Tracing the hidden links between sadness, aggression, and peer victimization in adolescents.

IF 3.4 4区 医学 Q1 PSYCHIATRY
Haewon Byeon
{"title":"Tracing the hidden links between sadness, aggression, and peer victimization in adolescents.","authors":"Haewon Byeon","doi":"10.5498/wjp.v15.i9.110352","DOIUrl":null,"url":null,"abstract":"<p><p>This letter critically reviews a recent longitudinal network study by Bai <i>et al</i> examining the dynamic, symptom-level interplay among peer bullying victimization, depression, anxiety, and aggression in Chinese adolescents. The study highlights that key symptoms, such as persistent sad mood, sleep disturbances, and cyberbullying victimization play a pivotal role in reinforcing the vicious cycle between mental health issues and bullying experiences. While the application of cross-lagged panel network analysis offers a nuanced understanding of these bidirectional relationships, several limitations remain, including the use of self-reported measures and a region-specific sample. Nevertheless, the findings underscore the urgent need for early screening and targeted interventions in school settings, particularly those addressing both emotional symptoms and digital forms of bullying. Moving forward, integrated and culturally sensitive approaches are essential to prevent escalation and break the link between peer victimization and adolescent psychopathology. Future research should incorporate multi-informant data and broaden the cultural context to strengthen generalizability and intervention design.</p>","PeriodicalId":23896,"journal":{"name":"World Journal of Psychiatry","volume":"15 9","pages":"110352"},"PeriodicalIF":3.4000,"publicationDate":"2025-09-19","publicationTypes":"Journal Article","fieldsOfStudy":null,"isOpenAccess":false,"openAccessPdf":"https://www.ncbi.nlm.nih.gov/pmc/articles/PMC12418021/pdf/","citationCount":"0","resultStr":null,"platform":"Semanticscholar","paperid":null,"PeriodicalName":"World Journal of Psychiatry","FirstCategoryId":"3","ListUrlMain":"https://doi.org/10.5498/wjp.v15.i9.110352","RegionNum":4,"RegionCategory":"医学","ArticlePicture":[],"TitleCN":null,"AbstractTextCN":null,"PMCID":null,"EPubDate":"","PubModel":"","JCR":"Q1","JCRName":"PSYCHIATRY","Score":null,"Total":0}
引用次数: 0

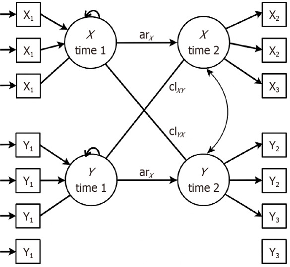
Abstract

This letter critically reviews a recent longitudinal network study by Bai et al examining the dynamic, symptom-level interplay among peer bullying victimization, depression, anxiety, and aggression in Chinese adolescents. The study highlights that key symptoms, such as persistent sad mood, sleep disturbances, and cyberbullying victimization play a pivotal role in reinforcing the vicious cycle between mental health issues and bullying experiences. While the application of cross-lagged panel network analysis offers a nuanced understanding of these bidirectional relationships, several limitations remain, including the use of self-reported measures and a region-specific sample. Nevertheless, the findings underscore the urgent need for early screening and targeted interventions in school settings, particularly those addressing both emotional symptoms and digital forms of bullying. Moving forward, integrated and culturally sensitive approaches are essential to prevent escalation and break the link between peer victimization and adolescent psychopathology. Future research should incorporate multi-informant data and broaden the cultural context to strengthen generalizability and intervention design.

Abstract Image

追踪青少年悲伤、攻击和同伴伤害之间的隐藏联系。
这封信批判性地回顾了Bai等人最近的一项纵向网络研究,该研究考察了中国青少年同伴欺凌受害、抑郁、焦虑和攻击之间的动态、症状水平的相互作用。该研究强调,持续的悲伤情绪、睡眠障碍和网络欺凌受害者等关键症状在加强心理健康问题和欺凌经历之间的恶性循环中起着关键作用。虽然交叉滞后面板网络分析的应用提供了对这些双向关系的细微理解,但仍然存在一些局限性,包括使用自我报告的措施和特定区域的样本。然而,研究结果强调,迫切需要在学校环境中进行早期筛查和有针对性的干预,特别是针对情感症状和数字形式的欺凌的干预。展望未来,综合和文化敏感的方法对于防止升级和打破同伴受害与青少年精神病理之间的联系至关重要。未来的研究应纳入多信息来源的数据,拓宽文化背景,以加强概括性和干预设计。
本文章由计算机程序翻译,如有差异,请以英文原文为准。
求助全文
约1分钟内获得全文 求助全文
来源期刊
自引率
6.50%
发文量
110
期刊介绍: The World Journal of Psychiatry (WJP) is a high-quality, peer reviewed, open-access journal. The primary task of WJP is to rapidly publish high-quality original articles, reviews, editorials, and case reports in the field of psychiatry. In order to promote productive academic communication, the peer review process for the WJP is transparent; to this end, all published manuscripts are accompanied by the anonymized reviewers’ comments as well as the authors’ responses. The primary aims of the WJP are to improve diagnostic, therapeutic and preventive modalities and the skills of clinicians and to guide clinical practice in psychiatry.
×
引用
GB/T 7714-2015
复制
MLA
复制
APA
复制
导出至
BibTeX EndNote RefMan NoteFirst NoteExpress
×
提示
您的信息不完整,为了账户安全,请先补充。
现在去补充
×
提示
您因"违规操作"
具体请查看互助需知
我知道了
×
提示
确定
请完成安全验证×
copy
已复制链接
快去分享给好友吧!
我知道了
右上角分享
点击右上角分享
0
联系我们:info@booksci.cn Book学术提供免费学术资源搜索服务,方便国内外学者检索中英文文献。致力于提供最便捷和优质的服务体验。 Copyright © 2023 布克学术 All rights reserved.
京ICP备2023020795号-1
ghs 京公网安备 11010802042870号
Book学术文献互助
Book学术文献互助群
群 号:604180095
Book学术官方微信