Parasite and host contributions to the taxonomic, phylogenetic, and functional beta diversity of small mammalian hosts' flea faunas: A case study with data from four continents

IF 1.4 4区 环境科学与生态学 Q3 ECOLOGY
Boris R. Krasnov, Vasily I. Grabovsky
{"title":"Parasite and host contributions to the taxonomic, phylogenetic, and functional beta diversity of small mammalian hosts' flea faunas: A case study with data from four continents","authors":"Boris R. Krasnov,&nbsp;Vasily I. Grabovsky","doi":"10.1111/1440-1703.12561","DOIUrl":null,"url":null,"abstract":"<p>The taxonomic, phylogenetic, and functional beta diversity (BD<sub>tax</sub>, BD<sub>phy</sub>, and BD<sub>fun</sub>, respectively) of flea faunas across host species, in seven continental sections from four continents, was partitioned into species (=flea) and local (=host) contributions. We asked (a) whether the same flea or host species contributed similarly to taxonomic, phylogenetic, and functional beta diversity within each continental section; (b) which flea and host traits drove their contributions to BD<sub>tax</sub>, BD<sub>phy</sub>, and BD<sub>fun</sub>; and (c) whether the effects of these traits on flea and host contributions differed between continental sections. Although different fleas and hosts contributed differently to each beta diversity facet, contributions of the same species to BD<sub>tax</sub>, BD<sub>phy</sub>, and BD<sub>fun</sub> were similar. The heterogeneity between flea faunas, harbored by different host species, was mainly due to the variation in flea species composition, with the distribution of phylogenetic lineages and functional attributes playing lesser roles. The host contributions to BD<sub>phy</sub> and BD<sub>fun</sub> were driven by phylogenetic and functional similarities between flea species. The relationships between flea traits and their contributions to BD<sub>tax</sub>, BD<sub>phy</sub>, and BD<sub>fun</sub> were weak (if at all), whereas host contributions were mainly associated with the structure of flea faunas in terms of species richness, with the effect of functional host traits being weaker. The main geographic differences in flea and host contributions to BD<sub>tax</sub>, BD<sub>phy</sub>, and BD<sub>fun</sub> were differential associations between these contributions and flea and host functional traits. We concluded that the between-host heterogeneity of flea faunas was driven by the interplay of ecological and historical processes.</p>","PeriodicalId":11434,"journal":{"name":"Ecological Research","volume":"40 5","pages":""},"PeriodicalIF":1.4000,"publicationDate":"2025-06-09","publicationTypes":"Journal Article","fieldsOfStudy":null,"isOpenAccess":false,"openAccessPdf":"","citationCount":"0","resultStr":null,"platform":"Semanticscholar","paperid":null,"PeriodicalName":"Ecological Research","FirstCategoryId":"93","ListUrlMain":"https://esj-journals.onlinelibrary.wiley.com/doi/10.1111/1440-1703.12561","RegionNum":4,"RegionCategory":"环境科学与生态学","ArticlePicture":[],"TitleCN":null,"AbstractTextCN":null,"PMCID":null,"EPubDate":"","PubModel":"","JCR":"Q3","JCRName":"ECOLOGY","Score":null,"Total":0}
引用次数: 0

Abstract

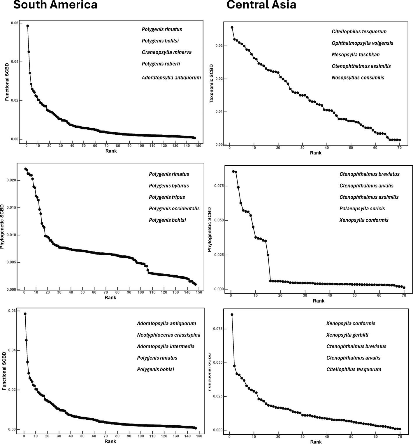
The taxonomic, phylogenetic, and functional beta diversity (BDtax, BDphy, and BDfun, respectively) of flea faunas across host species, in seven continental sections from four continents, was partitioned into species (=flea) and local (=host) contributions. We asked (a) whether the same flea or host species contributed similarly to taxonomic, phylogenetic, and functional beta diversity within each continental section; (b) which flea and host traits drove their contributions to BDtax, BDphy, and BDfun; and (c) whether the effects of these traits on flea and host contributions differed between continental sections. Although different fleas and hosts contributed differently to each beta diversity facet, contributions of the same species to BDtax, BDphy, and BDfun were similar. The heterogeneity between flea faunas, harbored by different host species, was mainly due to the variation in flea species composition, with the distribution of phylogenetic lineages and functional attributes playing lesser roles. The host contributions to BDphy and BDfun were driven by phylogenetic and functional similarities between flea species. The relationships between flea traits and their contributions to BDtax, BDphy, and BDfun were weak (if at all), whereas host contributions were mainly associated with the structure of flea faunas in terms of species richness, with the effect of functional host traits being weaker. The main geographic differences in flea and host contributions to BDtax, BDphy, and BDfun were differential associations between these contributions and flea and host functional traits. We concluded that the between-host heterogeneity of flea faunas was driven by the interplay of ecological and historical processes.

Abstract Image

Abstract Image

Abstract Image

寄生虫和宿主对小型哺乳动物宿主跳蚤区系的分类、系统发育和功能多样性的贡献:来自四大洲数据的案例研究
蚤类的分类、系统发育和功能多样性(分别为BDtax、BDphy和BDfun)划分为种(=蚤)贡献和地(=宿主)贡献。我们问(a)相同的跳蚤或宿主物种是否对每个大陆剖面的分类、系统发育和功能多样性有相似的贡献;(2)蚤类和寄主对BDtax、BDphy和BDfun的贡献;(c)这些性状对蚤类和寄主贡献的影响在不同的大陆区段之间是否存在差异。虽然不同蚤类和寄主对β多样性各方面的贡献不同,但同一物种对BDtax、BDphy和BDfun的贡献是相似的。不同寄主蚤区系间的异质性主要是由于蚤类组成的差异,系统发育谱系和功能属性分布的影响较小。宿主对BDphy和BDfun的贡献是由蚤种之间的系统发育和功能相似性驱动的。蚤类性状与其对BDtax、BDphy和BDfun的贡献关系较弱(如果有),而寄主的贡献在物种丰富度方面主要与蚤类区系结构相关,功能寄主性状的影响较弱。蚤类和寄主对BDtax、BDphy和BDfun贡献的地理差异主要表现为这些贡献与蚤类和寄主功能性状之间的差异关联。结果表明,蚤群寄主间异质性是生态过程和历史过程共同作用的结果。
本文章由计算机程序翻译,如有差异,请以英文原文为准。
求助全文
约1分钟内获得全文 求助全文
来源期刊
Ecological Research
Ecological Research 环境科学-生态学
CiteScore
4.40
自引率
5.00%
发文量
87
审稿时长
5.6 months
期刊介绍: Ecological Research has been published in English by the Ecological Society of Japan since 1986. Ecological Research publishes original papers on all aspects of ecology, in both aquatic and terrestrial ecosystems.
×
引用
GB/T 7714-2015
复制
MLA
复制
APA
复制
导出至
BibTeX EndNote RefMan NoteFirst NoteExpress
×
提示
您的信息不完整,为了账户安全,请先补充。
现在去补充
×
提示
您因"违规操作"
具体请查看互助需知
我知道了
×
提示
确定
请完成安全验证×
copy
已复制链接
快去分享给好友吧!
我知道了
右上角分享
点击右上角分享
0
联系我们:info@booksci.cn Book学术提供免费学术资源搜索服务,方便国内外学者检索中英文文献。致力于提供最便捷和优质的服务体验。 Copyright © 2023 布克学术 All rights reserved.
京ICP备2023020795号-1
ghs 京公网安备 11010802042870号
Book学术文献互助
Book学术文献互助群
群 号:604180095
Book学术官方微信