of ivermectin (5 µM) to dexamethasone regimen (200 nM) increases its cytotoxic and apoptotic activities against SUP-B15 cell line as observed by the <i>CASP3</i> and <i>BAX</i> upregulation. Studies to confirm the enhanced anticancer activity by this combination by observing the protein levels and animal studies are warranted.</p>","PeriodicalId":517416,"journal":{"name":"Narra J","volume":"5 2","pages":"e1975"},"PeriodicalIF":0.0000,"publicationDate":"2025-08-01","publicationTypes":"Journal Article","fieldsOfStudy":null,"isOpenAccess":false,"openAccessPdf":"https://www.ncbi.nlm.nih.gov/pmc/articles/PMC12425513/pdf/","citationCount":"0","resultStr":null,"platform":"Semanticscholar","paperid":null,"PeriodicalName":"Narra J","FirstCategoryId":"1085","ListUrlMain":"https://doi.org/10.52225/narra.v5i2.1975","RegionNum":0,"RegionCategory":null,"ArticlePicture":[],"TitleCN":null,"AbstractTextCN":null,"PMCID":null,"EPubDate":"2025/4/24 0:00:00","PubModel":"Epub","JCR":"","JCRName":"","Score":null,"Total":0}
引用次数: 0

Abstract

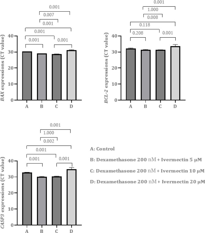
The development of glucocorticoid resistance has complicated the management of acute lymphoblastic leukemia (ALL), leading to increased mortality rates. Ivermectin, a low-cost and well-established anthelmintic, exhibits anticancer potential and may enhance glucocorticoid toxicity in ALL, offering a possible strategy to overcome resistance. The aim of this study was to evaluate the apoptotic effect of combining ivermectin with dexamethasone in ALL. ALL SUP-B15 cells were cultured under standard conditions before treatment with dexamethasone (200 nM) alone or combined with ivermectin (5, 10, and 20 µM), with an untreated group serving as the control. Cytotoxicity was assessed using the 3-(4,5-dimethylthiazol-2-yl)-2,5-diphenyltetrazolium bromide (MTT) assay by measuring cell viability and inhibition. Apoptosis was evaluated through BAX, BCL-2, and CASP3 gene expression analysis using reverse transcription-polymerase chain reaction (RT-PCR). The findings revealed that the combination of ivermectin and dexamethasone was superior in the repression of ALL cell viability compared to control (p<0.001). The combination of dexamethasone 200 nM + ivermectin 20 μM demonstrated the most significant cell inhibition of 38.16±0.04% (p<0.001) and produced the lowest cell viability of 61.84±0.05% (p<0.001). Moreover, the combination of dexamethasone 200 nM + ivermectin 20 μM demonstrated superior upregulations of BAX (p<0.001) and CASP3 (p<0.001). In conclusion, the addition of ivermectin (5 µM) to dexamethasone regimen (200 nM) increases its cytotoxic and apoptotic activities against SUP-B15 cell line as observed by the CASP3 and BAX upregulation. Studies to confirm the enhanced anticancer activity by this combination by observing the protein levels and animal studies are warranted.

Abstract Image

Abstract Image

伊维菌素与地塞米松联用诱导su - b15细胞凋亡。
糖皮质激素耐药性的发展使急性淋巴细胞白血病(ALL)的治疗复杂化,导致死亡率增加。伊维菌素是一种低成本和成熟的驱虫药,具有抗癌潜力,并可能增强ALL中糖皮质激素的毒性,为克服耐药性提供了一种可能的策略。本研究的目的是评价伊维菌素联合地塞米松对ALL细胞凋亡的影响。在单独使用地塞米松(200 nM)或联合伊维菌素(5、10和20µM)处理前,在标准条件下培养所有SUP-B15细胞,以未处理组为对照。采用3-(4,5-二甲基噻唑-2-基)-2,5-二苯基溴化四唑(MTT)法测定细胞活力和抑制作用,评估细胞毒性。通过逆转录聚合酶链反应(RT-PCR)分析BAX、BCL-2和CASP3基因表达,评估细胞凋亡情况。结果显示,伊维菌素和地塞米松联合使用在抑制ALL细胞活力方面优于对照(pppBAX、pCASP3、pCASP3和BAX上调)。通过观察蛋白质水平和动物实验来证实这种组合增强的抗癌活性是有必要的。
本文章由计算机程序翻译,如有差异,请以英文原文为准。
求助全文
约1分钟内获得全文 求助全文
来源期刊
CiteScore
3.90
自引率
0.00%
发文量
0
×
引用
GB/T 7714-2015
复制
MLA
复制
APA
复制
导出至
BibTeX EndNote RefMan NoteFirst NoteExpress
×
提示
您的信息不完整,为了账户安全,请先补充。
现在去补充
×
提示
您因"违规操作"
具体请查看互助需知
我知道了
×
提示
确定
请完成安全验证×
copy
已复制链接
快去分享给好友吧!
我知道了
右上角分享
点击右上角分享
0
联系我们:info@booksci.cn Book学术提供免费学术资源搜索服务,方便国内外学者检索中英文文献。致力于提供最便捷和优质的服务体验。 Copyright © 2023 布克学术 All rights reserved.
京ICP备2023020795号-1
ghs 京公网安备 11010802042870号
Book学术文献互助
Book学术文献互助群
群 号:604180095
Book学术官方微信