Identifying Features of Electroencephalography Associated with Improved Awareness in Persistent Vegetative State via Multiscale Entropy: A Machine Learning Modeling Study.

IF 1.8 Q3 CLINICAL NEUROLOGY
Neurotrauma reports Pub Date : 2025-08-27 eCollection Date: 2025-01-01 DOI:10.1177/2689288X251369274
Keyun Lai, Xiao Chen, Liyun He, Qi Liu, Changsheng Lai, Yang Bai, Ye Zhang, Kaiyue Wang, Fangzhao Wang, Shuai He, Guangjun Wang
{"title":"Identifying Features of Electroencephalography Associated with Improved Awareness in Persistent Vegetative State via Multiscale Entropy: A Machine Learning Modeling Study.","authors":"Keyun Lai, Xiao Chen, Liyun He, Qi Liu, Changsheng Lai, Yang Bai, Ye Zhang, Kaiyue Wang, Fangzhao Wang, Shuai He, Guangjun Wang","doi":"10.1177/2689288X251369274","DOIUrl":null,"url":null,"abstract":"<p><p>Accurate differentiation between persistent vegetative state (PVS) and minimally conscious state and estimation of recovery likelihood in patients in PVS are crucial. This study analyzed electroencephalography (EEG) metrics to investigate their relationship with consciousness improvements in patients in PVS and developed a machine learning prediction model. We retrospectively evaluated 19 patients in PVS, categorizing them into two groups: those with improved consciousness (<i>n</i> = 7) and those without improvement (<i>n</i> = 12). Spectral and complexity analyses were performed on patients' EEG data to obtain spectral power and multiscale entropy (MSE) values. These metrics served as features in developing an EEG-based prediction model for consciousness improvement. Spectral power and MSE values were used as features in six machine learning models-support vector machine (SVM), Classification and Regression Tree, chi-squared automatic interaction detector, neural network, C5.0, and logistic regression-to perform classification via data mining methods. The dataset, containing data of 19 cases, was divided into training and test sets at a 50% ratio. The SVM model using MSE features yielded the best classification results, with prediction accuracies of 95.18% (training set) and 92.93% (test set). The logistic regression model achieved 93.25% and 84.51% accuracy, respectively. In the test set, the MSE-based SVM model demonstrated a 27.67% improvement in classification accuracy compared with models using spectral analysis features, indicating that MSE achieves better classification performance. This study demonstrates that MSE is a promising predictor of prognosis in patients in EEG-confirmed vegetative states.</p>","PeriodicalId":74300,"journal":{"name":"Neurotrauma reports","volume":"6 1","pages":"720-731"},"PeriodicalIF":1.8000,"publicationDate":"2025-08-27","publicationTypes":"Journal Article","fieldsOfStudy":null,"isOpenAccess":false,"openAccessPdf":"https://www.ncbi.nlm.nih.gov/pmc/articles/PMC12416531/pdf/","citationCount":"0","resultStr":null,"platform":"Semanticscholar","paperid":null,"PeriodicalName":"Neurotrauma reports","FirstCategoryId":"1085","ListUrlMain":"https://doi.org/10.1177/2689288X251369274","RegionNum":0,"RegionCategory":null,"ArticlePicture":[],"TitleCN":null,"AbstractTextCN":null,"PMCID":null,"EPubDate":"2025/1/1 0:00:00","PubModel":"eCollection","JCR":"Q3","JCRName":"CLINICAL NEUROLOGY","Score":null,"Total":0}
引用次数: 0

Abstract

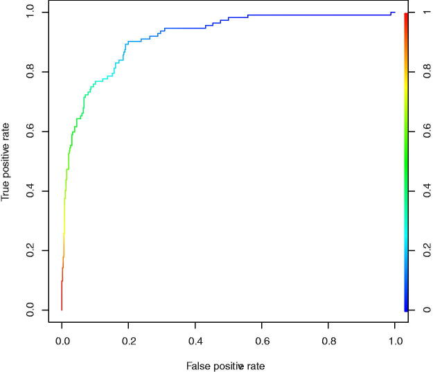
Accurate differentiation between persistent vegetative state (PVS) and minimally conscious state and estimation of recovery likelihood in patients in PVS are crucial. This study analyzed electroencephalography (EEG) metrics to investigate their relationship with consciousness improvements in patients in PVS and developed a machine learning prediction model. We retrospectively evaluated 19 patients in PVS, categorizing them into two groups: those with improved consciousness (n = 7) and those without improvement (n = 12). Spectral and complexity analyses were performed on patients' EEG data to obtain spectral power and multiscale entropy (MSE) values. These metrics served as features in developing an EEG-based prediction model for consciousness improvement. Spectral power and MSE values were used as features in six machine learning models-support vector machine (SVM), Classification and Regression Tree, chi-squared automatic interaction detector, neural network, C5.0, and logistic regression-to perform classification via data mining methods. The dataset, containing data of 19 cases, was divided into training and test sets at a 50% ratio. The SVM model using MSE features yielded the best classification results, with prediction accuracies of 95.18% (training set) and 92.93% (test set). The logistic regression model achieved 93.25% and 84.51% accuracy, respectively. In the test set, the MSE-based SVM model demonstrated a 27.67% improvement in classification accuracy compared with models using spectral analysis features, indicating that MSE achieves better classification performance. This study demonstrates that MSE is a promising predictor of prognosis in patients in EEG-confirmed vegetative states.

Abstract Image

Abstract Image

通过多尺度熵识别与持续植物人状态下意识改善相关的脑电图特征:一项机器学习建模研究。
准确区分持续性植物状态(PVS)和最低意识状态以及估计PVS患者恢复的可能性至关重要。本研究分析了脑电图(EEG)指标,以研究它们与PVS患者意识改善的关系,并开发了机器学习预测模型。我们回顾性评估了19例PVS患者,将其分为两组:意识改善(n = 7)和未改善(n = 12)。对患者脑电图数据进行频谱分析和复杂度分析,得到频谱功率和多尺度熵(MSE)值。这些指标作为开发基于脑电图的意识改善预测模型的特征。在支持向量机(SVM)、分类与回归树(Classification and Regression Tree)、卡方自动交互检测器(chi-squared automatic interaction detector)、神经网络(neural network)、C5.0和逻辑回归(logistic Regression)等6种机器学习模型中,以谱功率和MSE值为特征,通过数据挖掘方法进行分类。数据集包含19个案例的数据,以50%的比例分为训练集和测试集。使用MSE特征的SVM模型分类效果最好,预测准确率为95.18%(训练集)和92.93%(测试集)。logistic回归模型的准确率分别为93.25%和84.51%。在测试集中,基于MSE的SVM模型与使用谱分析特征的模型相比,分类准确率提高了27.67%,说明MSE的分类性能更好。本研究表明,MSE是脑电图证实的植物人患者预后的一个有希望的预测因子。
本文章由计算机程序翻译,如有差异,请以英文原文为准。
求助全文
约1分钟内获得全文 求助全文
来源期刊
CiteScore
2.40
自引率
0.00%
发文量
0
审稿时长
8 weeks
×
引用
GB/T 7714-2015
复制
MLA
复制
APA
复制
导出至
BibTeX EndNote RefMan NoteFirst NoteExpress
×
提示
您的信息不完整,为了账户安全,请先补充。
现在去补充
×
提示
您因"违规操作"
具体请查看互助需知
我知道了
×
提示
确定
请完成安全验证×
copy
已复制链接
快去分享给好友吧!
我知道了
右上角分享
点击右上角分享
0
联系我们:info@booksci.cn Book学术提供免费学术资源搜索服务,方便国内外学者检索中英文文献。致力于提供最便捷和优质的服务体验。 Copyright © 2023 布克学术 All rights reserved.
京ICP备2023020795号-1
ghs 京公网安备 11010802042870号
Book学术文献互助
Book学术文献互助群
群 号:604180095
Book学术官方微信