Wildfire Smoke Induces Eye Surface Inflammation and Tear Film Changes in a Human Experimental Model.

IF 2.6 3区 医学 Q2 OPHTHALMOLOGY
Sukanya Jaiswal, Blanka Golebiowski, Meagan Porter, Ha T Duong, Michele C Madigan, Fay H Johnston, Isabelle Jalbert
{"title":"Wildfire Smoke Induces Eye Surface Inflammation and Tear Film Changes in a Human Experimental Model.","authors":"Sukanya Jaiswal, Blanka Golebiowski, Meagan Porter, Ha T Duong, Michele C Madigan, Fay H Johnston, Isabelle Jalbert","doi":"10.1167/tvst.14.9.13","DOIUrl":null,"url":null,"abstract":"<p><strong>Purpose: </strong>To investigate the short-term impact of exposure to smoke from vegetation burns on ocular surface symptoms and signs.</p><p><strong>Methods: </strong>Woody bushfuels were burnt in an enclosed room (Flammability Laboratory, University of Tasmania, Australia) to generate particulate matter and monitored in real time (Dust Trak II). Eighteen participants (aged 20-63 years, 8 males and 10 females) fitted with respirators were seated 1.5 m from the burn for 15 minutes. Clinical ocular surface measurements were conducted in the right eye. Tears were collected from the left eye and analyzed for the cytokine interleukin-1β (enzyme-linked immunosorbent assay). Pre- and postexposure differences were analyzed using paired t tests or Wilcoxon signed rank tests. Associations between symptoms and signs were analyzed using Spearman's correlation.</p><p><strong>Results: </strong>Mean particulate matter with a diameter of 2.5 µm or smaller exposure was 1903 µg/m3. After smoke exposure, an increase in symptoms (median change, 2; interquartile range [IQR], 1-6; P = 0.001), ocular surface staining (median change, 1; IQR, 0-1; P = 0.007), limbal redness (mean change, 0.28 ± 0.36; P = 0.02), palpebral conjunctival redness (mean change, 0.35 ± 0.36; P = 0.009), palpebral conjunctival roughness (mean change, 0.3 ± 0.4; P = 0.046), and decrease in tear breakup time (mean change. 1.4 ± 2.6 seconds; P = 0.03) occurred. The change in bulbar conjunctival redness correlated with the change in dryness symptoms (r = 0.70; P = 0.001). The interleukin-1β concentration increased in the majority of participants post exposure (median change, 6.6 pg/mL; IQR, 2.2-21.1 pg/mL; P = 0.01).</p><p><strong>Conclusions: </strong>This study demonstrated that short-term wildfire smoke directly and adversely affects the ocular surface and induces symptoms.</p><p><strong>Translational relevance: </strong>This study used a unique enclosed experimental laboratory to simulate ocular exposure to wildfire smoke and demonstrates the need to elucidate the role of anti-inflammatory therapies in mitigating the impact of smoke on the ocular surface.</p>","PeriodicalId":23322,"journal":{"name":"Translational Vision Science & Technology","volume":"14 9","pages":"13"},"PeriodicalIF":2.6000,"publicationDate":"2025-09-02","publicationTypes":"Journal Article","fieldsOfStudy":null,"isOpenAccess":false,"openAccessPdf":"https://www.ncbi.nlm.nih.gov/pmc/articles/PMC12425145/pdf/","citationCount":"0","resultStr":null,"platform":"Semanticscholar","paperid":null,"PeriodicalName":"Translational Vision Science & Technology","FirstCategoryId":"3","ListUrlMain":"https://doi.org/10.1167/tvst.14.9.13","RegionNum":3,"RegionCategory":"医学","ArticlePicture":[],"TitleCN":null,"AbstractTextCN":null,"PMCID":null,"EPubDate":"","PubModel":"","JCR":"Q2","JCRName":"OPHTHALMOLOGY","Score":null,"Total":0}
引用次数: 0

Abstract

Purpose: To investigate the short-term impact of exposure to smoke from vegetation burns on ocular surface symptoms and signs.

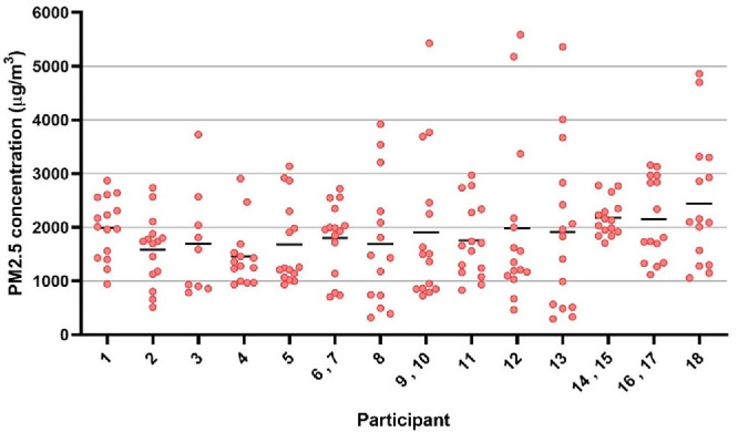
Methods: Woody bushfuels were burnt in an enclosed room (Flammability Laboratory, University of Tasmania, Australia) to generate particulate matter and monitored in real time (Dust Trak II). Eighteen participants (aged 20-63 years, 8 males and 10 females) fitted with respirators were seated 1.5 m from the burn for 15 minutes. Clinical ocular surface measurements were conducted in the right eye. Tears were collected from the left eye and analyzed for the cytokine interleukin-1β (enzyme-linked immunosorbent assay). Pre- and postexposure differences were analyzed using paired t tests or Wilcoxon signed rank tests. Associations between symptoms and signs were analyzed using Spearman's correlation.

Results: Mean particulate matter with a diameter of 2.5 µm or smaller exposure was 1903 µg/m3. After smoke exposure, an increase in symptoms (median change, 2; interquartile range [IQR], 1-6; P = 0.001), ocular surface staining (median change, 1; IQR, 0-1; P = 0.007), limbal redness (mean change, 0.28 ± 0.36; P = 0.02), palpebral conjunctival redness (mean change, 0.35 ± 0.36; P = 0.009), palpebral conjunctival roughness (mean change, 0.3 ± 0.4; P = 0.046), and decrease in tear breakup time (mean change. 1.4 ± 2.6 seconds; P = 0.03) occurred. The change in bulbar conjunctival redness correlated with the change in dryness symptoms (r = 0.70; P = 0.001). The interleukin-1β concentration increased in the majority of participants post exposure (median change, 6.6 pg/mL; IQR, 2.2-21.1 pg/mL; P = 0.01).

Conclusions: This study demonstrated that short-term wildfire smoke directly and adversely affects the ocular surface and induces symptoms.

Translational relevance: This study used a unique enclosed experimental laboratory to simulate ocular exposure to wildfire smoke and demonstrates the need to elucidate the role of anti-inflammatory therapies in mitigating the impact of smoke on the ocular surface.

Abstract Image

Abstract Image

Abstract Image

野火烟雾在人体实验模型中诱导眼表炎症和泪膜变化。
目的:探讨植物烧伤烟雾暴露对眼表症状和体征的短期影响。方法:木质丛林燃料在封闭房间(澳大利亚塔斯马尼亚大学可燃性实验室)燃烧产生颗粒物,并进行实时监测(Dust Trak II)。18名参与者(年龄20-63岁,8男10女)戴上呼吸器,坐在距离烧伤1.5米的地方15分钟。临床眼表测量在右眼进行。收集左眼泪液,检测细胞因子白细胞介素-1β(酶联免疫吸附法)。使用配对t检验或Wilcoxon符号秩检验分析暴露前后的差异。使用Spearman相关分析症状和体征之间的关联。结果:2.5µm及以下暴露的平均颗粒物为1903µg/m3。烟雾暴露后,症状增加(中位数变化2,四分位间距[IQR], 1-6, P = 0.001),眼表染色增加(中位数变化1,IQR, 0-1, P = 0.007),角膜缘发红(平均变化0.28±0.36,P = 0.02),睑结膜发红(平均变化0.35±0.36,P = 0.009),睑结膜粗糙度(平均变化0.3±0.4,P = 0.046),泪液破裂时间减少(平均变化0.046)。1.4±2.6秒;P = 0.03)发生。球结膜发红的变化与干燥症状的变化相关(r = 0.70; P = 0.001)。暴露后,大多数参与者的白细胞介素-1β浓度升高(中位数变化,6.6 pg/mL; IQR, 2.2-21.1 pg/mL; P = 0.01)。结论:本研究表明,短期野火烟雾直接影响眼表并诱发症状。翻译相关性:本研究使用了一个独特的封闭实验实验室来模拟眼部暴露于野火烟雾中,并证明有必要阐明抗炎疗法在减轻烟雾对眼表的影响方面的作用。
本文章由计算机程序翻译,如有差异,请以英文原文为准。
求助全文
约1分钟内获得全文 求助全文
来源期刊
Translational Vision Science & Technology
Translational Vision Science & Technology Engineering-Biomedical Engineering
CiteScore
5.70
自引率
3.30%
发文量
346
审稿时长
25 weeks
期刊介绍: Translational Vision Science & Technology (TVST), an official journal of the Association for Research in Vision and Ophthalmology (ARVO), an international organization whose purpose is to advance research worldwide into understanding the visual system and preventing, treating and curing its disorders, is an online, open access, peer-reviewed journal emphasizing multidisciplinary research that bridges the gap between basic research and clinical care. A highly qualified and diverse group of Associate Editors and Editorial Board Members is led by Editor-in-Chief Marco Zarbin, MD, PhD, FARVO. The journal covers a broad spectrum of work, including but not limited to: Applications of stem cell technology for regenerative medicine, Development of new animal models of human diseases, Tissue bioengineering, Chemical engineering to improve virus-based gene delivery, Nanotechnology for drug delivery, Design and synthesis of artificial extracellular matrices, Development of a true microsurgical operating environment, Refining data analysis algorithms to improve in vivo imaging technology, Results of Phase 1 clinical trials, Reverse translational ("bedside to bench") research. TVST seeks manuscripts from scientists and clinicians with diverse backgrounds ranging from basic chemistry to ophthalmic surgery that will advance or change the way we understand and/or treat vision-threatening diseases. TVST encourages the use of color, multimedia, hyperlinks, program code and other digital enhancements.
×
引用
GB/T 7714-2015
复制
MLA
复制
APA
复制
导出至
BibTeX EndNote RefMan NoteFirst NoteExpress
×
提示
您的信息不完整,为了账户安全,请先补充。
现在去补充
×
提示
您因"违规操作"
具体请查看互助需知
我知道了
×
提示
确定
请完成安全验证×
copy
已复制链接
快去分享给好友吧!
我知道了
右上角分享
点击右上角分享
0
联系我们:info@booksci.cn Book学术提供免费学术资源搜索服务,方便国内外学者检索中英文文献。致力于提供最便捷和优质的服务体验。 Copyright © 2023 布克学术 All rights reserved.
京ICP备2023020795号-1
ghs 京公网安备 11010802042870号
Book学术文献互助
Book学术文献互助群
群 号:604180095
Book学术官方微信