Sympathetic hyperactivity in situational delayed ejaculation (intravaginal anejaculation phenotype): a neurophysiological case-control study.

IF 1.7 3区 医学 Q4 ANDROLOGY
Translational andrology and urology Pub Date : 2025-08-30 Epub Date: 2025-08-25 DOI:10.21037/tau-2025-348
Qingqiang Gao, Baibing Yang, Youfeng Han, Yutian Dai, Wen Yu, Dawei Ni
{"title":"Sympathetic hyperactivity in situational delayed ejaculation (intravaginal anejaculation phenotype): a neurophysiological case-control study.","authors":"Qingqiang Gao, Baibing Yang, Youfeng Han, Yutian Dai, Wen Yu, Dawei Ni","doi":"10.21037/tau-2025-348","DOIUrl":null,"url":null,"abstract":"<p><strong>Background: </strong>Situational delayed ejaculation (SD-DE, intravaginal anejaculation phenotype) is a clinically significant disorder marked by preserved masturbatory function but persistent coital anejaculation. This condition substantially impairs quality of life and causes significant distress. The underlying neurophysiology, particularly autonomic mechanisms, remains unclear. This study aimed to investigate sympathetic function in SD-DE using penile sympathetic skin response (PSSR) and assess its clinical correlates.</p><p><strong>Methods: </strong>Sixty-seven SD-DE patients and 65 normal controls (NCs) were enrolled. PSSR latency and amplitude, penile sensory threshold (PST), and clinical characteristics (including psychological evaluations via the Self-Rating Anxiety Scale, SAS) were systematically analyzed to evaluate sympathetic nervous system function.</p><p><strong>Results: </strong>SD-DE patients exhibited significantly shorter PSSR latency compared to NCs (P<0.001), indicating sympathetic hyperactivity. A significant negative correlation was observed between PSSR latency and anxiety scores (P<0.001), suggesting stress-mediated sympathetic overactivation. SD-DE patients also demonstrated higher PST (P=0.03), increased masturbation frequency (>2 times/week: 38.81% <i>vs.</i> 20.00%, P=0.02), and a higher prevalence of atypical masturbation (28.36% <i>vs.</i> 3.08%, P<0.001), reflecting compensatory sensorimotor adaptations.</p><p><strong>Conclusions: </strong>These findings establish sympathetic dysfunction as a core feature of SD-DE [Diagnostic and Statistical Manual of Mental Disorders, Fifth Edition (DSM-5) 302.74], with PSSR serving as an objective biomarker. The intravaginal anejaculation phenotype represents a distinct clinical entity within DSM-5 302.74, informing targeted therapeutic strategies. In the future, it is necessary to further verify its pathological circuit mechanism by combining multimodal neuroimaging techniques.</p>","PeriodicalId":23270,"journal":{"name":"Translational andrology and urology","volume":"14 8","pages":"2315-2324"},"PeriodicalIF":1.7000,"publicationDate":"2025-08-30","publicationTypes":"Journal Article","fieldsOfStudy":null,"isOpenAccess":false,"openAccessPdf":"https://www.ncbi.nlm.nih.gov/pmc/articles/PMC12433156/pdf/","citationCount":"0","resultStr":null,"platform":"Semanticscholar","paperid":null,"PeriodicalName":"Translational andrology and urology","FirstCategoryId":"3","ListUrlMain":"https://doi.org/10.21037/tau-2025-348","RegionNum":3,"RegionCategory":"医学","ArticlePicture":[],"TitleCN":null,"AbstractTextCN":null,"PMCID":null,"EPubDate":"2025/8/25 0:00:00","PubModel":"Epub","JCR":"Q4","JCRName":"ANDROLOGY","Score":null,"Total":0}
引用次数: 0

Abstract

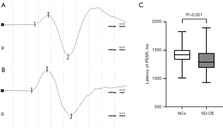
Background: Situational delayed ejaculation (SD-DE, intravaginal anejaculation phenotype) is a clinically significant disorder marked by preserved masturbatory function but persistent coital anejaculation. This condition substantially impairs quality of life and causes significant distress. The underlying neurophysiology, particularly autonomic mechanisms, remains unclear. This study aimed to investigate sympathetic function in SD-DE using penile sympathetic skin response (PSSR) and assess its clinical correlates.

Methods: Sixty-seven SD-DE patients and 65 normal controls (NCs) were enrolled. PSSR latency and amplitude, penile sensory threshold (PST), and clinical characteristics (including psychological evaluations via the Self-Rating Anxiety Scale, SAS) were systematically analyzed to evaluate sympathetic nervous system function.

Results: SD-DE patients exhibited significantly shorter PSSR latency compared to NCs (P<0.001), indicating sympathetic hyperactivity. A significant negative correlation was observed between PSSR latency and anxiety scores (P<0.001), suggesting stress-mediated sympathetic overactivation. SD-DE patients also demonstrated higher PST (P=0.03), increased masturbation frequency (>2 times/week: 38.81% vs. 20.00%, P=0.02), and a higher prevalence of atypical masturbation (28.36% vs. 3.08%, P<0.001), reflecting compensatory sensorimotor adaptations.

Conclusions: These findings establish sympathetic dysfunction as a core feature of SD-DE [Diagnostic and Statistical Manual of Mental Disorders, Fifth Edition (DSM-5) 302.74], with PSSR serving as an objective biomarker. The intravaginal anejaculation phenotype represents a distinct clinical entity within DSM-5 302.74, informing targeted therapeutic strategies. In the future, it is necessary to further verify its pathological circuit mechanism by combining multimodal neuroimaging techniques.

Abstract Image

Abstract Image

Abstract Image

情境性延迟射精(阴道内射精表型)的交感神经亢进:一项神经生理学病例对照研究。
背景:情境性延迟射精(SD-DE,阴道内射精表型)是一种具有临床意义的疾病,其特征是保留了手淫功能,但持续的性交射精。这种情况严重损害了生活质量,并造成严重的痛苦。潜在的神经生理学,特别是自主神经机制,仍不清楚。本研究旨在利用阴茎交感皮肤反应(PSSR)研究SD-DE患者的交感功能,并评估其临床相关性。方法:选取SD-DE患者67例,正常对照65例。系统分析PSSR潜伏期和振幅、阴茎感觉阈值(PST)和临床特征(包括焦虑自评量表(SAS)的心理评价)来评估交感神经系统功能。结果:SD-DE患者的PSSR潜伏期明显短于nc患者(P2次/周:38.81% vs. 20.00%, P=0.02),非典型手淫发生率较高(28.36% vs. 3.08%)。结论:这些发现表明交感神经功能障碍是SD-DE的核心特征[精神障碍诊断与统计手册,第五版(DSM-5) 302.74], PSSR可作为客观的生物标志物。阴道内射精表型在DSM-5 302.74中代表了一个独特的临床实体,为有针对性的治疗策略提供信息。未来有必要结合多模态神经影像学技术进一步验证其病理回路机制。
本文章由计算机程序翻译,如有差异,请以英文原文为准。
求助全文
约1分钟内获得全文 求助全文
来源期刊
CiteScore
4.10
自引率
5.00%
发文量
80
期刊介绍: ranslational Andrology and Urology (Print ISSN 2223-4683; Online ISSN 2223-4691; Transl Androl Urol; TAU) is an open access, peer-reviewed, bi-monthly journal (quarterly published from Mar.2012 - Dec. 2014). The main focus of the journal is to describe new findings in the field of translational research of Andrology and Urology, provides current and practical information on basic research and clinical investigations of Andrology and Urology. Specific areas of interest include, but not limited to, molecular study, pathology, biology and technical advances related to andrology and urology. Topics cover range from evaluation, prevention, diagnosis, therapy, prognosis, rehabilitation and future challenges to urology and andrology. Contributions pertinent to urology and andrology are also included from related fields such as public health, basic sciences, education, sociology, and nursing.
×
引用
GB/T 7714-2015
复制
MLA
复制
APA
复制
导出至
BibTeX EndNote RefMan NoteFirst NoteExpress
×
提示
您的信息不完整,为了账户安全,请先补充。
现在去补充
×
提示
您因"违规操作"
具体请查看互助需知
我知道了
×
提示
确定
请完成安全验证×
copy
已复制链接
快去分享给好友吧!
我知道了
右上角分享
点击右上角分享
0
联系我们:info@booksci.cn Book学术提供免费学术资源搜索服务,方便国内外学者检索中英文文献。致力于提供最便捷和优质的服务体验。 Copyright © 2023 布克学术 All rights reserved.
京ICP备2023020795号-1
ghs 京公网安备 11010802042870号
Book学术文献互助
Book学术文献互助群
群 号:604180095
Book学术官方微信