Effects of elevated nutrient supply on litter decomposition are robust to impacts of mammalian herbivores across diverse grasslands.

IF 2.3 2区 环境科学与生态学 Q2 ECOLOGY
Adrienne B Keller, Elizabeth T Borer, Christopher R Buyarski, Elsa E Cleland, Allison Gill, Andrew S MacDougall, Joslin L Moore, John W Morgan, Rebecca L McCulley, Anita C Risch, Eric W Seabloom, Justin Wright, Sarah E Hobbie
{"title":"Effects of elevated nutrient supply on litter decomposition are robust to impacts of mammalian herbivores across diverse grasslands.","authors":"Adrienne B Keller, Elizabeth T Borer, Christopher R Buyarski, Elsa E Cleland, Allison Gill, Andrew S MacDougall, Joslin L Moore, John W Morgan, Rebecca L McCulley, Anita C Risch, Eric W Seabloom, Justin Wright, Sarah E Hobbie","doi":"10.1007/s00442-025-05791-4","DOIUrl":null,"url":null,"abstract":"<p><p>Litter decomposition is one of the largest carbon (C) fluxes in terrestrial ecosystems and links aboveground biomass to soil C pools. In grasslands, decomposition drivers have received substantial attention but the role of grassland herbivores in influencing decay rates is often ignored despite their potentially large effects on standing biomass and nutrient cycling. Recent work has demonstrated that nutrient addition increases early-stage decay and suppresses late-stage decay. Mammalian herbivores can mediate the effects of nutrient supply on biomass, suggesting herbivores may alter the effects of nutrients on decomposition, though this is largely unknown. We examined how herbivory mediates the effects of nutrient supply on long-term decomposition across 19 grassland sites of the Nutrient Network distributed experiment. At each site, a full-factorial experiment of combined nitrogen (N), phosphorus (P), and micronutrient (K) enrichment ('control' or ' + NPK') and mammalian herbivore (> ~ 50 g) exclusion ('unfenced' or 'fenced') was carried out in a randomized block design. We hypothesized that nutrient effects on litter decomposition would be strongest where herbivores caused the greatest reductions in aboveground plant biomass (i.e., at sites with more intense herbivory). After accounting for wide variation in decomposition rates across sites, we found that, within sites, elevated nutrients increased early-stage decay and suppressed late-stage decay. In contrast, neither herbivore exclusion (i.e., fencing) nor site level changes in aboveground biomass due to herbivory altered the nutrient effects on decomposition rates. Across grasslands, our results indicate that elevated nutrient supply modifies litter decomposition rates independent of herbivore impacts.</p>","PeriodicalId":19473,"journal":{"name":"Oecologia","volume":"207 10","pages":"157"},"PeriodicalIF":2.3000,"publicationDate":"2025-09-13","publicationTypes":"Journal Article","fieldsOfStudy":null,"isOpenAccess":false,"openAccessPdf":"https://www.ncbi.nlm.nih.gov/pmc/articles/PMC12433350/pdf/","citationCount":"0","resultStr":null,"platform":"Semanticscholar","paperid":null,"PeriodicalName":"Oecologia","FirstCategoryId":"93","ListUrlMain":"https://doi.org/10.1007/s00442-025-05791-4","RegionNum":2,"RegionCategory":"环境科学与生态学","ArticlePicture":[],"TitleCN":null,"AbstractTextCN":null,"PMCID":null,"EPubDate":"","PubModel":"","JCR":"Q2","JCRName":"ECOLOGY","Score":null,"Total":0}
引用次数: 0

Abstract

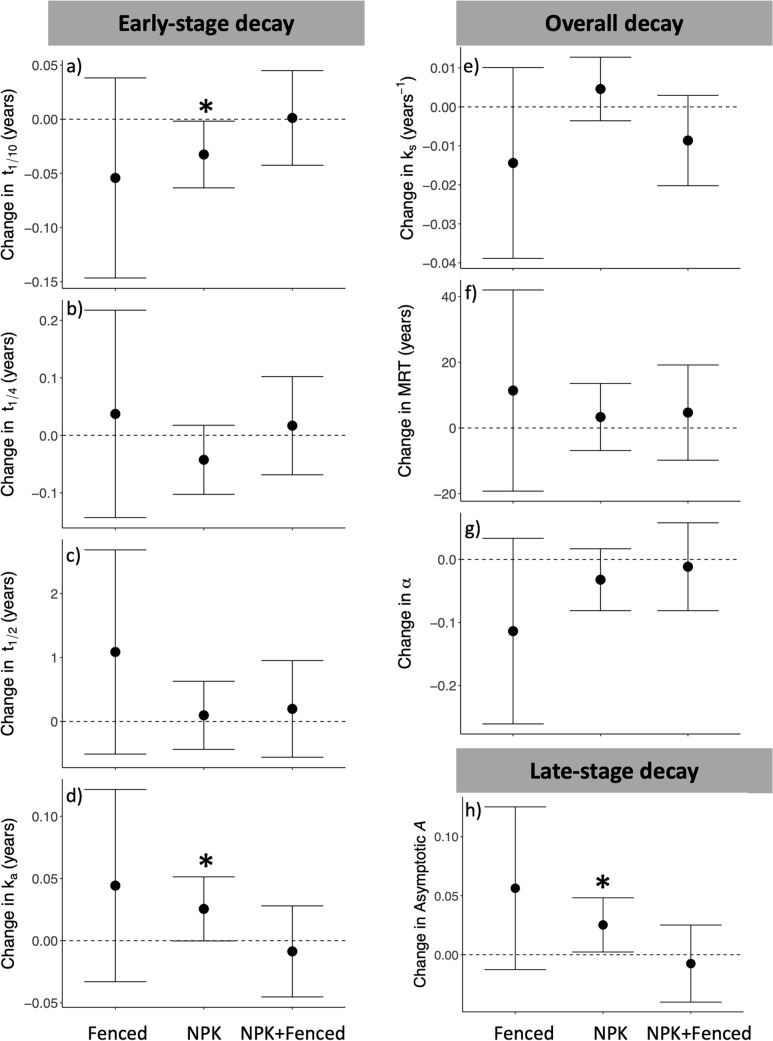
Litter decomposition is one of the largest carbon (C) fluxes in terrestrial ecosystems and links aboveground biomass to soil C pools. In grasslands, decomposition drivers have received substantial attention but the role of grassland herbivores in influencing decay rates is often ignored despite their potentially large effects on standing biomass and nutrient cycling. Recent work has demonstrated that nutrient addition increases early-stage decay and suppresses late-stage decay. Mammalian herbivores can mediate the effects of nutrient supply on biomass, suggesting herbivores may alter the effects of nutrients on decomposition, though this is largely unknown. We examined how herbivory mediates the effects of nutrient supply on long-term decomposition across 19 grassland sites of the Nutrient Network distributed experiment. At each site, a full-factorial experiment of combined nitrogen (N), phosphorus (P), and micronutrient (K) enrichment ('control' or ' + NPK') and mammalian herbivore (> ~ 50 g) exclusion ('unfenced' or 'fenced') was carried out in a randomized block design. We hypothesized that nutrient effects on litter decomposition would be strongest where herbivores caused the greatest reductions in aboveground plant biomass (i.e., at sites with more intense herbivory). After accounting for wide variation in decomposition rates across sites, we found that, within sites, elevated nutrients increased early-stage decay and suppressed late-stage decay. In contrast, neither herbivore exclusion (i.e., fencing) nor site level changes in aboveground biomass due to herbivory altered the nutrient effects on decomposition rates. Across grasslands, our results indicate that elevated nutrient supply modifies litter decomposition rates independent of herbivore impacts.

Abstract Image

Abstract Image

Abstract Image

在不同草原上,养分供给增加对凋落物分解的影响对哺乳动物和食草动物的影响是显著的。
凋落物分解是陆地生态系统中最大的碳(C)通量之一,并将地上生物量与土壤C库联系起来。在草原中,分解驱动因素已经得到了大量的关注,但草地食草动物在影响腐烂率方面的作用往往被忽视,尽管它们对直立生物量和养分循环有潜在的巨大影响。最近的研究表明,添加营养物质会增加早期腐烂,抑制后期腐烂。哺乳动物食草动物可以调节养分供应对生物量的影响,这表明食草动物可能会改变养分对分解的影响,尽管这在很大程度上是未知的。在19个草地养分网络分布试验中,研究了草食如何调节养分供应对长期分解的影响。在每个试验点,采用随机区组设计,进行氮(N)、磷(P)和微量元素(K)联合富集(“对照”或“+ NPK”)和哺乳草食动物(> ~ 50 g)排除(“非围栏”或“围栏”)的全因子试验。我们假设,在草食动物导致地上植物生物量减少最多的地方(即草食更强烈的地方),营养物质对凋落物分解的影响最强。在考虑了不同地点分解率的广泛差异后,我们发现,在地点内,增加的养分增加了早期腐烂,抑制了后期腐烂。相比之下,排除草食动物(即围栏)和草食导致的地上生物量的立地水平变化都没有改变养分对分解速率的影响。在整个草原上,我们的研究结果表明,营养供应的增加改变了凋落物分解速率,而不受食草动物的影响。
本文章由计算机程序翻译,如有差异,请以英文原文为准。
求助全文
约1分钟内获得全文 求助全文
来源期刊
Oecologia
Oecologia 环境科学-生态学
CiteScore
5.10
自引率
0.00%
发文量
192
审稿时长
5.3 months
期刊介绍: Oecologia publishes innovative ecological research of international interest. We seek reviews, advances in methodology, and original contributions, emphasizing the following areas: Population ecology, Plant-microbe-animal interactions, Ecosystem ecology, Community ecology, Global change ecology, Conservation ecology, Behavioral ecology and Physiological Ecology. In general, studies that are purely descriptive, mathematical, documentary, and/or natural history will not be considered.
×
引用
GB/T 7714-2015
复制
MLA
复制
APA
复制
导出至
BibTeX EndNote RefMan NoteFirst NoteExpress
×
提示
您的信息不完整,为了账户安全,请先补充。
现在去补充
×
提示
您因"违规操作"
具体请查看互助需知
我知道了
×
提示
确定
请完成安全验证×
copy
已复制链接
快去分享给好友吧!
我知道了
右上角分享
点击右上角分享
0
联系我们:info@booksci.cn Book学术提供免费学术资源搜索服务,方便国内外学者检索中英文文献。致力于提供最便捷和优质的服务体验。 Copyright © 2023 布克学术 All rights reserved.
京ICP备2023020795号-1
ghs 京公网安备 11010802042870号
Book学术文献互助
Book学术文献互助群
群 号:604180095
Book学术官方微信