Sleep restriction impairs item memory discrimination but not general recognition in young adolescents.

Jared M Saletin, Sinéad M Moyles, Victoria O Dionisos, Taylor G Christiansen, Claire Mayew Sherman, Gina M Mason, Silvia A Bunge, Francisco Xavier Castellanos, Judith Owens, David H Barker, Daniel P Dickstein, Mary A Carskadon
{"title":"Sleep restriction impairs item memory discrimination but not general recognition in young adolescents.","authors":"Jared M Saletin, Sinéad M Moyles, Victoria O Dionisos, Taylor G Christiansen, Claire Mayew Sherman, Gina M Mason, Silvia A Bunge, Francisco Xavier Castellanos, Judith Owens, David H Barker, Daniel P Dickstein, Mary A Carskadon","doi":"10.1093/sleepadvances/zpaf038","DOIUrl":null,"url":null,"abstract":"<p><strong>Study objectives: </strong>The impact of sleep loss on memory encoding is well described in adults, yet less understood in youth, despite the prevalence and educational relevance of adolescent sleep loss. Here, we implement at-home sleep restriction in youth ages 10-14 and a well-validated hippocampus-dependent learning task to elucidate how real-world levels of sleep loss affect distinct memory encoding processes at this young age.</p><p><strong>Methods: </strong>A within-subject cross-over design involved five nights of at-home sleep restriction (7.5 h in bed) compared to sleep optimization (10 h in bed). Restriction was achieved by delaying bedtime and advancing risetime equally. All sleep was monitored with wrist actigraphy, sleep diaries, and daily calls to the laboratory. Testing involved the validated Mnemonic Similarity Task (MST), which can distinguish between two components of successful memory encoding: general memory recognition for old items and \"lure discrimination,\" a hippocampus-dependent ability to distinguish similar yet distinct items.</p><p><strong>Results: </strong>As estimated by actigraphy, our manipulation reduced sleep by 1.4 ± 0.48 h per night for five nights. This reduction resulted in a selective deficit in MST-indexed memory encoding; we observed a decrease in lure discrimination (i.e. the ability to distinguish highly similar items), but no impact on recognition of old items.</p><p><strong>Conclusions: </strong>We present evidence that low levels of sleep loss for five nights (typical of a school week) are sufficient to alter memory encoding in youth. We interpret these data in the context of classroom-based learning and speculate that reduced lure discrimination may yield memory that is less capable of distinguishing closely related facts and concepts.</p>","PeriodicalId":74808,"journal":{"name":"Sleep advances : a journal of the Sleep Research Society","volume":"6 3","pages":"zpaf038"},"PeriodicalIF":0.0000,"publicationDate":"2025-06-13","publicationTypes":"Journal Article","fieldsOfStudy":null,"isOpenAccess":false,"openAccessPdf":"https://www.ncbi.nlm.nih.gov/pmc/articles/PMC12418935/pdf/","citationCount":"0","resultStr":null,"platform":"Semanticscholar","paperid":null,"PeriodicalName":"Sleep advances : a journal of the Sleep Research Society","FirstCategoryId":"1085","ListUrlMain":"https://doi.org/10.1093/sleepadvances/zpaf038","RegionNum":0,"RegionCategory":null,"ArticlePicture":[],"TitleCN":null,"AbstractTextCN":null,"PMCID":null,"EPubDate":"2025/1/1 0:00:00","PubModel":"eCollection","JCR":"","JCRName":"","Score":null,"Total":0}
引用次数: 0

Abstract

Study objectives: The impact of sleep loss on memory encoding is well described in adults, yet less understood in youth, despite the prevalence and educational relevance of adolescent sleep loss. Here, we implement at-home sleep restriction in youth ages 10-14 and a well-validated hippocampus-dependent learning task to elucidate how real-world levels of sleep loss affect distinct memory encoding processes at this young age.

Methods: A within-subject cross-over design involved five nights of at-home sleep restriction (7.5 h in bed) compared to sleep optimization (10 h in bed). Restriction was achieved by delaying bedtime and advancing risetime equally. All sleep was monitored with wrist actigraphy, sleep diaries, and daily calls to the laboratory. Testing involved the validated Mnemonic Similarity Task (MST), which can distinguish between two components of successful memory encoding: general memory recognition for old items and "lure discrimination," a hippocampus-dependent ability to distinguish similar yet distinct items.

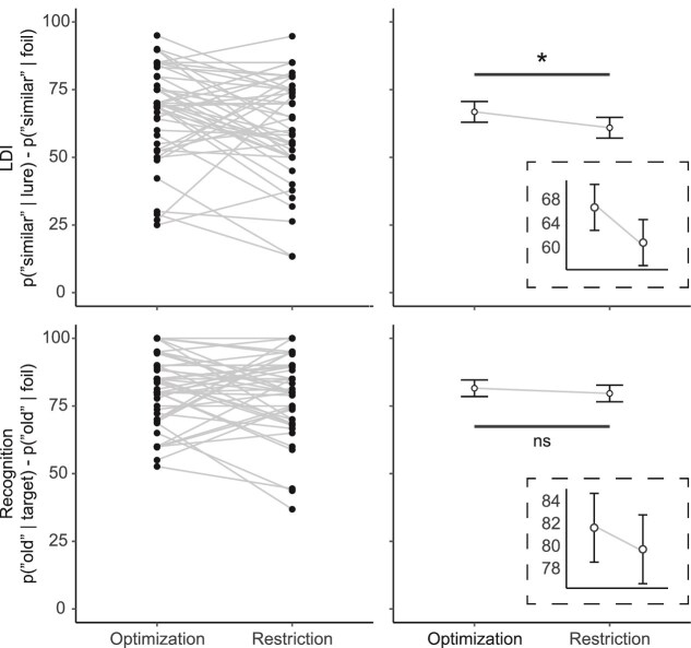
Results: As estimated by actigraphy, our manipulation reduced sleep by 1.4 ± 0.48 h per night for five nights. This reduction resulted in a selective deficit in MST-indexed memory encoding; we observed a decrease in lure discrimination (i.e. the ability to distinguish highly similar items), but no impact on recognition of old items.

Conclusions: We present evidence that low levels of sleep loss for five nights (typical of a school week) are sufficient to alter memory encoding in youth. We interpret these data in the context of classroom-based learning and speculate that reduced lure discrimination may yield memory that is less capable of distinguishing closely related facts and concepts.

Abstract Image

Abstract Image

睡眠限制会损害青少年的项目记忆辨别,但不会损害一般认知。
研究目标:睡眠不足对成人记忆编码的影响已被很好地描述,但对青少年却知之甚少,尽管青少年睡眠不足很普遍,且具有教育意义。在这里,我们在10-14岁的青少年中实施了家庭睡眠限制,并进行了一个经过充分验证的海马体依赖学习任务,以阐明现实世界的睡眠缺失水平如何影响这个年轻年龄的不同记忆编码过程。方法:受试者交叉设计包括5晚在家限制睡眠(7.5小时在床上)与睡眠优化(10小时在床上)。限制是通过延迟就寝时间和提前起床时间来实现的。所有的睡眠都通过腕部活动记录仪、睡眠日记和每天给实验室打电话来监测。测试包括有效的记忆相似性任务(MST),它可以区分成功记忆编码的两个组成部分:对旧物品的一般记忆识别和“诱饵辨别”,一种依赖海马体区分相似但不同物品的能力。结果:根据活动描记术估计,我们的操作使睡眠时间每晚减少1.4±0.48小时,持续5晚。这种减少导致了mst索引记忆编码的选择性缺陷;我们观察到诱饵辨别(即区分高度相似物品的能力)的下降,但对旧物品的识别没有影响。结论:我们提供的证据表明,连续五个晚上(典型的一周上课时间)的低水平睡眠不足足以改变青少年的记忆编码。我们在以课堂为基础的学习背景下解释这些数据,并推测诱饵辨别能力的降低可能会导致记忆中区分密切相关的事实和概念的能力下降。
本文章由计算机程序翻译,如有差异,请以英文原文为准。
求助全文
约1分钟内获得全文 求助全文
来源期刊
CiteScore
2.10
自引率
0.00%
发文量
0
×
引用
GB/T 7714-2015
复制
MLA
复制
APA
复制
导出至
BibTeX EndNote RefMan NoteFirst NoteExpress
×
提示
您的信息不完整,为了账户安全,请先补充。
现在去补充
×
提示
您因"违规操作"
具体请查看互助需知
我知道了
×
提示
确定
请完成安全验证×
copy
已复制链接
快去分享给好友吧!
我知道了
右上角分享
点击右上角分享
0
联系我们:info@booksci.cn Book学术提供免费学术资源搜索服务,方便国内外学者检索中英文文献。致力于提供最便捷和优质的服务体验。 Copyright © 2023 布克学术 All rights reserved.
京ICP备2023020795号-1
ghs 京公网安备 11010802042870号
Book学术文献互助
Book学术文献互助群
群 号:604180095
Book学术官方微信