Correlation Between Vancomycin Trough Concentrations and C-Reactive Protein in Neonates: A Retrospective Observational Study from a Tertiary Hospital in China.

IF 2.9 3区 医学 Q2 INFECTIOUS DISEASES
Infection and Drug Resistance Pub Date : 2025-09-06 eCollection Date: 2025-01-01 DOI:10.2147/IDR.S537052
Bo Guo, Hui Chen, Xiao Song, Zeyang Wei, Kai Zhao, Zhen-Guo Liu
{"title":"Correlation Between Vancomycin Trough Concentrations and C-Reactive Protein in Neonates: A Retrospective Observational Study from a Tertiary Hospital in China.","authors":"Bo Guo, Hui Chen, Xiao Song, Zeyang Wei, Kai Zhao, Zhen-Guo Liu","doi":"10.2147/IDR.S537052","DOIUrl":null,"url":null,"abstract":"<p><strong>Background: </strong>Low initial trough concentrations of vancomycin (TCV) are prevalent among neonatal patients receiving this medication. Prior research has identified significant correlations between initial TCV and various clinical parameters, including postnatal age, gestational age, body weight, estimated glomerular filtration rate (eGFR), and serum albumin levels. However, few studies have addressed the relationship between C-reactive protein (CRP) and initial TCV in neonates. This study aimed to explore the correlation between CRP and initial TCV in a Chinese neonatal population.</p><p><strong>Methods: </strong>A retrospective observational study was conducted on neonates who received intravenous vancomycin at Northwest Women's and Children's Hospital, China, from October 2018 to December 2023. Clinical characteristics and laboratory data were extracted from medical records, focusing on data obtained within 24 hours prior to the first vancomycin administration. The primary outcomes measured were CRP levels and initial TCV.</p><p><strong>Results: </strong>A total of 112 neonates with available therapeutic drug monitoring (TDM) data for intravenous vancomycin treatment were included. After adjusting for potential confounders, a non-linear relationship between CRP and initial TCV was identified, with an inflection point at 88.28 mg/L. The effect sizes and corresponding confidence intervals for the regions below and above this inflection point were 0.036 (95% CI: -0.005 to 0.078) and -0.084 (95% CI: -0.142 to -0.027), respectively.</p><p><strong>Conclusion: </strong>A non-linear relationship between CRP and initial TCV was identified, with a negative correlation when CRP levels exceed 88.28 mg/L.</p>","PeriodicalId":13577,"journal":{"name":"Infection and Drug Resistance","volume":"18 ","pages":"4777-4787"},"PeriodicalIF":2.9000,"publicationDate":"2025-09-06","publicationTypes":"Journal Article","fieldsOfStudy":null,"isOpenAccess":false,"openAccessPdf":"https://www.ncbi.nlm.nih.gov/pmc/articles/PMC12423437/pdf/","citationCount":"0","resultStr":null,"platform":"Semanticscholar","paperid":null,"PeriodicalName":"Infection and Drug Resistance","FirstCategoryId":"3","ListUrlMain":"https://doi.org/10.2147/IDR.S537052","RegionNum":3,"RegionCategory":"医学","ArticlePicture":[],"TitleCN":null,"AbstractTextCN":null,"PMCID":null,"EPubDate":"2025/1/1 0:00:00","PubModel":"eCollection","JCR":"Q2","JCRName":"INFECTIOUS DISEASES","Score":null,"Total":0}
引用次数: 0

Abstract

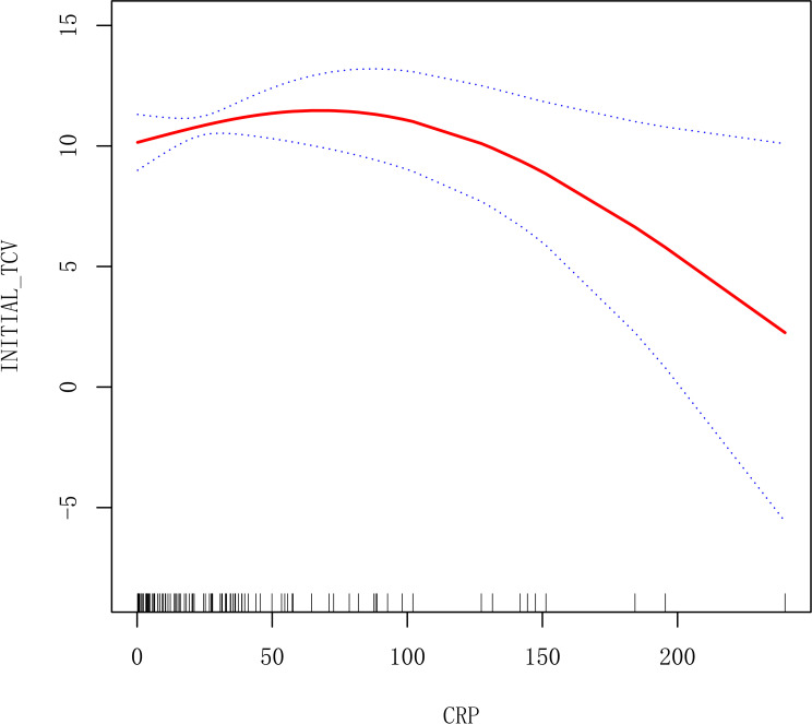
Background: Low initial trough concentrations of vancomycin (TCV) are prevalent among neonatal patients receiving this medication. Prior research has identified significant correlations between initial TCV and various clinical parameters, including postnatal age, gestational age, body weight, estimated glomerular filtration rate (eGFR), and serum albumin levels. However, few studies have addressed the relationship between C-reactive protein (CRP) and initial TCV in neonates. This study aimed to explore the correlation between CRP and initial TCV in a Chinese neonatal population.

Methods: A retrospective observational study was conducted on neonates who received intravenous vancomycin at Northwest Women's and Children's Hospital, China, from October 2018 to December 2023. Clinical characteristics and laboratory data were extracted from medical records, focusing on data obtained within 24 hours prior to the first vancomycin administration. The primary outcomes measured were CRP levels and initial TCV.

Results: A total of 112 neonates with available therapeutic drug monitoring (TDM) data for intravenous vancomycin treatment were included. After adjusting for potential confounders, a non-linear relationship between CRP and initial TCV was identified, with an inflection point at 88.28 mg/L. The effect sizes and corresponding confidence intervals for the regions below and above this inflection point were 0.036 (95% CI: -0.005 to 0.078) and -0.084 (95% CI: -0.142 to -0.027), respectively.

Conclusion: A non-linear relationship between CRP and initial TCV was identified, with a negative correlation when CRP levels exceed 88.28 mg/L.

Abstract Image

Abstract Image

万古霉素谷浓度与新生儿c反应蛋白相关性:中国某三级医院回顾性观察研究
背景:在接受万古霉素(TCV)治疗的新生儿患者中普遍存在初始谷浓度低的情况。先前的研究已经确定了初始TCV与各种临床参数之间的显著相关性,包括出生年龄、胎龄、体重、估计肾小球滤过率(eGFR)和血清白蛋白水平。然而,很少有研究涉及c反应蛋白(CRP)与新生儿初始TCV之间的关系。本研究旨在探讨中国新生儿人群中CRP与初始TCV的相关性。方法:对2018年10月至2023年12月在西北妇幼医院静脉注射万古霉素的新生儿进行回顾性观察研究。从医疗记录中提取临床特征和实验室数据,重点是首次使用万古霉素前24小时内的数据。测量的主要结果是CRP水平和初始TCV。结果:共纳入112例静脉万古霉素治疗药物监测(TDM)数据的新生儿。在调整了潜在的混杂因素后,发现CRP与初始TCV之间存在非线性关系,拐点为88.28 mg/L。该拐点以下和以上区域的效应大小和相应的置信区间分别为0.036 (95% CI: -0.005至0.078)和-0.084 (95% CI: -0.142至-0.027)。结论:CRP与TCV呈非线性关系,当CRP水平超过88.28 mg/L时呈负相关。
本文章由计算机程序翻译,如有差异,请以英文原文为准。
求助全文
约1分钟内获得全文 求助全文
来源期刊
Infection and Drug Resistance
Infection and Drug Resistance Medicine-Pharmacology (medical)
CiteScore
5.60
自引率
7.70%
发文量
826
审稿时长
16 weeks
期刊介绍: About Journal Editors Peer Reviewers Articles Article Publishing Charges Aims and Scope Call For Papers ISSN: 1178-6973 Editor-in-Chief: Professor Suresh Antony An international, peer-reviewed, open access journal that focuses on the optimal treatment of infection (bacterial, fungal and viral) and the development and institution of preventative strategies to minimize the development and spread of resistance.
×
引用
GB/T 7714-2015
复制
MLA
复制
APA
复制
导出至
BibTeX EndNote RefMan NoteFirst NoteExpress
×
提示
您的信息不完整,为了账户安全,请先补充。
现在去补充
×
提示
您因"违规操作"
具体请查看互助需知
我知道了
×
提示
确定
请完成安全验证×
copy
已复制链接
快去分享给好友吧!
我知道了
右上角分享
点击右上角分享
0
联系我们:info@booksci.cn Book学术提供免费学术资源搜索服务,方便国内外学者检索中英文文献。致力于提供最便捷和优质的服务体验。 Copyright © 2023 布克学术 All rights reserved.
京ICP备2023020795号-1
ghs 京公网安备 11010802042870号
Book学术文献互助
Book学术文献互助群
群 号:604180095
Book学术官方微信