Müller-Lyer Illusion in Adults Increases with Age but Is Not Affected by Mild Visual Acuity Loss.

IF 2.4 Q1 OPHTHALMOLOGY
Eye and Brain Pub Date : 2025-09-03 eCollection Date: 2025-01-01 DOI:10.2147/EB.S533112
Bichi Chen, Na Lin, Li Tian, Jieli Mao, Maoyuan Yang, Xueqin Sun, Fan Lu, Ruzhi Deng
{"title":"Müller-Lyer Illusion in Adults Increases with Age but Is Not Affected by Mild Visual Acuity Loss.","authors":"Bichi Chen, Na Lin, Li Tian, Jieli Mao, Maoyuan Yang, Xueqin Sun, Fan Lu, Ruzhi Deng","doi":"10.2147/EB.S533112","DOIUrl":null,"url":null,"abstract":"<p><strong>Purpose: </strong>To investigate the impact of mild visual acuity loss on the Müller-Lyer illusion in adults and evaluate its potential as a clinical indicator for visual-cognitive integration mechanisms.</p><p><strong>Methods: </strong>Three experiments were conducted. Experiment 1 measured illusion intensity in 49 young adults (25.08 ± 3.38 years) before and after inducing transient visual acuity loss (0.40 logMAR) via Bangerter occlusion foils. Experiment 2 compared 26 cataract patients (65.19 ± 3.87 years) with 59 age-matched controls (63.98 ± 5.57 years). Experiment 3 tracked 14 cataract patients (69.50 ± 6.14 years) pre- and post-surgery. Illusion intensity was quantified using a two-alternative forced-choice task.</p><p><strong>Results: </strong>Illusion intensity remained stable across conditions: no differences were observed before /after wearing occlusion glasses (4.33% vs 3.75%, <i>p</i> = 0.141), between cataract patients and controls (8.79% vs 8.20%, <i>p</i> = 0.301), or pre-/post-surgery (9.46% vs 9.87%, <i>p</i> = 0.357). However, normally-sighted elderly participants exhibited stronger illusions than young adults (8.20% vs 4.33%, <i>p</i> < 0.001). Multivariate regression confirmed age as the sole predictor of illusion intensity (<i>β</i> = 0.088, <i>p</i> = 0.001), independent of visual acuity.</p><p><strong>Conclusion: </strong>The intensity of Müller-Lyer illusion in adults is modulated by age but resistant to mild visual acuity loss, implicating its utility in studying visual-cognitive integration.</p>","PeriodicalId":51844,"journal":{"name":"Eye and Brain","volume":"17 ","pages":"115-124"},"PeriodicalIF":2.4000,"publicationDate":"2025-09-03","publicationTypes":"Journal Article","fieldsOfStudy":null,"isOpenAccess":false,"openAccessPdf":"https://www.ncbi.nlm.nih.gov/pmc/articles/PMC12414450/pdf/","citationCount":"0","resultStr":null,"platform":"Semanticscholar","paperid":null,"PeriodicalName":"Eye and Brain","FirstCategoryId":"1085","ListUrlMain":"https://doi.org/10.2147/EB.S533112","RegionNum":0,"RegionCategory":null,"ArticlePicture":[],"TitleCN":null,"AbstractTextCN":null,"PMCID":null,"EPubDate":"2025/1/1 0:00:00","PubModel":"eCollection","JCR":"Q1","JCRName":"OPHTHALMOLOGY","Score":null,"Total":0}
引用次数: 0

Abstract

Purpose: To investigate the impact of mild visual acuity loss on the Müller-Lyer illusion in adults and evaluate its potential as a clinical indicator for visual-cognitive integration mechanisms.

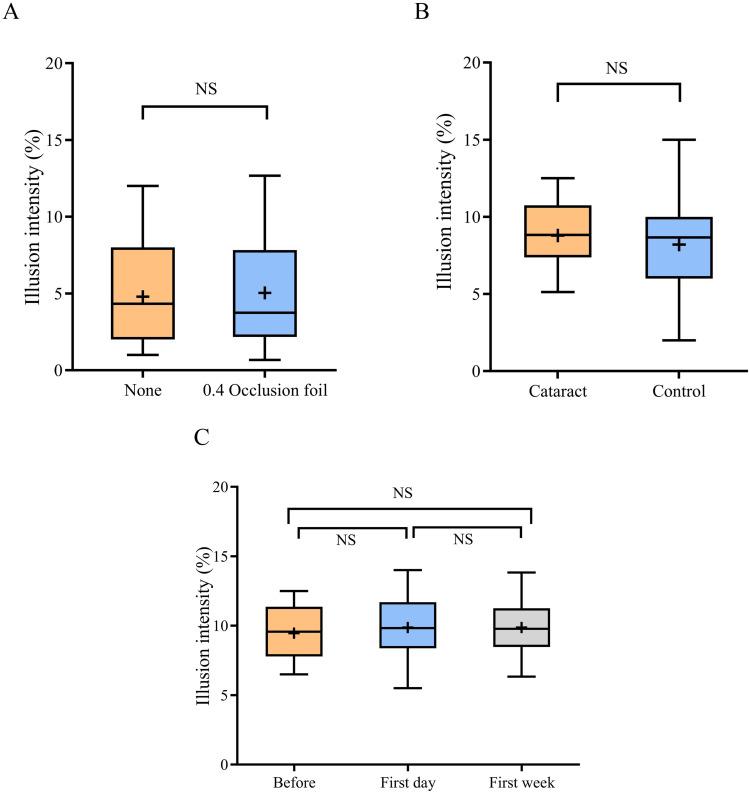
Methods: Three experiments were conducted. Experiment 1 measured illusion intensity in 49 young adults (25.08 ± 3.38 years) before and after inducing transient visual acuity loss (0.40 logMAR) via Bangerter occlusion foils. Experiment 2 compared 26 cataract patients (65.19 ± 3.87 years) with 59 age-matched controls (63.98 ± 5.57 years). Experiment 3 tracked 14 cataract patients (69.50 ± 6.14 years) pre- and post-surgery. Illusion intensity was quantified using a two-alternative forced-choice task.

Results: Illusion intensity remained stable across conditions: no differences were observed before /after wearing occlusion glasses (4.33% vs 3.75%, p = 0.141), between cataract patients and controls (8.79% vs 8.20%, p = 0.301), or pre-/post-surgery (9.46% vs 9.87%, p = 0.357). However, normally-sighted elderly participants exhibited stronger illusions than young adults (8.20% vs 4.33%, p < 0.001). Multivariate regression confirmed age as the sole predictor of illusion intensity (β = 0.088, p = 0.001), independent of visual acuity.

Conclusion: The intensity of Müller-Lyer illusion in adults is modulated by age but resistant to mild visual acuity loss, implicating its utility in studying visual-cognitive integration.

Abstract Image

Abstract Image

Abstract Image

成人的勒-莱尔错觉随年龄增长而增加,但不受轻度视力丧失的影响。
目的:探讨轻度视力丧失对成人勒-莱尔错觉的影响,并评价其作为视觉-认知整合机制的临床指标的潜力。方法:进行3项实验。实验1测量了49例(25.08±3.38岁)青年人在Bangerter遮挡膜诱导短暂性视力丧失(0.40 logMAR)前后的视错觉强度。实验2将26例白内障患者(65.19±3.87岁)与59例年龄匹配的对照组(63.98±5.57岁)进行比较。实验三对14例白内障患者(69.50±6.14岁)进行手术前后随访。幻觉强度是通过一个双选项强迫选择任务来量化的。结果:不同情况下,视错觉强度保持稳定:配戴遮挡眼镜前/后(4.33% vs 3.75%, p = 0.141)、白内障患者与对照组(8.79% vs 8.20%, p = 0.301)、术前/术后(9.46% vs 9.87%, p = 0.357)均无差异。然而,视力正常的老年人比年轻人表现出更强的错觉(8.20%比4.33%,p < 0.001)。多因素回归证实年龄是错觉强度的唯一预测因子(β = 0.088, p = 0.001),与视力无关。结论:成人 ller- lyer错觉的强度受年龄的调节,但对轻度视力丧失具有抵抗性,在视觉认知整合研究中具有一定的应用价值。
本文章由计算机程序翻译,如有差异,请以英文原文为准。
求助全文
约1分钟内获得全文 求助全文
来源期刊
Eye and Brain
Eye and Brain OPHTHALMOLOGY-
CiteScore
7.90
自引率
2.30%
发文量
12
审稿时长
16 weeks
期刊介绍: Eye and Brain is an international, peer-reviewed, open access journal focusing on basic research, clinical findings, and expert reviews in the field of visual science and neuro-ophthalmology. The journal’s unique focus is the link between two well-known visual centres, the eye and the brain, with an emphasis on the importance of such connections. All aspects of clinical and especially basic research on the visual system are addressed within the journal as well as significant future directions in vision research and therapeutic measures. This unique journal focuses on neurological aspects of vision – both physiological and pathological. The scope of the journal spans from the cornea to the associational visual cortex and all the visual centers in between. Topics range from basic biological mechanisms to therapeutic treatment, from simple organisms to humans, and utilizing techniques from molecular biology to behavior. The journal especially welcomes primary research articles or review papers that make the connection between the eye and the brain. Specific areas covered in the journal include: Physiology and pathophysiology of visual centers, Eye movement disorders and strabismus, Cellular, biochemical, and molecular features of the visual system, Structural and functional organization of the eye and of the visual cortex, Metabolic demands of the visual system, Diseases and disorders with neuro-ophthalmic manifestations, Clinical and experimental neuro-ophthalmology and visual system pathologies, Epidemiological studies.
×
引用
GB/T 7714-2015
复制
MLA
复制
APA
复制
导出至
BibTeX EndNote RefMan NoteFirst NoteExpress
×
提示
您的信息不完整,为了账户安全,请先补充。
现在去补充
×
提示
您因"违规操作"
具体请查看互助需知
我知道了
×
提示
确定
请完成安全验证×
copy
已复制链接
快去分享给好友吧!
我知道了
右上角分享
点击右上角分享
0
联系我们:info@booksci.cn Book学术提供免费学术资源搜索服务,方便国内外学者检索中英文文献。致力于提供最便捷和优质的服务体验。 Copyright © 2023 布克学术 All rights reserved.
京ICP备2023020795号-1
ghs 京公网安备 11010802042870号
Book学术文献互助
Book学术文献互助群
群 号:604180095
Book学术官方微信