Hypertension and BMI as Mediators of Type 2 Diabetes-Induced CKD: Insights from an Integrative Multi-Database Study.

IF 3 3区 医学 Q3 ENDOCRINOLOGY & METABOLISM
Heng Wang, Keyi Fan, Yijie Ning, Yaling Li, Xiaotong Qi, Ziyan Wang, Keyang Xu, Ruijing Zhang, Yun Zhou, Honglin Dong, Guoping Zheng
{"title":"Hypertension and BMI as Mediators of Type 2 Diabetes-Induced CKD: Insights from an Integrative Multi-Database Study.","authors":"Heng Wang, Keyi Fan, Yijie Ning, Yaling Li, Xiaotong Qi, Ziyan Wang, Keyang Xu, Ruijing Zhang, Yun Zhou, Honglin Dong, Guoping Zheng","doi":"10.2147/DMSO.S538554","DOIUrl":null,"url":null,"abstract":"<p><strong>Background: </strong>Chronic kidney disease is a major global health concern, with type 2 diabetic nephropathy (T2DN) significantly contributing to its burden. This study examines global trends, key risk factors, and clinical characteristics of T2DN to identify modifiable contributors and inform precision management.</p><p><strong>Methods: </strong>Data from the 2021 GBD Study, Mendelian randomization (MR) analyses, NHANES, and a clinical cohort were utilized. Trends in prevalence, incidence, mortality, disability-adjusted life years (DALYs), and population-attributable fractions (PAF) of T2DN risk factors were analyzed globally and across sociodemographic strata. Genetic determinants were identified via two-sample and multivariable MR, while clinical data were analyzed using regression and correlation analyses.</p><p><strong>Results: </strong>Between 1990 and 2021, T2DN prevalence, incidence, and DALYs increased globally, and the global mortality rate rose from 5.73 (4.81, 6.83) to 10.25 (8.62, 12.15). High fasting plasma glucose was the primary risk factor, with rising PAFs for high BMI and systolic blood pressure (SBP), and the global PAF for deaths due to T2DN attributed to high fasting plasma glucose increased from 0.80 to 0.90. MR analysis confirmed causal links between fasting glucose (β = 1.351, <i>P</i> = 2.78e-4), insulin (β = 2.543, <i>P</i> = 1.20e-5), T2DM (OR = 2.280, <i>P</i> = 4.14e-29) and T2DN risk, with BMI and SBP influencing disease progression. NHANES data showed BP's impact on renal function. A diagnostic model incorporating age, categorical blood pressure data, history of heart failure, and history of stroke was developed, with an AUC of 0.716. In the clinical cohort, T2DN correlated with elevated urinary albumin-to-creatinine ratio, serum creatinine, BP, and BMI variations.</p><p><strong>Conclusion: </strong>T2DM progression to T2DN is driven by hyperglycemia, BMI, and BP, highlighting the need for targeted interventions.</p>","PeriodicalId":11116,"journal":{"name":"Diabetes, Metabolic Syndrome and Obesity: Targets and Therapy","volume":"18 ","pages":"3343-3361"},"PeriodicalIF":3.0000,"publicationDate":"2025-09-09","publicationTypes":"Journal Article","fieldsOfStudy":null,"isOpenAccess":false,"openAccessPdf":"https://www.ncbi.nlm.nih.gov/pmc/articles/PMC12433225/pdf/","citationCount":"0","resultStr":null,"platform":"Semanticscholar","paperid":null,"PeriodicalName":"Diabetes, Metabolic Syndrome and Obesity: Targets and Therapy","FirstCategoryId":"3","ListUrlMain":"https://doi.org/10.2147/DMSO.S538554","RegionNum":3,"RegionCategory":"医学","ArticlePicture":[],"TitleCN":null,"AbstractTextCN":null,"PMCID":null,"EPubDate":"2025/1/1 0:00:00","PubModel":"eCollection","JCR":"Q3","JCRName":"ENDOCRINOLOGY & METABOLISM","Score":null,"Total":0}
引用次数: 0

Abstract

Background: Chronic kidney disease is a major global health concern, with type 2 diabetic nephropathy (T2DN) significantly contributing to its burden. This study examines global trends, key risk factors, and clinical characteristics of T2DN to identify modifiable contributors and inform precision management.

Methods: Data from the 2021 GBD Study, Mendelian randomization (MR) analyses, NHANES, and a clinical cohort were utilized. Trends in prevalence, incidence, mortality, disability-adjusted life years (DALYs), and population-attributable fractions (PAF) of T2DN risk factors were analyzed globally and across sociodemographic strata. Genetic determinants were identified via two-sample and multivariable MR, while clinical data were analyzed using regression and correlation analyses.

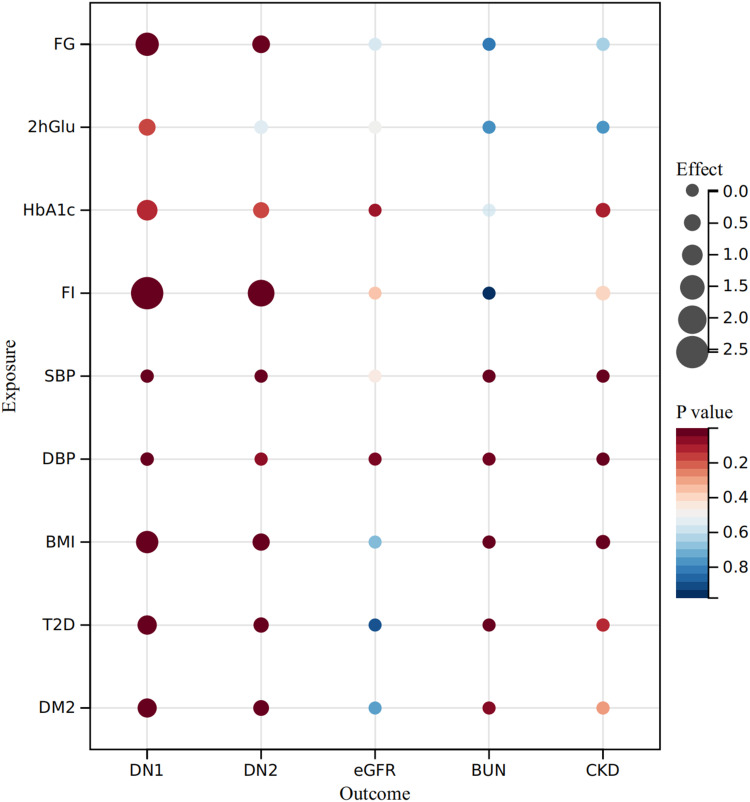
Results: Between 1990 and 2021, T2DN prevalence, incidence, and DALYs increased globally, and the global mortality rate rose from 5.73 (4.81, 6.83) to 10.25 (8.62, 12.15). High fasting plasma glucose was the primary risk factor, with rising PAFs for high BMI and systolic blood pressure (SBP), and the global PAF for deaths due to T2DN attributed to high fasting plasma glucose increased from 0.80 to 0.90. MR analysis confirmed causal links between fasting glucose (β = 1.351, P = 2.78e-4), insulin (β = 2.543, P = 1.20e-5), T2DM (OR = 2.280, P = 4.14e-29) and T2DN risk, with BMI and SBP influencing disease progression. NHANES data showed BP's impact on renal function. A diagnostic model incorporating age, categorical blood pressure data, history of heart failure, and history of stroke was developed, with an AUC of 0.716. In the clinical cohort, T2DN correlated with elevated urinary albumin-to-creatinine ratio, serum creatinine, BP, and BMI variations.

Conclusion: T2DM progression to T2DN is driven by hyperglycemia, BMI, and BP, highlighting the need for targeted interventions.

Abstract Image

Abstract Image

Abstract Image

高血压和BMI作为2型糖尿病诱导的CKD的介质:来自一项综合多数据库研究的见解
背景:慢性肾脏疾病是一个主要的全球健康问题,2型糖尿病肾病(T2DN)是其负担的重要因素。本研究考察了T2DN的全球趋势、关键危险因素和临床特征,以确定可改变的因素并为精确管理提供信息。方法:数据来自2021 GBD研究,孟德尔随机化(MR)分析,NHANES和临床队列。分析了T2DN危险因素的患病率、发病率、死亡率、残疾调整生命年(DALYs)和人口归因分数(PAF)的趋势。通过双样本和多变量MR确定遗传决定因素,同时使用回归和相关分析分析临床数据。结果:1990 - 2021年间,全球T2DN患病率、发病率和DALYs均呈上升趋势,全球死亡率从5.73(4.81,6.83)上升至10.25(8.62,12.15)。高空腹血糖是主要的危险因素,高BMI和收缩压(SBP)导致的PAF升高,高空腹血糖导致的T2DN死亡的全球PAF从0.80增加到0.90。MR分析证实空腹血糖(β = 1.351, P = 2.78e-4)、胰岛素(β = 2.543, P = 1.20e-5)、T2DM (OR = 2.280, P = 4.14e-29)和T2DN风险之间存在因果关系,BMI和收血压影响疾病进展。NHANES数据显示血压对肾功能的影响。建立了一个包含年龄、分类血压数据、心力衰竭史和中风史的诊断模型,AUC为0.716。在临床队列中,T2DN与尿白蛋白与肌酐比值升高、血清肌酐升高、血压升高和BMI变化相关。结论:T2DM进展为T2DN是由高血糖、BMI和BP驱动的,强调了有针对性干预的必要性。
本文章由计算机程序翻译,如有差异,请以英文原文为准。
求助全文
约1分钟内获得全文 求助全文
来源期刊
Diabetes, Metabolic Syndrome and Obesity: Targets and Therapy
Diabetes, Metabolic Syndrome and Obesity: Targets and Therapy Pharmacology, Toxicology and Pharmaceutics-Pharmacology
CiteScore
5.90
自引率
6.10%
发文量
431
审稿时长
16 weeks
期刊介绍: An international, peer-reviewed, open access, online journal. The journal is committed to the rapid publication of the latest laboratory and clinical findings in the fields of diabetes, metabolic syndrome and obesity research. Original research, review, case reports, hypothesis formation, expert opinion and commentaries are all considered for publication.
×
引用
GB/T 7714-2015
复制
MLA
复制
APA
复制
导出至
BibTeX EndNote RefMan NoteFirst NoteExpress
×
提示
您的信息不完整,为了账户安全,请先补充。
现在去补充
×
提示
您因"违规操作"
具体请查看互助需知
我知道了
×
提示
确定
请完成安全验证×
copy
已复制链接
快去分享给好友吧!
我知道了
右上角分享
点击右上角分享
0
联系我们:info@booksci.cn Book学术提供免费学术资源搜索服务,方便国内外学者检索中英文文献。致力于提供最便捷和优质的服务体验。 Copyright © 2023 布克学术 All rights reserved.
京ICP备2023020795号-1
ghs 京公网安备 11010802042870号
Book学术文献互助
Book学术文献互助群
群 号:604180095
Book学术官方微信