Self-Management Task Performance and Its Association with Biomarkers in Elderly Patients with Chronic Heart Failure: A Cross-Sectional Analysis.

IF 2 3区 医学 Q2 MEDICINE, GENERAL & INTERNAL
Patient preference and adherence Pub Date : 2025-09-09 eCollection Date: 2025-01-01 DOI:10.2147/PPA.S529356
Haixiang Zhu, Xiaoxue Han, Jinxuan Chen, Jiaen Ding, Ruiting Wang, Yuan Wu
{"title":"Self-Management Task Performance and Its Association with Biomarkers in Elderly Patients with Chronic Heart Failure: A Cross-Sectional Analysis.","authors":"Haixiang Zhu, Xiaoxue Han, Jinxuan Chen, Jiaen Ding, Ruiting Wang, Yuan Wu","doi":"10.2147/PPA.S529356","DOIUrl":null,"url":null,"abstract":"<p><strong>Purpose: </strong>This study aimed to investigate the relationship between self-management task performance and key heart failure biomarkers (NT-proBNP and uric acid) in elderly patients with chronic heart failure (CHF), and to explore the mediating role of disease severity in this relationship.</p><p><strong>Design patients and methods: </strong>A total of 103 elderly CHF patients were recruited. And cross-sectional study conducted at two tertiary hospitals. Self-management task performance was assessed using a validated six-task evaluation scale. Clinical data, including NT-proBNP, uric acid, and other laboratory markers, were collected. Participants were stratified into low and high task performance groups based on the median score. Data were analyzed using partial correlation analysis, logistic regression, and restricted cubic spline analysis.</p><p><strong>Results: </strong>Patients with higher task performance were significantly younger (p < 0.001). Task performance was negatively correlated with NT-proBNP (r = -0.337, p < 0.001) and uric acid (r = -0.279, p = 0.005), indicating that lower performance was associated with higher biomarker levels, reflecting more severe disease progression. A non-linear decreasing trend in both NT-proBNP and uric acid levels was observed as task performance increased. Among the self-management tasks, medication-related tasks had the lowest success rates, while tasks related to oedema and dietary management showed higher performance rates.</p><p><strong>Conclusion: </strong>Lower self-management task performance is significantly associated with elevated NT-proBNP and uric acid levels in elderly CHF patients, suggesting that poorer performance may indicate more advanced disease progression. These findings highlight the importance of targeted interventions to enhance self-management skills, particularly in medication adherence and disease monitoring, to improve patient outcomes. Future research should investigate the long-term clinical impact of improving task performance in CHF patients.</p>","PeriodicalId":19972,"journal":{"name":"Patient preference and adherence","volume":"19 ","pages":"2797-2806"},"PeriodicalIF":2.0000,"publicationDate":"2025-09-09","publicationTypes":"Journal Article","fieldsOfStudy":null,"isOpenAccess":false,"openAccessPdf":"https://www.ncbi.nlm.nih.gov/pmc/articles/PMC12433211/pdf/","citationCount":"0","resultStr":null,"platform":"Semanticscholar","paperid":null,"PeriodicalName":"Patient preference and adherence","FirstCategoryId":"3","ListUrlMain":"https://doi.org/10.2147/PPA.S529356","RegionNum":3,"RegionCategory":"医学","ArticlePicture":[],"TitleCN":null,"AbstractTextCN":null,"PMCID":null,"EPubDate":"2025/1/1 0:00:00","PubModel":"eCollection","JCR":"Q2","JCRName":"MEDICINE, GENERAL & INTERNAL","Score":null,"Total":0}
引用次数: 0

Abstract

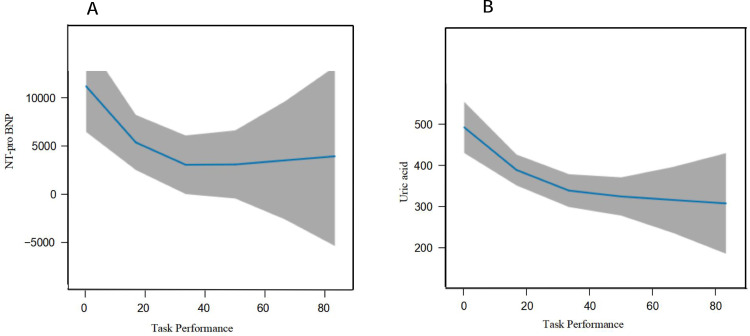
Purpose: This study aimed to investigate the relationship between self-management task performance and key heart failure biomarkers (NT-proBNP and uric acid) in elderly patients with chronic heart failure (CHF), and to explore the mediating role of disease severity in this relationship.

Design patients and methods: A total of 103 elderly CHF patients were recruited. And cross-sectional study conducted at two tertiary hospitals. Self-management task performance was assessed using a validated six-task evaluation scale. Clinical data, including NT-proBNP, uric acid, and other laboratory markers, were collected. Participants were stratified into low and high task performance groups based on the median score. Data were analyzed using partial correlation analysis, logistic regression, and restricted cubic spline analysis.

Results: Patients with higher task performance were significantly younger (p < 0.001). Task performance was negatively correlated with NT-proBNP (r = -0.337, p < 0.001) and uric acid (r = -0.279, p = 0.005), indicating that lower performance was associated with higher biomarker levels, reflecting more severe disease progression. A non-linear decreasing trend in both NT-proBNP and uric acid levels was observed as task performance increased. Among the self-management tasks, medication-related tasks had the lowest success rates, while tasks related to oedema and dietary management showed higher performance rates.

Conclusion: Lower self-management task performance is significantly associated with elevated NT-proBNP and uric acid levels in elderly CHF patients, suggesting that poorer performance may indicate more advanced disease progression. These findings highlight the importance of targeted interventions to enhance self-management skills, particularly in medication adherence and disease monitoring, to improve patient outcomes. Future research should investigate the long-term clinical impact of improving task performance in CHF patients.

Abstract Image

Abstract Image

Abstract Image

老年慢性心力衰竭患者自我管理任务表现及其与生物标志物的关联:一项横断面分析
目的:本研究旨在探讨老年慢性心力衰竭(CHF)患者自我管理任务表现与心衰关键生物标志物NT-proBNP和尿酸的关系,并探讨疾病严重程度在这一关系中的中介作用。设计患者和方法:共招募103例老年CHF患者。并在两家三级医院进行了横断面研究。自我管理任务绩效评估使用一个有效的六任务评估量表。收集临床数据,包括NT-proBNP、尿酸和其他实验室标志物。参与者根据中位数得分被分为低任务表现组和高任务表现组。数据分析采用偏相关分析、逻辑回归和受限三次样条分析。结果:任务表现较高的患者年龄明显较轻(p < 0.001)。任务绩效与NT-proBNP (r = -0.337, p < 0.001)和尿酸(r = -0.279, p = 0.005)呈负相关,表明较低的绩效与较高的生物标志物水平相关,反映出更严重的疾病进展。NT-proBNP和尿酸水平随任务表现的提高呈非线性下降趋势。在自我管理任务中,与药物相关的任务成功率最低,而与水肿和饮食管理相关的任务成功率较高。结论:较低的自我管理任务表现与老年CHF患者NT-proBNP和尿酸水平升高显著相关,提示较差的表现可能表明疾病进展较晚。这些发现强调了有针对性的干预措施对提高自我管理技能的重要性,特别是在药物依从性和疾病监测方面,以改善患者的预后。未来的研究应探讨改善CHF患者任务表现的长期临床影响。
本文章由计算机程序翻译,如有差异,请以英文原文为准。
求助全文
约1分钟内获得全文 求助全文
来源期刊
Patient preference and adherence
Patient preference and adherence MEDICINE, GENERAL & INTERNAL-
CiteScore
3.60
自引率
4.50%
发文量
354
审稿时长
6-12 weeks
期刊介绍: Patient Preference and Adherence is an international, peer reviewed, open access journal that focuses on the growing importance of patient preference and adherence throughout the therapeutic continuum. The journal is characterized by the rapid reporting of reviews, original research, modeling and clinical studies across all therapeutic areas. Patient satisfaction, acceptability, quality of life, compliance, persistence and their role in developing new therapeutic modalities and compounds to optimize clinical outcomes for existing disease states are major areas of interest for the journal. As of 1st April 2019, Patient Preference and Adherence will no longer consider meta-analyses for publication.
×
引用
GB/T 7714-2015
复制
MLA
复制
APA
复制
导出至
BibTeX EndNote RefMan NoteFirst NoteExpress
×
提示
您的信息不完整,为了账户安全,请先补充。
现在去补充
×
提示
您因"违规操作"
具体请查看互助需知
我知道了
×
提示
确定
请完成安全验证×
copy
已复制链接
快去分享给好友吧!
我知道了
右上角分享
点击右上角分享
0
联系我们:info@booksci.cn Book学术提供免费学术资源搜索服务,方便国内外学者检索中英文文献。致力于提供最便捷和优质的服务体验。 Copyright © 2023 布克学术 All rights reserved.
京ICP备2023020795号-1
ghs 京公网安备 11010802042870号
Book学术文献互助
Book学术文献互助群
群 号:604180095
Book学术官方微信