Establishment and Validation of a Predictive Nomogram Model for Osteoporosis in Postmenopausal Women with Type 2 Diabetes Mellitus: A Retrospective Study.

IF 3 3区 医学 Q3 ENDOCRINOLOGY & METABOLISM
Jing-Jing Wang, Jie Hu, Yi-Fan Xu, Wu Dai, Jun-Cang Wu, Yong-Hong Cao
{"title":"Establishment and Validation of a Predictive Nomogram Model for Osteoporosis in Postmenopausal Women with Type 2 Diabetes Mellitus: A Retrospective Study.","authors":"Jing-Jing Wang, Jie Hu, Yi-Fan Xu, Wu Dai, Jun-Cang Wu, Yong-Hong Cao","doi":"10.2147/DMSO.S524654","DOIUrl":null,"url":null,"abstract":"<p><strong>Aim: </strong>To investigate the correlation between blood biomarkers and blood glucose fluctuations with the risk of osteoporosis (OP) in postmenopausal women with type 2 diabetes mellitus (T2DM), and to construct a predictive nomogram for OP.</p><p><strong>Methods: </strong>Based on bone mineral density (BMD) results from dual-energy X-ray absorptiometry (DXA), participants were divided into OP (BMD T-value ≤ -2.5 SD) and Non-OP (BMD T-value > -2.5 SD) groups. Logistic analysis were used to explore the potential risk factors, following by the construction of a nomogram to predict the risk of OP. The discrimination and calibration of the nomogram were evaluated using concordance index (C-index), area under curve (AUC), and calibration curves.</p><p><strong>Results: </strong>We finally included 381 participants, with 147 in the OP group. Correlation analysis revealed a significant positive correlation between age and SII, and a negative correlation between BMI and CV. SII and CV demonstrated a positive dose-response relationship with OP, while FT3 exhibited a negative relationship. Multivariate logistic analysis showed that age (OR=1.088, 95% CI 1.052-1.125, P<0.001), BMI (OR=0.772, 95% CI 0.702-0.848, P<0.001), SII (OR=1.004, 95% CI 1.003-1.005, P<0.001), FT3 (OR=0.529, 95% CI 0.280-0.998, P=0.049), and CV (OR=1.051, 95% CI 1.007-1.097, P=0.022) were independent risk factors. The subgroup analysis showed the correlation between SII and OP occurred primarily in individuals aged ≥60 years. A predictive nomogram model was constructed based on age, BMI, SII, FT3, and CV, with a C-index of 0.842 (range 0.801-0.883). Decision Curve Analysis (DCA) demonstrated good clinical fit of the model.</p><p><strong>Conclusion: </strong>SII can predict the OP occurrence in women aged ≥60 years, while FT3 is applicable for predicting OP in women aged ≥70 years and those with a BMI <24 kg/m². The predictive nomogram demonstrated great predictive value in postmenopausal women with T2DM.</p>","PeriodicalId":11116,"journal":{"name":"Diabetes, Metabolic Syndrome and Obesity: Targets and Therapy","volume":"18 ","pages":"3363-3373"},"PeriodicalIF":3.0000,"publicationDate":"2025-09-09","publicationTypes":"Journal Article","fieldsOfStudy":null,"isOpenAccess":false,"openAccessPdf":"https://www.ncbi.nlm.nih.gov/pmc/articles/PMC12433205/pdf/","citationCount":"0","resultStr":null,"platform":"Semanticscholar","paperid":null,"PeriodicalName":"Diabetes, Metabolic Syndrome and Obesity: Targets and Therapy","FirstCategoryId":"3","ListUrlMain":"https://doi.org/10.2147/DMSO.S524654","RegionNum":3,"RegionCategory":"医学","ArticlePicture":[],"TitleCN":null,"AbstractTextCN":null,"PMCID":null,"EPubDate":"2025/1/1 0:00:00","PubModel":"eCollection","JCR":"Q3","JCRName":"ENDOCRINOLOGY & METABOLISM","Score":null,"Total":0}
引用次数: 0

Abstract

Aim: To investigate the correlation between blood biomarkers and blood glucose fluctuations with the risk of osteoporosis (OP) in postmenopausal women with type 2 diabetes mellitus (T2DM), and to construct a predictive nomogram for OP.

Methods: Based on bone mineral density (BMD) results from dual-energy X-ray absorptiometry (DXA), participants were divided into OP (BMD T-value ≤ -2.5 SD) and Non-OP (BMD T-value > -2.5 SD) groups. Logistic analysis were used to explore the potential risk factors, following by the construction of a nomogram to predict the risk of OP. The discrimination and calibration of the nomogram were evaluated using concordance index (C-index), area under curve (AUC), and calibration curves.

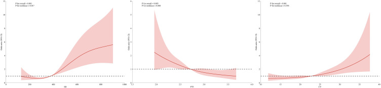
Results: We finally included 381 participants, with 147 in the OP group. Correlation analysis revealed a significant positive correlation between age and SII, and a negative correlation between BMI and CV. SII and CV demonstrated a positive dose-response relationship with OP, while FT3 exhibited a negative relationship. Multivariate logistic analysis showed that age (OR=1.088, 95% CI 1.052-1.125, P<0.001), BMI (OR=0.772, 95% CI 0.702-0.848, P<0.001), SII (OR=1.004, 95% CI 1.003-1.005, P<0.001), FT3 (OR=0.529, 95% CI 0.280-0.998, P=0.049), and CV (OR=1.051, 95% CI 1.007-1.097, P=0.022) were independent risk factors. The subgroup analysis showed the correlation between SII and OP occurred primarily in individuals aged ≥60 years. A predictive nomogram model was constructed based on age, BMI, SII, FT3, and CV, with a C-index of 0.842 (range 0.801-0.883). Decision Curve Analysis (DCA) demonstrated good clinical fit of the model.

Conclusion: SII can predict the OP occurrence in women aged ≥60 years, while FT3 is applicable for predicting OP in women aged ≥70 years and those with a BMI <24 kg/m². The predictive nomogram demonstrated great predictive value in postmenopausal women with T2DM.

Abstract Image

Abstract Image

Abstract Image

绝经后2型糖尿病妇女骨质疏松预测模型的建立与验证:一项回顾性研究。
目的:探讨绝经后2型糖尿病(T2DM)妇女血液生物标志物及血糖波动与骨质疏松(OP)风险的相关性,并构建骨质疏松(OP)的预测nomogram。方法:根据双能x线骨密度(BMD)测定结果,将受试者分为OP组(骨密度t值≤-2.5 SD)和Non-OP组(骨密度t值> -2.5 SD)。采用Logistic分析方法探讨潜在危险因素,构建预测op风险的nomogram。采用一致性指数(C-index)、曲线下面积(AUC)和校正曲线对nomogram进行判别和校正。结果:我们最终纳入381例受试者,其中OP组147例。相关分析显示年龄与SII呈显著正相关,BMI与CV呈显著负相关。SII和CV与OP呈正相关,FT3呈负相关。多因素logistic分析显示年龄(OR=1.088, 95% CI 1.052 ~ 1.125)。结论:SII可预测≥60岁女性OP的发生,FT3适用于预测≥70岁及有BMI的女性OP的发生
本文章由计算机程序翻译,如有差异,请以英文原文为准。
求助全文
约1分钟内获得全文 求助全文
来源期刊
Diabetes, Metabolic Syndrome and Obesity: Targets and Therapy
Diabetes, Metabolic Syndrome and Obesity: Targets and Therapy Pharmacology, Toxicology and Pharmaceutics-Pharmacology
CiteScore
5.90
自引率
6.10%
发文量
431
审稿时长
16 weeks
期刊介绍: An international, peer-reviewed, open access, online journal. The journal is committed to the rapid publication of the latest laboratory and clinical findings in the fields of diabetes, metabolic syndrome and obesity research. Original research, review, case reports, hypothesis formation, expert opinion and commentaries are all considered for publication.
×
引用
GB/T 7714-2015
复制
MLA
复制
APA
复制
导出至
BibTeX EndNote RefMan NoteFirst NoteExpress
×
提示
您的信息不完整,为了账户安全,请先补充。
现在去补充
×
提示
您因"违规操作"
具体请查看互助需知
我知道了
×
提示
确定
请完成安全验证×
copy
已复制链接
快去分享给好友吧!
我知道了
右上角分享
点击右上角分享
0
联系我们:info@booksci.cn Book学术提供免费学术资源搜索服务,方便国内外学者检索中英文文献。致力于提供最便捷和优质的服务体验。 Copyright © 2023 布克学术 All rights reserved.
京ICP备2023020795号-1
ghs 京公网安备 11010802042870号
Book学术文献互助
Book学术文献互助群
群 号:604180095
Book学术官方微信