Morphomics in esophageal cancer: Validation and association with muscular and cardiorespiratory fitness.

IF 1.7 4区 医学 Q3 GASTROENTEROLOGY & HEPATOLOGY
Watson Hua-Sheng Tseng, Shu-Chun Huang, Stewart C Wang, Jules Lin, Peng Zhang, Yu-Chen Liu, Yin-Kai Chao, Chien-Hung Chiu
{"title":"Morphomics in esophageal cancer: Validation and association with muscular and cardiorespiratory fitness.","authors":"Watson Hua-Sheng Tseng, Shu-Chun Huang, Stewart C Wang, Jules Lin, Peng Zhang, Yu-Chen Liu, Yin-Kai Chao, Chien-Hung Chiu","doi":"10.4240/wjgs.v17.i8.108600","DOIUrl":null,"url":null,"abstract":"<p><strong>Background: </strong>Morphomics, a computed tomography-based body composition assessment, helps predicting esophageal cancer outcomes, but its link to bioelectrical impedance analysis (BIA) and functional assessments such as hand grip strength (HGS) and cardiopulmonary exercise testing (CPET) remains unclear.</p><p><strong>Aim: </strong>To investigate correlations between morphomics and BIA, HGS, CPET, and assess its ability to predict low cardiorespiratory fitness (CRF).</p><p><strong>Methods: </strong>Fifty esophageal cancer patients underwent multi-level morphomics, BIA, HGS, and CPET. Correlations were analyzed using heatmaps and scatter plots, and logistic regression assessed morphomic predictive value for low CRF.</p><p><strong>Results: </strong>T11 is the only level with complete morphomic data, making it the most applicable. To ensure reliability, T11 and its adjacent levels, T10-12, were included in the subsequent analysis. Dorsal muscle group volume from T10-12 morphomics all correlated positively with BIA muscle components (<i>r</i> = 0.56-0.68, all <i>P</i> < 0.001), HGS (<i>r</i> = 0.4-0.48, all <i>P</i> < 0.001), and CPET variables (<i>r</i> = 0.43-0.51, all <i>P</i> < 0.001). Subcutaneous fat area and visceral fat area from morphomics correlated with body fat percentage (<i>r</i> = 0.58-0.67, all <i>P</i> < 0.001) and negatively with CPET parameters (<i>r</i> = -0.33 to -0.52, all <i>P</i> < 0.05). Morphomics also showed potential in identifying low CRF, with an area under the receiver operating characteristic curve of 0.778.</p><p><strong>Conclusion: </strong>T11 morphomics shows strong correlation with BIA, HGS, and CPET, and may serve as a practical tool for preoperative risk assessment in esophageal cancer patients.</p>","PeriodicalId":23759,"journal":{"name":"World Journal of Gastrointestinal Surgery","volume":"17 8","pages":"108600"},"PeriodicalIF":1.7000,"publicationDate":"2025-08-27","publicationTypes":"Journal Article","fieldsOfStudy":null,"isOpenAccess":false,"openAccessPdf":"https://www.ncbi.nlm.nih.gov/pmc/articles/PMC12427075/pdf/","citationCount":"0","resultStr":null,"platform":"Semanticscholar","paperid":null,"PeriodicalName":"World Journal of Gastrointestinal Surgery","FirstCategoryId":"3","ListUrlMain":"https://doi.org/10.4240/wjgs.v17.i8.108600","RegionNum":4,"RegionCategory":"医学","ArticlePicture":[],"TitleCN":null,"AbstractTextCN":null,"PMCID":null,"EPubDate":"","PubModel":"","JCR":"Q3","JCRName":"GASTROENTEROLOGY & HEPATOLOGY","Score":null,"Total":0}
引用次数: 0

Abstract

Background: Morphomics, a computed tomography-based body composition assessment, helps predicting esophageal cancer outcomes, but its link to bioelectrical impedance analysis (BIA) and functional assessments such as hand grip strength (HGS) and cardiopulmonary exercise testing (CPET) remains unclear.

Aim: To investigate correlations between morphomics and BIA, HGS, CPET, and assess its ability to predict low cardiorespiratory fitness (CRF).

Methods: Fifty esophageal cancer patients underwent multi-level morphomics, BIA, HGS, and CPET. Correlations were analyzed using heatmaps and scatter plots, and logistic regression assessed morphomic predictive value for low CRF.

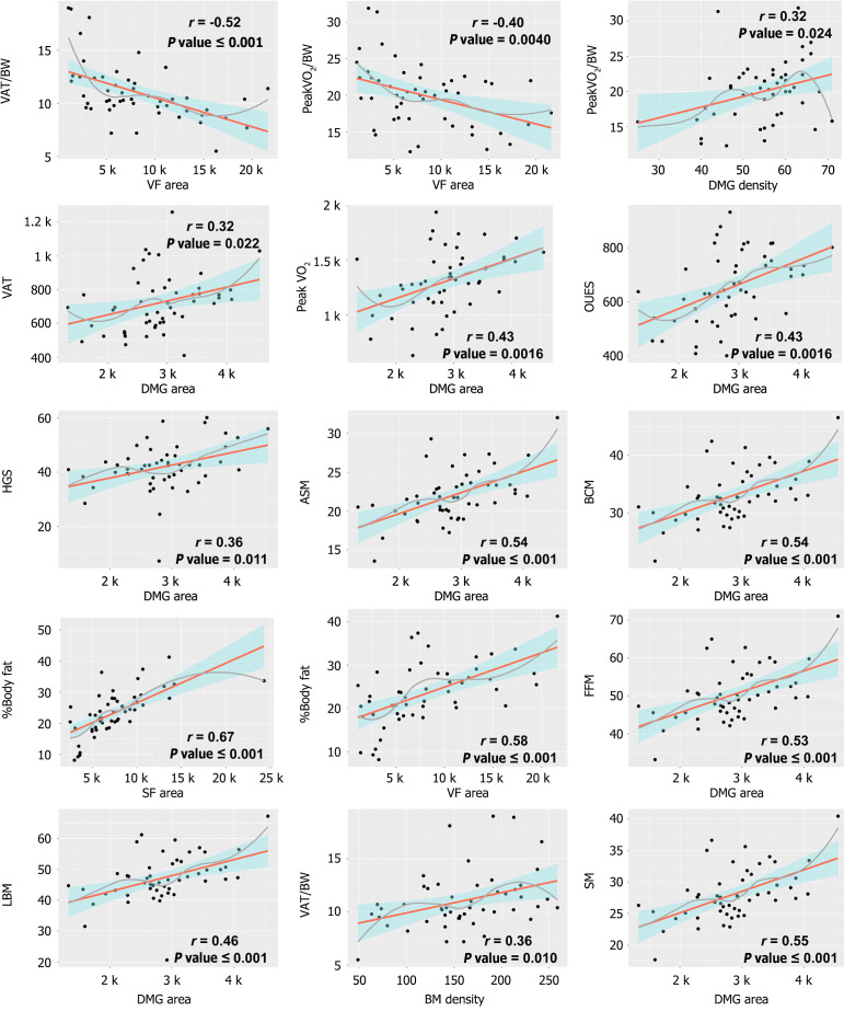
Results: T11 is the only level with complete morphomic data, making it the most applicable. To ensure reliability, T11 and its adjacent levels, T10-12, were included in the subsequent analysis. Dorsal muscle group volume from T10-12 morphomics all correlated positively with BIA muscle components (r = 0.56-0.68, all P < 0.001), HGS (r = 0.4-0.48, all P < 0.001), and CPET variables (r = 0.43-0.51, all P < 0.001). Subcutaneous fat area and visceral fat area from morphomics correlated with body fat percentage (r = 0.58-0.67, all P < 0.001) and negatively with CPET parameters (r = -0.33 to -0.52, all P < 0.05). Morphomics also showed potential in identifying low CRF, with an area under the receiver operating characteristic curve of 0.778.

Conclusion: T11 morphomics shows strong correlation with BIA, HGS, and CPET, and may serve as a practical tool for preoperative risk assessment in esophageal cancer patients.

Abstract Image

Abstract Image

Abstract Image

食管癌的形态组学:与肌肉和心肺健康的验证和关联。
背景:形态组学是一种基于计算机断层扫描的身体成分评估,有助于预测食管癌的预后,但其与生物电阻抗分析(BIA)和功能评估(如握力(HGS)和心肺运动测试(CPET))的联系尚不清楚。目的:探讨形态组学与BIA、HGS、CPET的相关性,并评估其对低心肺适能(CRF)的预测能力。方法:对50例食管癌患者进行多尺度形态组学、BIA、HGS和CPET检查。使用热图和散点图分析相关性,并使用逻辑回归评估低CRF的形态预测值。结果:T11是唯一具有完整形态数据的水平,是最适用的水平。为保证可靠性,后续分析中纳入T11及其相邻水平T10-12。T10-12组背肌群体积与BIA肌肉成分(r = 0.56 ~ 0.68,均P < 0.001)、HGS (r = 0.4 ~ 0.48,均P < 0.001)、CPET变量(r = 0.43 ~ 0.51,均P < 0.001)呈正相关。皮下脂肪面积和内脏脂肪面积与体脂率呈正相关(r = 0.58 ~ 0.67,均P < 0.001),与CPET参数呈负相关(r = -0.33 ~ -0.52,均P < 0.05)。形态组学在鉴别低CRF方面也显示出潜力,受者工作特征曲线下面积为0.778。结论:T11形态组学与BIA、HGS、CPET具有较强的相关性,可作为食管癌患者术前风险评估的实用工具。
本文章由计算机程序翻译,如有差异,请以英文原文为准。
求助全文
约1分钟内获得全文 求助全文
来源期刊
自引率
5.00%
发文量
111
×
引用
GB/T 7714-2015
复制
MLA
复制
APA
复制
导出至
BibTeX EndNote RefMan NoteFirst NoteExpress
×
提示
您的信息不完整,为了账户安全,请先补充。
现在去补充
×
提示
您因"违规操作"
具体请查看互助需知
我知道了
×
提示
确定
请完成安全验证×
copy
已复制链接
快去分享给好友吧!
我知道了
右上角分享
点击右上角分享
0
联系我们:info@booksci.cn Book学术提供免费学术资源搜索服务,方便国内外学者检索中英文文献。致力于提供最便捷和优质的服务体验。 Copyright © 2023 布克学术 All rights reserved.
京ICP备2023020795号-1
ghs 京公网安备 11010802042870号
Book学术文献互助
Book学术文献互助群
群 号:604180095
Book学术官方微信