ALA-based photodynamic priming in murine skin increases blood flow and oxygenation.

IF 2.9 3区 医学 Q2 BIOCHEMICAL RESEARCH METHODS
Journal of Biomedical Optics Pub Date : 2025-12-01 Epub Date: 2025-09-13 DOI:10.1117/1.JBO.30.S3.S34106
Aleksandra Ilina, Marien Iliza Ochoa Mendoza, Xu Cao, Tayyaba Hasan, Brian W Pogue
{"title":"ALA-based photodynamic priming in murine skin increases blood flow and oxygenation.","authors":"Aleksandra Ilina, Marien Iliza Ochoa Mendoza, Xu Cao, Tayyaba Hasan, Brian W Pogue","doi":"10.1117/1.JBO.30.S3.S34106","DOIUrl":null,"url":null,"abstract":"<p><strong>Significance: </strong>Topical photodynamic therapy (PDT) with protoporphyrin IX (PpIX) converted from 5-aminolevulinic acid (ALA) is a well-established noninvasive method of treating skin conditions and lesions. During PDT, there can be response dynamics within the tissue that are affected by the light delivery, seen with fractionated delivery and in subcurative priming delivery. Fractionated light doses can considerably increase efficacy of 5-ALA PDT response.</p><p><strong>Aim: </strong>We aim to examine the changes in physiological blood flow, tissue oxygenation, and PpIX concentration during and after light delivery in topical ALA-PDT in nude mouse skin.</p><p><strong>Approach: </strong>We compared three schemes of light delivery for topical ALA-PDT in nude mice, including (1) full light delivery without fractionation, (2) two equal fractions (50% and 50%) of light separated by 2 h, and (3) a 5% light dose fractionation by 2 h prior to the main 95% light dose. Tissue oxygen imaging was assessed with the hypoxia signal from delayed fluorescence of PpIX itself within the tissue, as well as by confirmation with Oxyphor phosphorescence lifetime quenching imaging.</p><p><strong>Results: </strong>The results of blood flow imaging and hypoxia imaging from PpIX and oxygen imaging with Oxyphor each showed evidence of increased capillary flow and tissue oxygenation after the initial 5% light dose, increased at the side of irradiation. This increased capillary flow and tissue oxygenation are presumably from vasodilation and local capillary flow increase. PpIX replenishment occurs during the intervening dark period after the initial light delivery.</p><p><strong>Conclusion: </strong>These observations suggest that increasing oxygen and capillary flow combined with increased PpIX production together yield increased PDT efficiency, amplified by this initial light dose from a photodynamic optical priming event occurring 2 h prior to full PDT light delivery.</p>","PeriodicalId":15264,"journal":{"name":"Journal of Biomedical Optics","volume":"30 Suppl 3","pages":"S34106"},"PeriodicalIF":2.9000,"publicationDate":"2025-12-01","publicationTypes":"Journal Article","fieldsOfStudy":null,"isOpenAccess":false,"openAccessPdf":"https://www.ncbi.nlm.nih.gov/pmc/articles/PMC12433272/pdf/","citationCount":"0","resultStr":null,"platform":"Semanticscholar","paperid":null,"PeriodicalName":"Journal of Biomedical Optics","FirstCategoryId":"3","ListUrlMain":"https://doi.org/10.1117/1.JBO.30.S3.S34106","RegionNum":3,"RegionCategory":"医学","ArticlePicture":[],"TitleCN":null,"AbstractTextCN":null,"PMCID":null,"EPubDate":"2025/9/13 0:00:00","PubModel":"Epub","JCR":"Q2","JCRName":"BIOCHEMICAL RESEARCH METHODS","Score":null,"Total":0}
引用次数: 0

Abstract

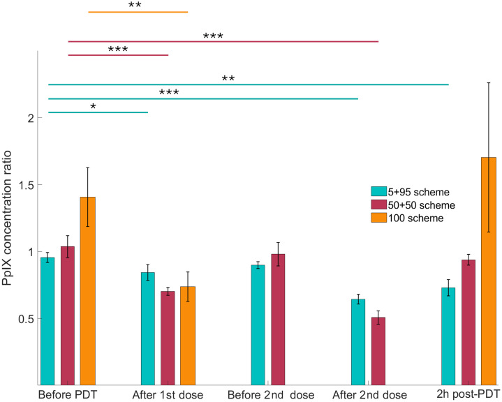
Significance: Topical photodynamic therapy (PDT) with protoporphyrin IX (PpIX) converted from 5-aminolevulinic acid (ALA) is a well-established noninvasive method of treating skin conditions and lesions. During PDT, there can be response dynamics within the tissue that are affected by the light delivery, seen with fractionated delivery and in subcurative priming delivery. Fractionated light doses can considerably increase efficacy of 5-ALA PDT response.

Aim: We aim to examine the changes in physiological blood flow, tissue oxygenation, and PpIX concentration during and after light delivery in topical ALA-PDT in nude mouse skin.

Approach: We compared three schemes of light delivery for topical ALA-PDT in nude mice, including (1) full light delivery without fractionation, (2) two equal fractions (50% and 50%) of light separated by 2 h, and (3) a 5% light dose fractionation by 2 h prior to the main 95% light dose. Tissue oxygen imaging was assessed with the hypoxia signal from delayed fluorescence of PpIX itself within the tissue, as well as by confirmation with Oxyphor phosphorescence lifetime quenching imaging.

Results: The results of blood flow imaging and hypoxia imaging from PpIX and oxygen imaging with Oxyphor each showed evidence of increased capillary flow and tissue oxygenation after the initial 5% light dose, increased at the side of irradiation. This increased capillary flow and tissue oxygenation are presumably from vasodilation and local capillary flow increase. PpIX replenishment occurs during the intervening dark period after the initial light delivery.

Conclusion: These observations suggest that increasing oxygen and capillary flow combined with increased PpIX production together yield increased PDT efficiency, amplified by this initial light dose from a photodynamic optical priming event occurring 2 h prior to full PDT light delivery.

Abstract Image

Abstract Image

Abstract Image

小鼠皮肤中基于ala的光动力启动增加血流量和氧合。
意义:用5-氨基乙酰丙酸(ALA)转化的原卟啉IX (PpIX)局部光动力疗法(PDT)是一种公认的治疗皮肤疾病和病变的无创方法。在PDT期间,组织内可能存在受光递送影响的反应动力学,可见于分次递送和亚治疗启动递送。分次光剂量可显著提高5-ALA PDT疗效。目的:观察裸鼠皮肤局部ALA-PDT在光照给药期间和之后生理血流量、组织氧合和PpIX浓度的变化。方法:我们比较了裸鼠局部给药ALA-PDT的三种方案,包括:(1)不分段的全光给药,(2)间隔2小时的两等量光(50%和50%),以及(3)在主95%光剂量前2小时的5%光剂量分段。通过组织内PpIX自身延迟荧光的缺氧信号以及Oxyphor磷光寿命猝灭成像来评估组织氧成像。结果:PpIX的血流显像、缺氧显像和Oxyphor的氧显像均显示,初始5%光剂量后毛细血管血流和组织氧合增加,在照射侧增加。毛细血管流量和组织氧合的增加可能是由于血管舒张和局部毛细血管流量增加所致。PpIX补充发生在初始光传递后的中间黑暗时期。结论:这些观察结果表明,氧气和毛细管流量的增加以及PpIX产量的增加共同提高了PDT效率,这一效应被发生在完全PDT光传递前2小时的光动力光启动事件的初始光剂量放大。
本文章由计算机程序翻译,如有差异,请以英文原文为准。
求助全文
约1分钟内获得全文 求助全文
来源期刊
CiteScore
6.40
自引率
5.70%
发文量
263
审稿时长
2 months
期刊介绍: The Journal of Biomedical Optics publishes peer-reviewed papers on the use of modern optical technology for improved health care and biomedical research.
×
引用
GB/T 7714-2015
复制
MLA
复制
APA
复制
导出至
BibTeX EndNote RefMan NoteFirst NoteExpress
×
提示
您的信息不完整,为了账户安全,请先补充。
现在去补充
×
提示
您因"违规操作"
具体请查看互助需知
我知道了
×
提示
确定
请完成安全验证×
copy
已复制链接
快去分享给好友吧!
我知道了
右上角分享
点击右上角分享
0
联系我们:info@booksci.cn Book学术提供免费学术资源搜索服务,方便国内外学者检索中英文文献。致力于提供最便捷和优质的服务体验。 Copyright © 2023 布克学术 All rights reserved.
京ICP备2023020795号-1
ghs 京公网安备 11010802042870号
Book学术文献互助
Book学术文献互助群
群 号:604180095
Book学术官方微信