Impact of Laser Lipolysis With and Without Liposuction on Arm Circumference: A Systematic Review and Meta-Analysis.

IF 1.9
Aesthetic surgery journal. Open forum Pub Date : 2025-09-08 eCollection Date: 2025-01-01 DOI:10.1093/asjof/ojaf097
Zhen Yu Wong, Veylamuthen Murugan, Zhen Ning Wong, Pojsakorn Danpanichkul, Ryan Faderani, Muholan Kanapathy, Afshin Mosahebi
{"title":"Impact of Laser Lipolysis With and Without Liposuction on Arm Circumference: A Systematic Review and Meta-Analysis.","authors":"Zhen Yu Wong, Veylamuthen Murugan, Zhen Ning Wong, Pojsakorn Danpanichkul, Ryan Faderani, Muholan Kanapathy, Afshin Mosahebi","doi":"10.1093/asjof/ojaf097","DOIUrl":null,"url":null,"abstract":"<p><p>Laser-assisted lipolysis (LAL) for arm fat reduction has gained popularity compared with traditional liposuction. The authors of this study aim to quantify changes in arm circumference through LAL and compare outcomes between treatments with and without suction. A Preferred Reporting Items for Systematic Reviews and Meta-Analyses-compliant systematic review was conducted from inception until May 2024, and meta-analysis was performed using Stata. Mean differences in arm circumference were pooled using the DerSimonian and Laird random-effects model. Out of 135 screened studies, 7 were included in the analysis. The pooled arm circumference reduction (<i>n</i> = 199) was 2.95 cm (<i>P</i> < .001, 95% CI, 1.50-4.41). Subgroup analysis revealed that the reduction with suction was 3.39 cm (<i>P</i> = .078, 95% CI, -0.38 to 7.16), and without suction, it was 2.04 cm (<i>P</i> = .022, 95% CI, 0.30-3.78). Overall, both clinicians and patients reported high satisfaction levels with the treatment, although satisfaction was notably lower among patients with more advanced conditions. Reported complications were mild and transient, including instances of ecchymosis and prolonged edema. Although the current evidence is limited by small sample size, the safety profile of LAL is favorable and the outcomes are promising. Further studies are needed to validate these findings. <b>Level of Evidence: 3 (Therapeutic)</b>.</p>","PeriodicalId":72118,"journal":{"name":"Aesthetic surgery journal. Open forum","volume":"7 ","pages":"ojaf097"},"PeriodicalIF":1.9000,"publicationDate":"2025-09-08","publicationTypes":"Journal Article","fieldsOfStudy":null,"isOpenAccess":false,"openAccessPdf":"https://www.ncbi.nlm.nih.gov/pmc/articles/PMC12415858/pdf/","citationCount":"0","resultStr":null,"platform":"Semanticscholar","paperid":null,"PeriodicalName":"Aesthetic surgery journal. Open forum","FirstCategoryId":"1085","ListUrlMain":"https://doi.org/10.1093/asjof/ojaf097","RegionNum":0,"RegionCategory":null,"ArticlePicture":[],"TitleCN":null,"AbstractTextCN":null,"PMCID":null,"EPubDate":"2025/1/1 0:00:00","PubModel":"eCollection","JCR":"","JCRName":"","Score":null,"Total":0}
引用次数: 0

Abstract

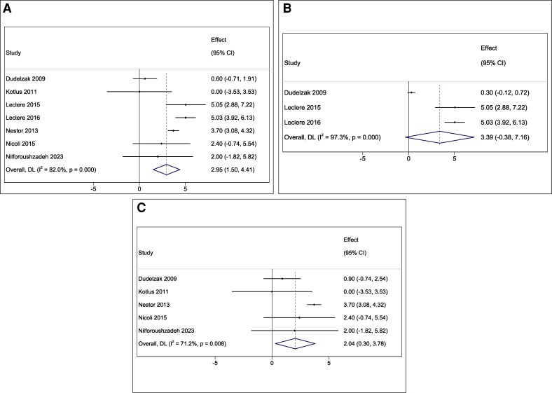
Laser-assisted lipolysis (LAL) for arm fat reduction has gained popularity compared with traditional liposuction. The authors of this study aim to quantify changes in arm circumference through LAL and compare outcomes between treatments with and without suction. A Preferred Reporting Items for Systematic Reviews and Meta-Analyses-compliant systematic review was conducted from inception until May 2024, and meta-analysis was performed using Stata. Mean differences in arm circumference were pooled using the DerSimonian and Laird random-effects model. Out of 135 screened studies, 7 were included in the analysis. The pooled arm circumference reduction (n = 199) was 2.95 cm (P < .001, 95% CI, 1.50-4.41). Subgroup analysis revealed that the reduction with suction was 3.39 cm (P = .078, 95% CI, -0.38 to 7.16), and without suction, it was 2.04 cm (P = .022, 95% CI, 0.30-3.78). Overall, both clinicians and patients reported high satisfaction levels with the treatment, although satisfaction was notably lower among patients with more advanced conditions. Reported complications were mild and transient, including instances of ecchymosis and prolonged edema. Although the current evidence is limited by small sample size, the safety profile of LAL is favorable and the outcomes are promising. Further studies are needed to validate these findings. Level of Evidence: 3 (Therapeutic).

Abstract Image

Abstract Image

Abstract Image

激光溶脂术对臂围的影响:一项系统回顾和荟萃分析。
与传统吸脂相比,激光辅助脂肪分解(LAL)用于手臂减脂已经得到了广泛的应用。本研究的作者旨在通过LAL量化臂围的变化,并比较有和无抽吸治疗的结果。从开始到2024年5月进行了符合系统评价和元分析的首选报告项目,并使用Stata进行了元分析。采用DerSimonian和Laird随机效应模型汇总臂围的平均差异。在135项筛选的研究中,有7项纳入了分析。合并臂围减少(n = 199)为2.95 cm (P < 0.001, 95% CI, 1.50-4.41)。亚组分析显示,有吸力时复位3.39 cm (P = 0.078, 95% CI, -0.38 ~ 7.16),无吸力时复位2.04 cm (P = 0.022, 95% CI, 0.30 ~ 3.78)。总体而言,临床医生和患者都报告了对治疗的高满意度,尽管在病情较晚期的患者中满意度明显较低。报道的并发症是轻微和短暂的,包括瘀斑和长时间水肿的实例。虽然目前的证据受到小样本量的限制,但LAL的安全性是有利的,结果是有希望的。需要进一步的研究来验证这些发现。证据等级:3(治疗性)。
本文章由计算机程序翻译,如有差异,请以英文原文为准。
求助全文
约1分钟内获得全文 求助全文
来源期刊
自引率
0.00%
发文量
0
审稿时长
4 weeks
×
引用
GB/T 7714-2015
复制
MLA
复制
APA
复制
导出至
BibTeX EndNote RefMan NoteFirst NoteExpress
×
提示
您的信息不完整,为了账户安全,请先补充。
现在去补充
×
提示
您因"违规操作"
具体请查看互助需知
我知道了
×
提示
确定
请完成安全验证×
copy
已复制链接
快去分享给好友吧!
我知道了
右上角分享
点击右上角分享
0
联系我们:info@booksci.cn Book学术提供免费学术资源搜索服务,方便国内外学者检索中英文文献。致力于提供最便捷和优质的服务体验。 Copyright © 2023 布克学术 All rights reserved.
京ICP备2023020795号-1
ghs 京公网安备 11010802042870号
Book学术文献互助
Book学术文献互助群
群 号:604180095
Book学术官方微信