Correlation of anxiety and depression with mindfulness in esophageal cancer patients undergoing esophagectomy and analysis of risk factors.

IF 3.4 4区 医学 Q1 PSYCHIATRY
Xiong Deng, Yu-Hao Hu, Yong-Jiang Xiong, Ning Mao, Bin Hong, Gang He
{"title":"Correlation of anxiety and depression with mindfulness in esophageal cancer patients undergoing esophagectomy and analysis of risk factors.","authors":"Xiong Deng, Yu-Hao Hu, Yong-Jiang Xiong, Ning Mao, Bin Hong, Gang He","doi":"10.5498/wjp.v15.i9.104813","DOIUrl":null,"url":null,"abstract":"<p><strong>Background: </strong>Anxiety complicates recovery in esophagectomy patients undergoing esophagectomy, while preoperative depressive symptoms may further delay surgery-associated malnutrition resolution, highlighting a critical need for psychological intervention.</p><p><strong>Aim: </strong>To explore the correlation of anxiety and depression with mindfulness levels in patients undergoing esophagectomy for esophageal cancer and analyze associated risk factors.</p><p><strong>Methods: </strong>A total of 120 patients with esophageal cancer, all of whom underwent esophagectomy in The Affiliated Yongchuan Hospital of Chongqing Medical University between September 2022 and September 2024, were enrolled. The hospital anxiety and depression scale (HADS) was utilized to evaluate the anxiety (HADS-anxiety subscale, HADS-A) and depression (HADS-depression subscale, HADS-D) levels of these patients, and the Mindful Attention Awareness Scale (MAAS) was employed to assess their mindfulness levels. The relationships among anxiety, depression, and mindfulness levels were analyzed, and both univariate and multivariate analyses were conducted to identify the risk factors for anxiety and depression in these patients.</p><p><strong>Results: </strong>Data revealed that the mean HADS-A score of patients undergoing esophagectomy was (10.43 ± 4.24) points, and 40.00%, 35.00%, and 10.83% of the patients had mild, moderate, and severe anxiety, respectively. The mean HADS-D score was (9.20 ± 4.66) points, and 37.50%, 23.33%, and 9.17% of the patients had mild, moderate, and severe depression, respectively. Patients with negative or mild anxiety (or depression) exhibited significantly higher MAAS scores than those with moderate or severe anxiety (or depression). The HADS-A and HADS-D scores showed a strong and negative correlation with the MAAS score. Univariate and multivariate analyses demonstrated that sex (<i>P</i> = 0.006), age (<i>P</i> = 0.017), per capita monthly household income (<i>P</i> = 0.005), and educational level (<i>P</i> = 0.004) were all independently associated with the exacerbation of anxiety in patients undergoing esophagectomy. Age (<i>P</i> = 0.026), living status (<i>P</i> = 0.005), per capita monthly household income (<i>P</i> = 0.024), educational level (<i>P</i> = 0.002), and postoperative complications (<i>P</i> < 0.001) were all independently related to the aggravation of depression in such patients.</p><p><strong>Conclusion: </strong>This study indicated a significant negative correlation among anxiety, depression, and mindfulness levels in patients undergoing esophagectomy. Sex, age, per capita monthly household income, and educational level were risk factors for anxiety in patients undergoing esophagectomy, whereas age, living status, per capita monthly household income, educational level, and postoperative complications were risk factors for depression.</p>","PeriodicalId":23896,"journal":{"name":"World Journal of Psychiatry","volume":"15 9","pages":"104813"},"PeriodicalIF":3.4000,"publicationDate":"2025-09-19","publicationTypes":"Journal Article","fieldsOfStudy":null,"isOpenAccess":false,"openAccessPdf":"https://www.ncbi.nlm.nih.gov/pmc/articles/PMC12418023/pdf/","citationCount":"0","resultStr":null,"platform":"Semanticscholar","paperid":null,"PeriodicalName":"World Journal of Psychiatry","FirstCategoryId":"3","ListUrlMain":"https://doi.org/10.5498/wjp.v15.i9.104813","RegionNum":4,"RegionCategory":"医学","ArticlePicture":[],"TitleCN":null,"AbstractTextCN":null,"PMCID":null,"EPubDate":"","PubModel":"","JCR":"Q1","JCRName":"PSYCHIATRY","Score":null,"Total":0}
引用次数: 0

Abstract

Background: Anxiety complicates recovery in esophagectomy patients undergoing esophagectomy, while preoperative depressive symptoms may further delay surgery-associated malnutrition resolution, highlighting a critical need for psychological intervention.

Aim: To explore the correlation of anxiety and depression with mindfulness levels in patients undergoing esophagectomy for esophageal cancer and analyze associated risk factors.

Methods: A total of 120 patients with esophageal cancer, all of whom underwent esophagectomy in The Affiliated Yongchuan Hospital of Chongqing Medical University between September 2022 and September 2024, were enrolled. The hospital anxiety and depression scale (HADS) was utilized to evaluate the anxiety (HADS-anxiety subscale, HADS-A) and depression (HADS-depression subscale, HADS-D) levels of these patients, and the Mindful Attention Awareness Scale (MAAS) was employed to assess their mindfulness levels. The relationships among anxiety, depression, and mindfulness levels were analyzed, and both univariate and multivariate analyses were conducted to identify the risk factors for anxiety and depression in these patients.

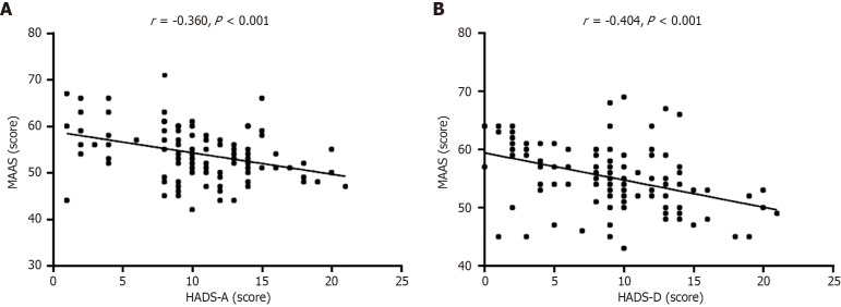
Results: Data revealed that the mean HADS-A score of patients undergoing esophagectomy was (10.43 ± 4.24) points, and 40.00%, 35.00%, and 10.83% of the patients had mild, moderate, and severe anxiety, respectively. The mean HADS-D score was (9.20 ± 4.66) points, and 37.50%, 23.33%, and 9.17% of the patients had mild, moderate, and severe depression, respectively. Patients with negative or mild anxiety (or depression) exhibited significantly higher MAAS scores than those with moderate or severe anxiety (or depression). The HADS-A and HADS-D scores showed a strong and negative correlation with the MAAS score. Univariate and multivariate analyses demonstrated that sex (P = 0.006), age (P = 0.017), per capita monthly household income (P = 0.005), and educational level (P = 0.004) were all independently associated with the exacerbation of anxiety in patients undergoing esophagectomy. Age (P = 0.026), living status (P = 0.005), per capita monthly household income (P = 0.024), educational level (P = 0.002), and postoperative complications (P < 0.001) were all independently related to the aggravation of depression in such patients.

Conclusion: This study indicated a significant negative correlation among anxiety, depression, and mindfulness levels in patients undergoing esophagectomy. Sex, age, per capita monthly household income, and educational level were risk factors for anxiety in patients undergoing esophagectomy, whereas age, living status, per capita monthly household income, educational level, and postoperative complications were risk factors for depression.

Abstract Image

食管癌切除术患者焦虑、抑郁与正念的相关性及危险因素分析。
背景:焦虑使食管切除术患者的恢复复杂化,而术前抑郁症状可能进一步延迟手术相关的营养不良的解决,强调了心理干预的迫切需要。目的:探讨食管癌切除术患者焦虑、抑郁与正念水平的相关性,并分析相关危险因素。方法:选取2022年9月至2024年9月在重庆医科大学附属永川医院行食管癌切除术的食管癌患者120例。采用医院焦虑抑郁量表(HADS)评估患者的焦虑(HADS-焦虑亚量表,HADS-a)和抑郁(HADS-抑郁亚量表,HADS-d)水平,采用正念注意意识量表(MAAS)评估患者的正念水平。分析焦虑、抑郁和正念水平之间的关系,并进行单因素和多因素分析,以确定这些患者焦虑和抑郁的危险因素。结果:资料显示,食管切除术患者的平均HADS-A评分为(10.43±4.24)分,轻度、中度、重度焦虑分别占40.00%、35.00%、10.83%。平均HADS-D评分为(9.20±4.66)分,轻度、中度和重度抑郁分别占37.50%、23.33%和9.17%。阴性或轻度焦虑(或抑郁)患者的MAAS评分明显高于中度或重度焦虑(或抑郁)患者。HADS-A和HADS-D评分与MAAS评分呈显著负相关。单因素和多因素分析显示,性别(P = 0.006)、年龄(P = 0.017)、家庭人均月收入(P = 0.005)和教育程度(P = 0.004)与食管切除术患者焦虑加重均独立相关。年龄(P = 0.026)、生活状况(P = 0.005)、家庭人均月收入(P = 0.024)、文化程度(P = 0.002)、术后并发症(P < 0.001)均与该类患者抑郁加重独立相关。结论:本研究提示食管切除术患者焦虑、抑郁和正念水平呈显著负相关。性别、年龄、家庭人均月收入、文化程度是食管切除术患者焦虑的危险因素,年龄、生活状况、家庭人均月收入、文化程度、术后并发症是食管切除术患者抑郁的危险因素。
本文章由计算机程序翻译,如有差异,请以英文原文为准。
求助全文
约1分钟内获得全文 求助全文
来源期刊
自引率
6.50%
发文量
110
期刊介绍: The World Journal of Psychiatry (WJP) is a high-quality, peer reviewed, open-access journal. The primary task of WJP is to rapidly publish high-quality original articles, reviews, editorials, and case reports in the field of psychiatry. In order to promote productive academic communication, the peer review process for the WJP is transparent; to this end, all published manuscripts are accompanied by the anonymized reviewers’ comments as well as the authors’ responses. The primary aims of the WJP are to improve diagnostic, therapeutic and preventive modalities and the skills of clinicians and to guide clinical practice in psychiatry.
×
引用
GB/T 7714-2015
复制
MLA
复制
APA
复制
导出至
BibTeX EndNote RefMan NoteFirst NoteExpress
×
提示
您的信息不完整,为了账户安全,请先补充。
现在去补充
×
提示
您因"违规操作"
具体请查看互助需知
我知道了
×
提示
确定
请完成安全验证×
copy
已复制链接
快去分享给好友吧!
我知道了
右上角分享
点击右上角分享
0
联系我们:info@booksci.cn Book学术提供免费学术资源搜索服务,方便国内外学者检索中英文文献。致力于提供最便捷和优质的服务体验。 Copyright © 2023 布克学术 All rights reserved.
京ICP备2023020795号-1
ghs 京公网安备 11010802042870号
Book学术文献互助
Book学术文献互助群
群 号:604180095
Book学术官方微信