Seroprevalence and persistence of humoral immunity in response to SARS-CoV-2 vaccination and mild infection in Morocco: a cross-sectional study.

IF 1 Q4 PUBLIC, ENVIRONMENTAL & OCCUPATIONAL HEALTH
Pan African Medical Journal Pub Date : 2025-06-20 eCollection Date: 2025-01-01 DOI:10.11604/pamj.2025.51.53.46802
Nouhaila Najimi, Chaimae Kadi, Zainab Gaouzi, Nadia Dakka, Rabii Ameziane El Hassani, Fouad Seghrouchni, Youssef Bakri
{"title":"Seroprevalence and persistence of humoral immunity in response to SARS-CoV-2 vaccination and mild infection in Morocco: a cross-sectional study.","authors":"Nouhaila Najimi, Chaimae Kadi, Zainab Gaouzi, Nadia Dakka, Rabii Ameziane El Hassani, Fouad Seghrouchni, Youssef Bakri","doi":"10.11604/pamj.2025.51.53.46802","DOIUrl":null,"url":null,"abstract":"<p><strong>Introduction: </strong>assessing the seroprevalence and persistence of humoral immunity through population-based serological surveys is crucial for predicting reinfection risk and optimizing vaccination strategies. In Morocco, a mass vaccination campaign against SARS-CoV-2 has been launched to achieve herd immunity and reduce virus transmission. This study evaluated the humoral immune response to the BBIBP-CorV and ChAdOx1 nCoV-19 vaccines in healthy donors with varying doses and infection histories.</p><p><strong>Methods: </strong>IgG levels were measured via Vircell COVID-19 ELISA, and NAb levels were assessed via the GenScript Surrogate Virus Neutralization Test (sVNT). The study included individuals with different vaccination doses and prior infection histories.</p><p><strong>Results: </strong>the third vaccine dose produced the highest IgG titers, while nonvaccinated individuals and those receiving two doses had lower levels. Prior SARS-CoV-2 infection led to increased antibody levels, suggesting that hybrid immunity offers prolonged protection. The highest NAb titers were observed in individuals receiving three doses, with 96% of previously noninfected individuals being positive for NAb. Risk factor analysis indicated that prior infection (OR = 8.64, 95% CI: 2.52-29.6, p < 0.001) and three doses (OR = 22.1, 95% CI: 2.74-178, p < 0.001) increased immunity.</p><p><strong>Conclusion: </strong>hybrid immunity, involving prior infection and full vaccination, offers enhanced and longer-lasting protection. These results support the need for targeted vaccination strategies to optimize immunity and reduce the risk of adverse outcomes, especially in high-risk populations.</p>","PeriodicalId":48190,"journal":{"name":"Pan African Medical Journal","volume":"51 ","pages":"53"},"PeriodicalIF":1.0000,"publicationDate":"2025-06-20","publicationTypes":"Journal Article","fieldsOfStudy":null,"isOpenAccess":false,"openAccessPdf":"https://www.ncbi.nlm.nih.gov/pmc/articles/PMC12433016/pdf/","citationCount":"0","resultStr":null,"platform":"Semanticscholar","paperid":null,"PeriodicalName":"Pan African Medical Journal","FirstCategoryId":"1085","ListUrlMain":"https://doi.org/10.11604/pamj.2025.51.53.46802","RegionNum":0,"RegionCategory":null,"ArticlePicture":[],"TitleCN":null,"AbstractTextCN":null,"PMCID":null,"EPubDate":"2025/1/1 0:00:00","PubModel":"eCollection","JCR":"Q4","JCRName":"PUBLIC, ENVIRONMENTAL & OCCUPATIONAL HEALTH","Score":null,"Total":0}
引用次数: 0

Abstract

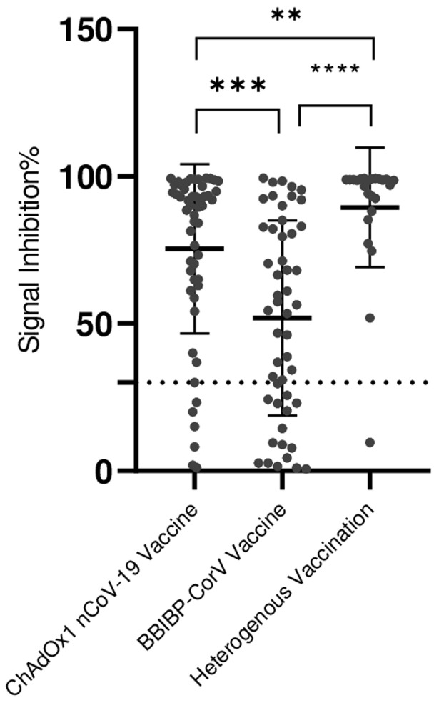
Introduction: assessing the seroprevalence and persistence of humoral immunity through population-based serological surveys is crucial for predicting reinfection risk and optimizing vaccination strategies. In Morocco, a mass vaccination campaign against SARS-CoV-2 has been launched to achieve herd immunity and reduce virus transmission. This study evaluated the humoral immune response to the BBIBP-CorV and ChAdOx1 nCoV-19 vaccines in healthy donors with varying doses and infection histories.

Methods: IgG levels were measured via Vircell COVID-19 ELISA, and NAb levels were assessed via the GenScript Surrogate Virus Neutralization Test (sVNT). The study included individuals with different vaccination doses and prior infection histories.

Results: the third vaccine dose produced the highest IgG titers, while nonvaccinated individuals and those receiving two doses had lower levels. Prior SARS-CoV-2 infection led to increased antibody levels, suggesting that hybrid immunity offers prolonged protection. The highest NAb titers were observed in individuals receiving three doses, with 96% of previously noninfected individuals being positive for NAb. Risk factor analysis indicated that prior infection (OR = 8.64, 95% CI: 2.52-29.6, p < 0.001) and three doses (OR = 22.1, 95% CI: 2.74-178, p < 0.001) increased immunity.

Conclusion: hybrid immunity, involving prior infection and full vaccination, offers enhanced and longer-lasting protection. These results support the need for targeted vaccination strategies to optimize immunity and reduce the risk of adverse outcomes, especially in high-risk populations.

Abstract Image

Abstract Image

Abstract Image

摩洛哥对SARS-CoV-2疫苗接种和轻度感染的血清阳性率和持续性体液免疫:一项横断面研究
通过基于人群的血清学调查评估体液免疫的血清阳性率和持久性对于预测再感染风险和优化疫苗接种策略至关重要。在摩洛哥,开展了针对SARS-CoV-2的大规模疫苗接种运动,以实现群体免疫并减少病毒传播。本研究评估了不同剂量和感染史的健康供体对BBIBP-CorV和ChAdOx1 nCoV-19疫苗的体液免疫反应。方法:采用Vircell COVID-19 ELISA检测IgG水平,采用GenScript替代病毒中和试验(sVNT)检测NAb水平。该研究包括不同接种剂量和既往感染史的个体。结果:第三剂疫苗产生的IgG滴度最高,而未接种疫苗的个体和接受两剂疫苗的个体的IgG滴度较低。先前的SARS-CoV-2感染导致抗体水平升高,这表明混合免疫提供了长期的保护。在接受三次剂量的个体中观察到最高的NAb滴度,96%以前未感染的个体NAb呈阳性。危险因素分析表明,既往感染(OR = 8.64, 95% CI: 2.52 ~ 29.6, p < 0.001)和三次给药(OR = 22.1, 95% CI: 2.74 ~ 178, p < 0.001)可提高免疫。结论:混合免疫,包括先前感染和充分接种,提供增强和更持久的保护。这些结果支持需要有针对性的疫苗接种策略,以优化免疫力并降低不良后果的风险,特别是在高危人群中。
本文章由计算机程序翻译,如有差异,请以英文原文为准。
求助全文
约1分钟内获得全文 求助全文
来源期刊
Pan African Medical Journal
Pan African Medical Journal PUBLIC, ENVIRONMENTAL & OCCUPATIONAL HEALTH-
CiteScore
1.80
自引率
0.00%
发文量
691
×
引用
GB/T 7714-2015
复制
MLA
复制
APA
复制
导出至
BibTeX EndNote RefMan NoteFirst NoteExpress
×
提示
您的信息不完整,为了账户安全,请先补充。
现在去补充
×
提示
您因"违规操作"
具体请查看互助需知
我知道了
×
提示
确定
请完成安全验证×
copy
已复制链接
快去分享给好友吧!
我知道了
右上角分享
点击右上角分享
0
联系我们:info@booksci.cn Book学术提供免费学术资源搜索服务,方便国内外学者检索中英文文献。致力于提供最便捷和优质的服务体验。 Copyright © 2023 布克学术 All rights reserved.
京ICP备2023020795号-1
ghs 京公网安备 11010802042870号
Book学术文献互助
Book学术文献互助群
群 号:604180095
Book学术官方微信