Comprehensive Analysis of Tumor Microenvironment and PD-L1 Expression Associations with Clinicopathological Features and Prognosis in Diffuse Large B-Cell Lymphoma.

IF 4.9 Q2 ONCOLOGY
Blood and Lymphatic Cancer-Targets and Therapy Pub Date : 2025-09-06 eCollection Date: 2025-01-01 DOI:10.2147/BLCTT.S545717
Yun-Li Xie, Long-Feng Ke, Wen-Wen Zhang, Fu Kang, Shu-Yi Lu, Chen-Yu Wu, Huan-Huan Zhu, Jian-Chao Wang, Gang Chen, Yan-Ping Chen
{"title":"Comprehensive Analysis of Tumor Microenvironment and PD-L1 Expression Associations with Clinicopathological Features and Prognosis in Diffuse Large B-Cell Lymphoma.","authors":"Yun-Li Xie, Long-Feng Ke, Wen-Wen Zhang, Fu Kang, Shu-Yi Lu, Chen-Yu Wu, Huan-Huan Zhu, Jian-Chao Wang, Gang Chen, Yan-Ping Chen","doi":"10.2147/BLCTT.S545717","DOIUrl":null,"url":null,"abstract":"<p><strong>Introduction: </strong>The tumor microenvironment (TME) influences diffuse large B-cell lymphoma (DLBCL) progression, but the prognostic roles of tumor-infiltrating T-lymphocytes (TIL-T), tumor-associated macrophages (TAMs), and PD-L1 remain undefined. This study investigates the clinicopathological associations and prognostic impacts of TIL-T, TAMs, and PD-L1 expression in DLBCL.</p><p><strong>Methods: </strong>This retrospective study evaluated 89 primary DLBCL cases, integrating clinicopathological data with automated immunohistochemical quantification of CD3, CD8, FOXP3, CD163, and PD-L1 expression in tumor hotspots and microenvironmental compartments. Prognostic associations of TIL-T, TAMs, and PD-L1 expression with PFS and OS were analyzed via Kaplan-Meier methods and Cox regression.</p><p><strong>Results: </strong>High CD3+ infiltration correlated with lower Ki-67 expression, while elevated FOXP3+ levels linked to improved Eastern Cooperative Oncology Group Performance Status (ECOG). CD163+ TAMs varied by NCCN-IPI risk, ECOG, and cell of origin. Neoplastic PD-L1 (nPD-L1) positivity associated with higher NCCN-IPI scores, CD3+ T-cell infiltration, and CD163+ TAM enrichment. Microenvironmental PD-L1 (mPD-L1) correlated with age, ECOG, B symptoms, and infiltration of all T-cell subsets and TAMs. Survival analysis revealed prolonged overall survival (OS) with high CD3+, CD8+, FOXP3+ TIL-T, CD163+ TAMs, or mPD-L1 positivity, while progression-free survival (PFS) improved with CD3+ infiltration and mPD-L1. Univariate analysis identified B symptoms, extranodal involvement, and low TIL-T levels as OS risks, whereas ECOG 0 and mPD-L1+ were protective. Multivariate modeling confirmed B symptoms, extranodal disease, and CD3+ TIL-T as independent OS predictors; CD3+ TIL-T and B symptoms independently impacted PFS.</p><p><strong>Discussion: </strong>The TME plays a crucial role in the biological behavior of DLBCL, particularly because TIL-T and TAMs are significantly associated with patient survival outcomes. These cell types may serve as critical biomarkers and provide novel immunotherapy targets in DLBCL.</p>","PeriodicalId":42368,"journal":{"name":"Blood and Lymphatic Cancer-Targets and Therapy","volume":"15 ","pages":"167-179"},"PeriodicalIF":4.9000,"publicationDate":"2025-09-06","publicationTypes":"Journal Article","fieldsOfStudy":null,"isOpenAccess":false,"openAccessPdf":"https://www.ncbi.nlm.nih.gov/pmc/articles/PMC12423448/pdf/","citationCount":"0","resultStr":null,"platform":"Semanticscholar","paperid":null,"PeriodicalName":"Blood and Lymphatic Cancer-Targets and Therapy","FirstCategoryId":"1085","ListUrlMain":"https://doi.org/10.2147/BLCTT.S545717","RegionNum":0,"RegionCategory":null,"ArticlePicture":[],"TitleCN":null,"AbstractTextCN":null,"PMCID":null,"EPubDate":"2025/1/1 0:00:00","PubModel":"eCollection","JCR":"Q2","JCRName":"ONCOLOGY","Score":null,"Total":0}
引用次数: 0

Abstract

Introduction: The tumor microenvironment (TME) influences diffuse large B-cell lymphoma (DLBCL) progression, but the prognostic roles of tumor-infiltrating T-lymphocytes (TIL-T), tumor-associated macrophages (TAMs), and PD-L1 remain undefined. This study investigates the clinicopathological associations and prognostic impacts of TIL-T, TAMs, and PD-L1 expression in DLBCL.

Methods: This retrospective study evaluated 89 primary DLBCL cases, integrating clinicopathological data with automated immunohistochemical quantification of CD3, CD8, FOXP3, CD163, and PD-L1 expression in tumor hotspots and microenvironmental compartments. Prognostic associations of TIL-T, TAMs, and PD-L1 expression with PFS and OS were analyzed via Kaplan-Meier methods and Cox regression.

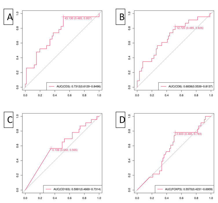
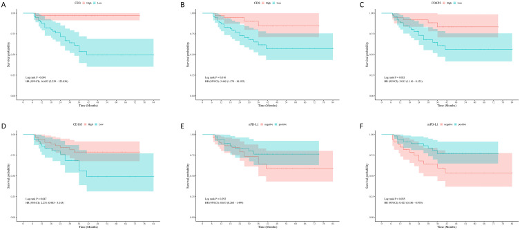
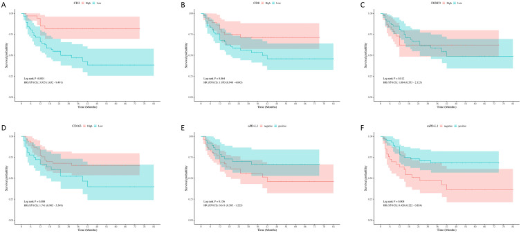
Results: High CD3+ infiltration correlated with lower Ki-67 expression, while elevated FOXP3+ levels linked to improved Eastern Cooperative Oncology Group Performance Status (ECOG). CD163+ TAMs varied by NCCN-IPI risk, ECOG, and cell of origin. Neoplastic PD-L1 (nPD-L1) positivity associated with higher NCCN-IPI scores, CD3+ T-cell infiltration, and CD163+ TAM enrichment. Microenvironmental PD-L1 (mPD-L1) correlated with age, ECOG, B symptoms, and infiltration of all T-cell subsets and TAMs. Survival analysis revealed prolonged overall survival (OS) with high CD3+, CD8+, FOXP3+ TIL-T, CD163+ TAMs, or mPD-L1 positivity, while progression-free survival (PFS) improved with CD3+ infiltration and mPD-L1. Univariate analysis identified B symptoms, extranodal involvement, and low TIL-T levels as OS risks, whereas ECOG 0 and mPD-L1+ were protective. Multivariate modeling confirmed B symptoms, extranodal disease, and CD3+ TIL-T as independent OS predictors; CD3+ TIL-T and B symptoms independently impacted PFS.

Discussion: The TME plays a crucial role in the biological behavior of DLBCL, particularly because TIL-T and TAMs are significantly associated with patient survival outcomes. These cell types may serve as critical biomarkers and provide novel immunotherapy targets in DLBCL.

Abstract Image

Abstract Image

Abstract Image

弥漫性大b细胞淋巴瘤肿瘤微环境及PD-L1表达与临床病理特征及预后相关性的综合分析
肿瘤微环境(TME)影响弥漫性大b细胞淋巴瘤(DLBCL)的进展,但肿瘤浸润t淋巴细胞(TIL-T)、肿瘤相关巨噬细胞(tam)和PD-L1在预后中的作用尚不明确。本研究探讨了TIL-T、TAMs和PD-L1表达在DLBCL中的临床病理关联和预后影响。方法:本回顾性研究评估了89例原发性DLBCL病例,将临床病理数据与肿瘤热点和微环境区室中CD3、CD8、FOXP3、CD163和PD-L1表达的自动免疫组织化学定量相结合。通过Kaplan-Meier方法和Cox回归分析TIL-T、tam和PD-L1表达与PFS和OS的预后关系。结果:高CD3+浸润与较低的Ki-67表达相关,而FOXP3+水平升高与改善东部肿瘤合作组绩效状态(ECOG)有关。CD163+ tam因NCCN-IPI风险、ECOG和细胞来源而异。肿瘤PD-L1 (nPD-L1)阳性与较高的NCCN-IPI评分、CD3+ t细胞浸润和CD163+ TAM富集相关。微环境PD-L1 (mPD-L1)与年龄、ECOG、B症状以及所有t细胞亚群和tam的浸润相关。生存分析显示,CD3+、CD8+、FOXP3+ TIL-T、CD163+ tam或mPD-L1阳性可延长总生存期(OS),而CD3+浸润和mPD-L1可改善无进展生存期(PFS)。单因素分析确定B症状、结外受累和低TIL-T水平为OS风险,而ECOG 0和mPD-L1+具有保护作用。多变量模型证实B症状、结外疾病和CD3+ TIL-T是独立的OS预测因子;CD3+ TIL-T和B症状独立影响PFS。讨论:TME在DLBCL的生物学行为中起着至关重要的作用,特别是因为TIL-T和TAMs与患者生存结果显着相关。这些细胞类型可能作为关键的生物标志物,并为DLBCL提供新的免疫治疗靶点。
本文章由计算机程序翻译,如有差异,请以英文原文为准。
求助全文
约1分钟内获得全文 求助全文
来源期刊
自引率
7.10%
发文量
16
审稿时长
16 weeks
期刊介绍: Blood and Lymphatic Cancer: Targets and Therapy is an international, peer reviewed, open access journal focusing on blood and lymphatic cancer research, identification of therapeutic targets, and the optimal use of preventative and integrated treatment interventions to achieve improved outcomes, enhanced survival, and quality of life for the cancer patient. Specific topics covered in the journal include: Epidemiology, detection and screening Cellular research and biomarkers Identification of biotargets and agents with novel mechanisms of action Optimal clinical use of existing anticancer agents, including combination therapies Radiation, surgery, bone marrow transplantation Palliative care Patient adherence, quality of life, satisfaction Health economic evaluations.
×
引用
GB/T 7714-2015
复制
MLA
复制
APA
复制
导出至
BibTeX EndNote RefMan NoteFirst NoteExpress
×
提示
您的信息不完整,为了账户安全,请先补充。
现在去补充
×
提示
您因"违规操作"
具体请查看互助需知
我知道了
×
提示
确定
请完成安全验证×
copy
已复制链接
快去分享给好友吧!
我知道了
右上角分享
点击右上角分享
0
联系我们:info@booksci.cn Book学术提供免费学术资源搜索服务,方便国内外学者检索中英文文献。致力于提供最便捷和优质的服务体验。 Copyright © 2023 布克学术 All rights reserved.
京ICP备2023020795号-1
ghs 京公网安备 11010802042870号
Book学术文献互助
Book学术文献互助群
群 号:604180095
Book学术官方微信