Sociodemographic profile of elderly people cared for at a medium and high complexity hospital: a cross-sectional study, Belo Horizonte, 2015-2019.

IF 2
Cristiano Inácio Martins, Camilla Stephane Oliveira Silva, Fernanda Gonçalves de Souza, Shirlei Moreira da Costa Faria, Karla Rona da Silva, Mirela Castro Santos Camargos
{"title":"Sociodemographic profile of elderly people cared for at a medium and high complexity hospital: a cross-sectional study, Belo Horizonte, 2015-2019.","authors":"Cristiano Inácio Martins, Camilla Stephane Oliveira Silva, Fernanda Gonçalves de Souza, Shirlei Moreira da Costa Faria, Karla Rona da Silva, Mirela Castro Santos Camargos","doi":"10.1590/S2237-96222025v34e20240254.en","DOIUrl":null,"url":null,"abstract":"<p><strong>Objective: </strong>To analyze the sociodemographic profile of elderly individuals hospitalized in a medium and high complexity hospital in Belo Horizonte, with emphasis on reasons for hospitalization, length of hospital stay, and factors associated with risk of death.</p><p><strong>Methods: </strong>This is a descriptive, quantitative, cross-sectional study based on data from electronic medical records of elderly individuals (≥60 years) treated between 2015 and 2019 at a referral hospital for multiple trauma in Belo Horizonte. The variables investigated included age, sex, marital status, municipality of origin, reason for hospitalization, and length of stay. Descriptive statistical analysis, Kaplan-Meier estimator, log-rank test, and Cox regression were used to identify association between the factors analyzed.</p><p><strong>Results: </strong>A total of 10,742 medical records were analyzed, the majority of which were male (52.6%) and aged 60-79 years (75.8%). The most frequent reason for hospitalization was falls (44.4%), followed by clinical causes (25.1%). Average length of hospital stay was 79.8 days. The mortality rate was 11.7%, with higher risk associated with self-harm (3.1 times higher), falls and poisoning (1.9 times higher). The longest hospital stay was observed in cases of people who had been run over (96 days).</p><p><strong>Conclusions: </strong>The profile found highlighted the vulnerability of the elderly population, the complexity of the cases treated and the need for specific hospital management strategies. The importance of preventive actions, palliative care and continuous training of professionals stood out, with the aim of improving the quality of life of the elderly population and optimizing health resources.</p>","PeriodicalId":520611,"journal":{"name":"Epidemiologia e servicos de saude : revista do Sistema Unico de Saude do Brasil","volume":"34 ","pages":"e20240254"},"PeriodicalIF":2.0000,"publicationDate":"2025-09-08","publicationTypes":"Journal Article","fieldsOfStudy":null,"isOpenAccess":false,"openAccessPdf":"https://www.ncbi.nlm.nih.gov/pmc/articles/PMC12435965/pdf/","citationCount":"0","resultStr":null,"platform":"Semanticscholar","paperid":null,"PeriodicalName":"Epidemiologia e servicos de saude : revista do Sistema Unico de Saude do Brasil","FirstCategoryId":"1085","ListUrlMain":"https://doi.org/10.1590/S2237-96222025v34e20240254.en","RegionNum":0,"RegionCategory":null,"ArticlePicture":[],"TitleCN":null,"AbstractTextCN":null,"PMCID":null,"EPubDate":"2025/1/1 0:00:00","PubModel":"eCollection","JCR":"","JCRName":"","Score":null,"Total":0}
引用次数: 0

Abstract

Objective: To analyze the sociodemographic profile of elderly individuals hospitalized in a medium and high complexity hospital in Belo Horizonte, with emphasis on reasons for hospitalization, length of hospital stay, and factors associated with risk of death.

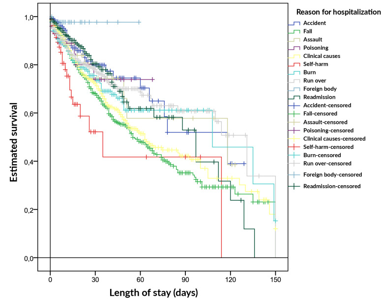
Methods: This is a descriptive, quantitative, cross-sectional study based on data from electronic medical records of elderly individuals (≥60 years) treated between 2015 and 2019 at a referral hospital for multiple trauma in Belo Horizonte. The variables investigated included age, sex, marital status, municipality of origin, reason for hospitalization, and length of stay. Descriptive statistical analysis, Kaplan-Meier estimator, log-rank test, and Cox regression were used to identify association between the factors analyzed.

Results: A total of 10,742 medical records were analyzed, the majority of which were male (52.6%) and aged 60-79 years (75.8%). The most frequent reason for hospitalization was falls (44.4%), followed by clinical causes (25.1%). Average length of hospital stay was 79.8 days. The mortality rate was 11.7%, with higher risk associated with self-harm (3.1 times higher), falls and poisoning (1.9 times higher). The longest hospital stay was observed in cases of people who had been run over (96 days).

Conclusions: The profile found highlighted the vulnerability of the elderly population, the complexity of the cases treated and the need for specific hospital management strategies. The importance of preventive actions, palliative care and continuous training of professionals stood out, with the aim of improving the quality of life of the elderly population and optimizing health resources.

Abstract Image

Abstract Image

Abstract Image

2015-2019年,贝洛奥里藏特中高复杂性医院中老年人的社会人口特征:横断面研究
目的:分析贝洛奥里藏特中高复杂度医院住院老年人的社会人口学特征,重点分析住院原因、住院时间和死亡风险相关因素。方法:这是一项描述性、定量、横断面研究,基于2015年至2019年在贝洛奥里藏特一家转诊医院接受多发性创伤治疗的老年人(≥60岁)电子病历数据。调查的变量包括年龄、性别、婚姻状况、原籍城市、住院原因和住院时间。使用描述性统计分析、Kaplan-Meier估计、log-rank检验和Cox回归来确定所分析因素之间的相关性。结果:共分析病历10742份,其中男性占52.6%,年龄60 ~ 79岁占75.8%。最常见的住院原因是跌倒(44.4%),其次是临床原因(25.1%)。平均住院时间为79.8天。死亡率为11.7%,与自残(高出3.1倍)、跌倒和中毒(高出1.9倍)相关的风险较高。住院时间最长的是被车碾过的人(96天)。结论:该概况发现突出了老年人口的脆弱性,所治疗病例的复杂性以及医院具体管理策略的必要性。预防行动、姑息治疗和专业人员的持续培训的重要性突出,其目的是提高老年人的生活质量和优化卫生资源。
本文章由计算机程序翻译,如有差异,请以英文原文为准。
求助全文
约1分钟内获得全文 求助全文
来源期刊
自引率
0.00%
发文量
0
×
引用
GB/T 7714-2015
复制
MLA
复制
APA
复制
导出至
BibTeX EndNote RefMan NoteFirst NoteExpress
×
提示
您的信息不完整,为了账户安全,请先补充。
现在去补充
×
提示
您因"违规操作"
具体请查看互助需知
我知道了
×
提示
确定
请完成安全验证×
copy
已复制链接
快去分享给好友吧!
我知道了
右上角分享
点击右上角分享
0
联系我们:info@booksci.cn Book学术提供免费学术资源搜索服务,方便国内外学者检索中英文文献。致力于提供最便捷和优质的服务体验。 Copyright © 2023 布克学术 All rights reserved.
京ICP备2023020795号-1
ghs 京公网安备 11010802042870号
Book学术文献互助
Book学术文献互助群
群 号:604180095
Book学术官方微信