Out with the old - advancements and shortcomings of the updated 9th edition of the Tumor, Node, Metastasis (TNM) classification system for lung cancer.

IF 3 4区 医学 Q2 RESPIRATORY SYSTEM
Jornal Brasileiro De Pneumologia Pub Date : 2025-09-08 eCollection Date: 2025-01-01 DOI:10.36416/1806-3756/e20250022
Pedro Magalhães Ferreira, Rui Campos, Carolina Valente, Joana Ferreira, Cláudia Freitas, Catarina Sousa, David Araújo, Hélder Novais Bastos, Adriana Magalhães, Maria Gabriela O Fernandes
{"title":"Out with the old - advancements and shortcomings of the updated 9th edition of the Tumor, Node, Metastasis (TNM) classification system for lung cancer.","authors":"Pedro Magalhães Ferreira, Rui Campos, Carolina Valente, Joana Ferreira, Cláudia Freitas, Catarina Sousa, David Araújo, Hélder Novais Bastos, Adriana Magalhães, Maria Gabriela O Fernandes","doi":"10.36416/1806-3756/e20250022","DOIUrl":null,"url":null,"abstract":"<p><strong>Objectives: </strong>The 9th edition of the Tumor, Node, Metastasis (TNM-9) lung cancer classification is set to replace the 8th edition (TNM-8) starting in 2025. Key updates include the splitting of the mediastinal nodal category N2 into single- and multiple-station involvement, as well as the classification of multiple extrathoracic metastatic lesions as involving a single organ system (M1c1) or multiple organ systems (M1c2). This study aimed to assess how the TNM-9 revisions affect the final staging of lung cancer patients and how these changes correlate with overall survival (OS).</p><p><strong>Methods: </strong>This retrospective cohort study included patients diagnosed with lung cancer between 2018 and 2021, who were staged according to both TNM-8 and TNM-9 criteria. The staging classifications were analyzed and compared in relation to OS.</p><p><strong>Results: </strong>Among a total of 914 patients, 42 were re-staged using TNM-9. Of the 382 patients classified as stage IVB, 55.9% were reclassified as M1c2. Despite an absolute increase in mean OS for patients re-staged from IIB to IIA and from IIIA to IIB, the observed differences were not statistically significant. Median OS differed significantly both within stage IVB and between patients with M1c2 disease and other stage IV subgroups. Multi-organ metastatic disease was an independent predictor of poorer OS, regardless of age, sex, performance status, and oncologic treatment.</p><p><strong>Conclusions: </strong>TNM-9 improves prognostic accuracy in lung cancer. Although patients with multiple extrathoracic metastases involving different organ systems are not yet independently staged from IVB, they demonstrated significantly poorer OS compared to other advanced-stage patients.</p>","PeriodicalId":14845,"journal":{"name":"Jornal Brasileiro De Pneumologia","volume":"51 3","pages":"e20250022"},"PeriodicalIF":3.0000,"publicationDate":"2025-09-08","publicationTypes":"Journal Article","fieldsOfStudy":null,"isOpenAccess":false,"openAccessPdf":"https://www.ncbi.nlm.nih.gov/pmc/articles/PMC12401156/pdf/","citationCount":"0","resultStr":null,"platform":"Semanticscholar","paperid":null,"PeriodicalName":"Jornal Brasileiro De Pneumologia","FirstCategoryId":"3","ListUrlMain":"https://doi.org/10.36416/1806-3756/e20250022","RegionNum":4,"RegionCategory":"医学","ArticlePicture":[],"TitleCN":null,"AbstractTextCN":null,"PMCID":null,"EPubDate":"2025/1/1 0:00:00","PubModel":"eCollection","JCR":"Q2","JCRName":"RESPIRATORY SYSTEM","Score":null,"Total":0}
引用次数: 0

Abstract

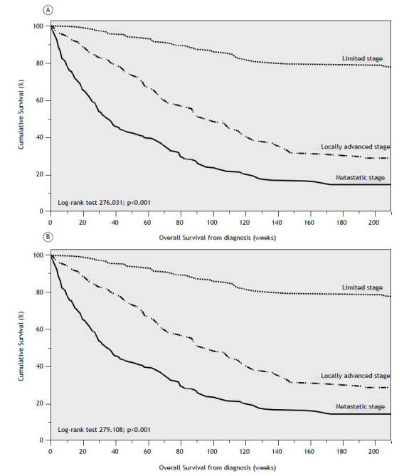
Objectives: The 9th edition of the Tumor, Node, Metastasis (TNM-9) lung cancer classification is set to replace the 8th edition (TNM-8) starting in 2025. Key updates include the splitting of the mediastinal nodal category N2 into single- and multiple-station involvement, as well as the classification of multiple extrathoracic metastatic lesions as involving a single organ system (M1c1) or multiple organ systems (M1c2). This study aimed to assess how the TNM-9 revisions affect the final staging of lung cancer patients and how these changes correlate with overall survival (OS).

Methods: This retrospective cohort study included patients diagnosed with lung cancer between 2018 and 2021, who were staged according to both TNM-8 and TNM-9 criteria. The staging classifications were analyzed and compared in relation to OS.

Results: Among a total of 914 patients, 42 were re-staged using TNM-9. Of the 382 patients classified as stage IVB, 55.9% were reclassified as M1c2. Despite an absolute increase in mean OS for patients re-staged from IIB to IIA and from IIIA to IIB, the observed differences were not statistically significant. Median OS differed significantly both within stage IVB and between patients with M1c2 disease and other stage IV subgroups. Multi-organ metastatic disease was an independent predictor of poorer OS, regardless of age, sex, performance status, and oncologic treatment.

Conclusions: TNM-9 improves prognostic accuracy in lung cancer. Although patients with multiple extrathoracic metastases involving different organ systems are not yet independently staged from IVB, they demonstrated significantly poorer OS compared to other advanced-stage patients.

Abstract Image

Abstract Image

Abstract Image

总结更新后的第9版肺癌肿瘤、淋巴结、转移(TNM)分类系统的旧进展和不足。
目的:从2025年开始,第9版肿瘤、淋巴结、转移(TNM-9)肺癌分类将取代第8版(TNM-8)。主要的更新包括将纵隔淋巴结分类N2分为单站和多站受累,以及将多发胸外转移性病变分为单器官系统(M1c1)或多器官系统(M1c2)。本研究旨在评估TNM-9修订如何影响肺癌患者的最终分期,以及这些变化如何与总生存期(OS)相关。方法:本回顾性队列研究纳入2018 - 2021年诊断为肺癌的患者,根据TNM-8和TNM-9标准进行分期。分析并比较与OS相关的分期分类。结果:914例患者中,42例使用TNM-9重新分期。在382例IVB期患者中,55.9%被重新划分为M1c2期。尽管从IIB到IIA和从IIIA到IIB重新分期的患者的平均OS绝对增加,但观察到的差异无统计学意义。中位OS在IVB期和M1c2患者与其他IV期亚组之间存在显著差异。多器官转移性疾病是较差OS的独立预测因子,与年龄、性别、表现状态和肿瘤治疗无关。结论:TNM-9可提高肺癌预后的准确性。尽管涉及不同器官系统的多发性胸外转移患者尚未与IVB独立分期,但与其他晚期患者相比,他们表现出明显较差的OS。
本文章由计算机程序翻译,如有差异,请以英文原文为准。
求助全文
约1分钟内获得全文 求助全文
来源期刊
Jornal Brasileiro De Pneumologia
Jornal Brasileiro De Pneumologia RESPIRATORY SYSTEM-
CiteScore
3.50
自引率
14.80%
发文量
118
审稿时长
20 weeks
期刊介绍: The Brazilian Journal of Pulmonology publishes scientific articles that contribute to the improvement of knowledge in the field of the lung diseases and related areas.
×
引用
GB/T 7714-2015
复制
MLA
复制
APA
复制
导出至
BibTeX EndNote RefMan NoteFirst NoteExpress
×
提示
您的信息不完整,为了账户安全,请先补充。
现在去补充
×
提示
您因"违规操作"
具体请查看互助需知
我知道了
×
提示
确定
请完成安全验证×
copy
已复制链接
快去分享给好友吧!
我知道了
右上角分享
点击右上角分享
0
联系我们:info@booksci.cn Book学术提供免费学术资源搜索服务,方便国内外学者检索中英文文献。致力于提供最便捷和优质的服务体验。 Copyright © 2023 布克学术 All rights reserved.
京ICP备2023020795号-1
ghs 京公网安备 11010802042870号
Book学术文献互助
Book学术文献互助群
群 号:604180095
Book学术官方微信