Effect of Dual-task Standing on prefrontal-motor Cortex Activation and postural-related Muscle Activity between Young and Older Adults.

IF 2.9 3区 医学 Q3 CLINICAL NEUROLOGY
Jiahao Pan, Shuqi Zhang
{"title":"Effect of Dual-task Standing on prefrontal-motor Cortex Activation and postural-related Muscle Activity between Young and Older Adults.","authors":"Jiahao Pan, Shuqi Zhang","doi":"10.1007/s10548-025-01137-8","DOIUrl":null,"url":null,"abstract":"<p><p>The purpose of this study was to investigate the effects of dual-task standing on postural-related muscle activity and cortical activation in both young and older groups. Fourteen older adults and thirteen young adults were recruited. Participants performed single-task and dual-task standing. The surface electromyographic signals of tibialis anterior, solus, rectus femoris, and biceps femoris at left and right sides were recorded. Simultaneously, cortical activation in the dorsolateral prefrontal and motor cortices were measured. Two-way MANOVAs with repeated measures and Pearson correlation analyses were employed for the statistical analysis. Our results indicated that only the older group presented greater right (p = .002) and left (p = .003) ankle muscle co-activation index, and greater cortical activation in the dorsolateral prefrontal cortex (p < .001), premotor motor cortex (p = .011), supplementary motor area (p = .043), and primary motor cortex (p = .028) in the left hemisphere during dual-task compared to single-task standing. Additionally, the older group showed negative correlations, whereas the young group showed positive correlations between cortical activation and average linear envelope of muscle activity during the single-task standing. Furthermore, the older group showed more significant positive correlations between cortical activation and average linear envelope of muscle activity than the young group during dual-task standing. These observations suggest that age-related overactivation of the prefrontal-motor cortex may lead to redundant ankle joint muscle response during dual-task standing.</p>","PeriodicalId":55329,"journal":{"name":"Brain Topography","volume":"38 6","pages":"64"},"PeriodicalIF":2.9000,"publicationDate":"2025-09-11","publicationTypes":"Journal Article","fieldsOfStudy":null,"isOpenAccess":false,"openAccessPdf":"https://www.ncbi.nlm.nih.gov/pmc/articles/PMC12426098/pdf/","citationCount":"0","resultStr":null,"platform":"Semanticscholar","paperid":null,"PeriodicalName":"Brain Topography","FirstCategoryId":"3","ListUrlMain":"https://doi.org/10.1007/s10548-025-01137-8","RegionNum":3,"RegionCategory":"医学","ArticlePicture":[],"TitleCN":null,"AbstractTextCN":null,"PMCID":null,"EPubDate":"","PubModel":"","JCR":"Q3","JCRName":"CLINICAL NEUROLOGY","Score":null,"Total":0}
引用次数: 0

Abstract

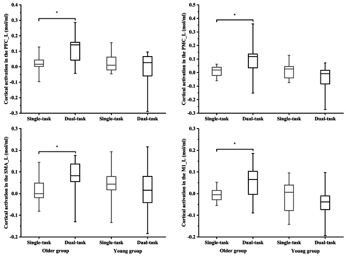
The purpose of this study was to investigate the effects of dual-task standing on postural-related muscle activity and cortical activation in both young and older groups. Fourteen older adults and thirteen young adults were recruited. Participants performed single-task and dual-task standing. The surface electromyographic signals of tibialis anterior, solus, rectus femoris, and biceps femoris at left and right sides were recorded. Simultaneously, cortical activation in the dorsolateral prefrontal and motor cortices were measured. Two-way MANOVAs with repeated measures and Pearson correlation analyses were employed for the statistical analysis. Our results indicated that only the older group presented greater right (p = .002) and left (p = .003) ankle muscle co-activation index, and greater cortical activation in the dorsolateral prefrontal cortex (p < .001), premotor motor cortex (p = .011), supplementary motor area (p = .043), and primary motor cortex (p = .028) in the left hemisphere during dual-task compared to single-task standing. Additionally, the older group showed negative correlations, whereas the young group showed positive correlations between cortical activation and average linear envelope of muscle activity during the single-task standing. Furthermore, the older group showed more significant positive correlations between cortical activation and average linear envelope of muscle activity than the young group during dual-task standing. These observations suggest that age-related overactivation of the prefrontal-motor cortex may lead to redundant ankle joint muscle response during dual-task standing.

Abstract Image

Abstract Image

Abstract Image

双任务站立对青年和老年人前额叶运动皮层激活和姿势相关肌肉活动的影响。
本研究的目的是探讨双任务站立对年轻人和老年人体位相关肌肉活动和皮层激活的影响。研究人员招募了14名老年人和13名年轻人。参与者分别进行单任务和双任务站立。记录左右两侧胫骨前肌、比目鱼肌、股直肌和股二头肌的表面肌电信号。同时,测量背外侧前额叶皮层和运动皮层的激活情况。采用重复测量双因素方差分析和Pearson相关分析进行统计分析。我们的研究结果表明,只有老年组表现出更大的右(p = 0.002)和左(p = 0.003)踝关节肌肉共同激活指数,以及更大的背外侧前额皮质皮质激活(p = 0.003)
本文章由计算机程序翻译,如有差异,请以英文原文为准。
求助全文
约1分钟内获得全文 求助全文
来源期刊
Brain Topography
Brain Topography 医学-临床神经学
CiteScore
4.70
自引率
7.40%
发文量
41
审稿时长
3 months
期刊介绍: Brain Topography publishes clinical and basic research on cognitive neuroscience and functional neurophysiology using the full range of imaging techniques including EEG, MEG, fMRI, TMS, diffusion imaging, spectroscopy, intracranial recordings, lesion studies, and related methods. Submissions combining multiple techniques are particularly encouraged, as well as reports of new and innovative methodologies.
×
引用
GB/T 7714-2015
复制
MLA
复制
APA
复制
导出至
BibTeX EndNote RefMan NoteFirst NoteExpress
×
提示
您的信息不完整,为了账户安全,请先补充。
现在去补充
×
提示
您因"违规操作"
具体请查看互助需知
我知道了
×
提示
确定
请完成安全验证×
copy
已复制链接
快去分享给好友吧!
我知道了
右上角分享
点击右上角分享
0
联系我们:info@booksci.cn Book学术提供免费学术资源搜索服务,方便国内外学者检索中英文文献。致力于提供最便捷和优质的服务体验。 Copyright © 2023 布克学术 All rights reserved.
京ICP备2023020795号-1
ghs 京公网安备 11010802042870号
Book学术文献互助
Book学术文献互助群
群 号:604180095
Book学术官方微信