Trends and determinants of the triple burden of malnutrition in Ghana; Analyses of two decades of demographic and health survey datasets.

IF 2.5
PLOS global public health Pub Date : 2025-09-12 eCollection Date: 2025-01-01 DOI:10.1371/journal.pgph.0005078
Hammond Yaw Addae, Rafatu Tahiru, Afizu Alhassan, Abdul-Ganiyu Fuseini, Mohammed Iddrisu, Wilhelmina Mensah, Fusta Azupogo, Martin Nyaaba Adokiya
{"title":"Trends and determinants of the triple burden of malnutrition in Ghana; Analyses of two decades of demographic and health survey datasets.","authors":"Hammond Yaw Addae, Rafatu Tahiru, Afizu Alhassan, Abdul-Ganiyu Fuseini, Mohammed Iddrisu, Wilhelmina Mensah, Fusta Azupogo, Martin Nyaaba Adokiya","doi":"10.1371/journal.pgph.0005078","DOIUrl":null,"url":null,"abstract":"<p><p>Anaemia, undernutrition and obesity remain complex public health challenges. Their coexistence among households, commonly known as the triple burden of malnutrition (TBM) is a new concept that lacks scholarship within the maternal and child nutrition discourse in Ghana. This study therefore aimed to evaluate the trends and factors associated with TBM among mothers and their children aged 0-59 months in Ghana. This study combined and analysed datasets from the Ghana Demographic and Health Survey from 2003 to 2022. Prevalence and multivariable logistic regression were used to evaluate the trends and determinants of TBM among 11,925 mother-child pairs using complex sample procedures. The pooled prevalence of TBM was 6.7% (5.7 - 6.7). This reduced from 7.6% (6.6 - 8.7) in 2003 to 5.0% (4.1-6.2) in 2022. Male children [AOR 2.23, 95% CI:1.33 - 3.74, p = 0.002] were more likely to suffer TBM than female children. Large birth size [AOR 0.30, 95% CI: 0.17 - 0.54, p < 0.001] and breastfed children [AOR 0.13, 95% CI:0.05 - 0.34, p < 0.001] were less likely to suffer TBM. Women with no education [AOR 5.14, 95% CI:1.16 - 22.75, p < 0.031] and those with inadequate dietary diversity [AOR 2.53, 95% CI:1.50 - 4.26, p < 0.001] were more likely to suffer TBM. Also, high-wealth [AOR 0.13, 95% CI:0.05 - 0.33, p < 0.001] and rural households [AOR 0.34, 95% CI: 0.05 - 0.33, p < 0.001] were less likely to suffer TBM. Although the prevalence of TBM reduced over the past two decades, the pooled estimate remains high in Ghana. The associated factors include breastfeeding, childbirth size, maternal education, dietary diversity, wealth and urbanicity. Strategies that promote breastfeeding, improve dietary diversity and ensure equitable distribution of resources are urgently needed to mitigate the TBM.</p>","PeriodicalId":74466,"journal":{"name":"PLOS global public health","volume":"5 9","pages":"e0005078"},"PeriodicalIF":2.5000,"publicationDate":"2025-09-12","publicationTypes":"Journal Article","fieldsOfStudy":null,"isOpenAccess":false,"openAccessPdf":"https://www.ncbi.nlm.nih.gov/pmc/articles/PMC12431433/pdf/","citationCount":"0","resultStr":null,"platform":"Semanticscholar","paperid":null,"PeriodicalName":"PLOS global public health","FirstCategoryId":"1085","ListUrlMain":"https://doi.org/10.1371/journal.pgph.0005078","RegionNum":0,"RegionCategory":null,"ArticlePicture":[],"TitleCN":null,"AbstractTextCN":null,"PMCID":null,"EPubDate":"2025/1/1 0:00:00","PubModel":"eCollection","JCR":"","JCRName":"","Score":null,"Total":0}
引用次数: 0

Abstract

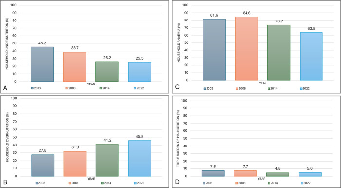
Anaemia, undernutrition and obesity remain complex public health challenges. Their coexistence among households, commonly known as the triple burden of malnutrition (TBM) is a new concept that lacks scholarship within the maternal and child nutrition discourse in Ghana. This study therefore aimed to evaluate the trends and factors associated with TBM among mothers and their children aged 0-59 months in Ghana. This study combined and analysed datasets from the Ghana Demographic and Health Survey from 2003 to 2022. Prevalence and multivariable logistic regression were used to evaluate the trends and determinants of TBM among 11,925 mother-child pairs using complex sample procedures. The pooled prevalence of TBM was 6.7% (5.7 - 6.7). This reduced from 7.6% (6.6 - 8.7) in 2003 to 5.0% (4.1-6.2) in 2022. Male children [AOR 2.23, 95% CI:1.33 - 3.74, p = 0.002] were more likely to suffer TBM than female children. Large birth size [AOR 0.30, 95% CI: 0.17 - 0.54, p < 0.001] and breastfed children [AOR 0.13, 95% CI:0.05 - 0.34, p < 0.001] were less likely to suffer TBM. Women with no education [AOR 5.14, 95% CI:1.16 - 22.75, p < 0.031] and those with inadequate dietary diversity [AOR 2.53, 95% CI:1.50 - 4.26, p < 0.001] were more likely to suffer TBM. Also, high-wealth [AOR 0.13, 95% CI:0.05 - 0.33, p < 0.001] and rural households [AOR 0.34, 95% CI: 0.05 - 0.33, p < 0.001] were less likely to suffer TBM. Although the prevalence of TBM reduced over the past two decades, the pooled estimate remains high in Ghana. The associated factors include breastfeeding, childbirth size, maternal education, dietary diversity, wealth and urbanicity. Strategies that promote breastfeeding, improve dietary diversity and ensure equitable distribution of resources are urgently needed to mitigate the TBM.

Abstract Image

Abstract Image

Abstract Image

加纳营养不良三重负担的趋势和决定因素;二十年人口和健康调查数据集分析。
贫血、营养不良和肥胖仍然是复杂的公共卫生挑战。它们在家庭中共存,通常被称为营养不良的三重负担(TBM),这是一个在加纳妇幼营养论述中缺乏学术研究的新概念。因此,本研究旨在评估加纳0-59个月的母亲及其子女患TBM的趋势和相关因素。这项研究结合并分析了2003年至2022年加纳人口与健康调查的数据集。采用复杂样本程序,采用患病率和多变量logistic回归对11,925对母子进行TBM趋势和决定因素的评估。TBM的总患病率为6.7%(5.7 ~ 6.7)。这一比率从2003年的7.6%(6.6 ~ 8.7)下降到2022年的5.0%(4.1 ~ 6.2)。男性儿童[AOR 2.23, 95% CI:1.33 ~ 3.74, p = 0.002]比女性儿童更易患TBM。出生量大[AOR: 0.30, 95% CI: 0.17 ~ 0.54, p
本文章由计算机程序翻译,如有差异,请以英文原文为准。
求助全文
约1分钟内获得全文 求助全文
来源期刊
自引率
0.00%
发文量
0
×
引用
GB/T 7714-2015
复制
MLA
复制
APA
复制
导出至
BibTeX EndNote RefMan NoteFirst NoteExpress
×
提示
您的信息不完整,为了账户安全,请先补充。
现在去补充
×
提示
您因"违规操作"
具体请查看互助需知
我知道了
×
提示
确定
请完成安全验证×
copy
已复制链接
快去分享给好友吧!
我知道了
右上角分享
点击右上角分享
0
联系我们:info@booksci.cn Book学术提供免费学术资源搜索服务,方便国内外学者检索中英文文献。致力于提供最便捷和优质的服务体验。 Copyright © 2023 布克学术 All rights reserved.
京ICP备2023020795号-1
ghs 京公网安备 11010802042870号
Book学术文献互助
Book学术文献互助群
群 号:604180095
Book学术官方微信