Staphylococcus aureus–directed liposome for targeted chemotherapy against infection—evaluation of affinity and antibacterial activity

IF 2.6 4区 材料科学 Q3 CHEMISTRY, MULTIDISCIPLINARY
Koki Ogawa, Ayumi Nishi, Naoki Umezawa, Tsunehiko Higuchi, Tetsuya Ozeki
{"title":"Staphylococcus aureus–directed liposome for targeted chemotherapy against infection—evaluation of affinity and antibacterial activity","authors":"Koki Ogawa,&nbsp;Ayumi Nishi,&nbsp;Naoki Umezawa,&nbsp;Tsunehiko Higuchi,&nbsp;Tetsuya Ozeki","doi":"10.1007/s11051-025-06435-7","DOIUrl":null,"url":null,"abstract":"<div><p><i>Staphylococcus aureus</i> is a bacterium well known to cause respiratory infections. Recently, drug delivery via inhalation has garnered attention as a potential route of antibiotic administration owing to its ability to minimize systemic side effects. Liposomal antibiotics can enhance the local drug concentration in the lungs, enable controlled release, and improve biofilm penetration, thereby enhancing efficacy and reducing side effects. However, administration of conventional liposomal formulations for inhalation leads to nonspecific distribution outside the infection site. Accordingly, we developed <i>S. aureus</i>–targeted liposomes with CARG peptides, capable of selectively binding <i>S. aureus</i>, present on the liposome surface. Liposomal surface modification with the CARG peptide via a polyethylene glycol (PEG) spacer selectively increased the affinity toward <i>S. aureus</i>, specifically a 1.6-fold enhanced binding with <i>S. aureus</i>, whereas no such increased binding was observed with <i>Pseudomonas aeruginosa</i> under suspension-culture conditions. Furthermore, CARG liposomes efficiently permeated biofilms owing to the presence of PEG and demonstrated high affinity for <i>S. aureus</i> in biofilms. The antimicrobial activity of CARG liposomes tended to be enhanced when applied to rifampicin-loaded liposomes. These results suggest that the modification of the CARG peptide on the liposomal surface can enhance the targeting ability of <i>S. aureus</i> and its antimicrobial activity.</p><h3>Graphical Abstract</h3>\n<div><figure><div><div><picture><source><img></source></picture></div></div></figure></div></div>","PeriodicalId":653,"journal":{"name":"Journal of Nanoparticle Research","volume":"27 9","pages":""},"PeriodicalIF":2.6000,"publicationDate":"2025-09-09","publicationTypes":"Journal Article","fieldsOfStudy":null,"isOpenAccess":false,"openAccessPdf":"","citationCount":"0","resultStr":null,"platform":"Semanticscholar","paperid":null,"PeriodicalName":"Journal of Nanoparticle Research","FirstCategoryId":"88","ListUrlMain":"https://link.springer.com/article/10.1007/s11051-025-06435-7","RegionNum":4,"RegionCategory":"材料科学","ArticlePicture":[],"TitleCN":null,"AbstractTextCN":null,"PMCID":null,"EPubDate":"","PubModel":"","JCR":"Q3","JCRName":"CHEMISTRY, MULTIDISCIPLINARY","Score":null,"Total":0}
引用次数: 0

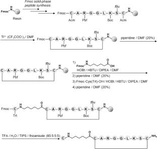
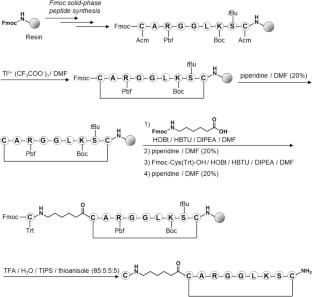
Abstract

Staphylococcus aureus is a bacterium well known to cause respiratory infections. Recently, drug delivery via inhalation has garnered attention as a potential route of antibiotic administration owing to its ability to minimize systemic side effects. Liposomal antibiotics can enhance the local drug concentration in the lungs, enable controlled release, and improve biofilm penetration, thereby enhancing efficacy and reducing side effects. However, administration of conventional liposomal formulations for inhalation leads to nonspecific distribution outside the infection site. Accordingly, we developed S. aureus–targeted liposomes with CARG peptides, capable of selectively binding S. aureus, present on the liposome surface. Liposomal surface modification with the CARG peptide via a polyethylene glycol (PEG) spacer selectively increased the affinity toward S. aureus, specifically a 1.6-fold enhanced binding with S. aureus, whereas no such increased binding was observed with Pseudomonas aeruginosa under suspension-culture conditions. Furthermore, CARG liposomes efficiently permeated biofilms owing to the presence of PEG and demonstrated high affinity for S. aureus in biofilms. The antimicrobial activity of CARG liposomes tended to be enhanced when applied to rifampicin-loaded liposomes. These results suggest that the modification of the CARG peptide on the liposomal surface can enhance the targeting ability of S. aureus and its antimicrobial activity.

Graphical Abstract

Abstract Image

Abstract Image

金黄色葡萄球菌定向脂质体用于靶向化疗抗感染-亲和力和抗菌活性评价
金黄色葡萄球菌是一种众所周知会引起呼吸道感染的细菌。最近,通过吸入给药作为一种潜在的抗生素给药途径引起了人们的关注,因为它能够最大限度地减少全身副作用。脂质体抗生素可以提高药物在肺部的局部浓度,实现控释,改善生物膜渗透,从而提高疗效,减少副作用。然而,传统的吸入脂质体制剂会导致感染部位外的非特异性分布。因此,我们开发了具有CARG肽的靶向金黄色葡萄球菌脂质体,能够选择性地结合存在于脂质体表面的金黄色葡萄球菌。通过聚乙二醇(PEG)间隔物修饰CARG肽的脂质体表面选择性地增加了对金黄色葡萄球菌的亲和力,特别是与金黄色葡萄球菌的结合增强了1.6倍,而在悬浮培养条件下,与铜绿假单胞菌的结合没有增加。此外,由于PEG的存在,CARG脂质体可以有效地渗透生物膜,并在生物膜中表现出对金黄色葡萄球菌的高亲和力。CARG脂质体与负载利福平的脂质体作用时,其抑菌活性有增强的趋势。这些结果表明,在脂质体表面修饰CARG肽可以增强金黄色葡萄球菌的靶向能力和抗菌活性。图形抽象
本文章由计算机程序翻译,如有差异,请以英文原文为准。
求助全文
约1分钟内获得全文 求助全文
来源期刊
Journal of Nanoparticle Research
Journal of Nanoparticle Research 工程技术-材料科学:综合
CiteScore
4.40
自引率
4.00%
发文量
198
审稿时长
3.9 months
期刊介绍: The objective of the Journal of Nanoparticle Research is to disseminate knowledge of the physical, chemical and biological phenomena and processes in structures that have at least one lengthscale ranging from molecular to approximately 100 nm (or submicron in some situations), and exhibit improved and novel properties that are a direct result of their small size. Nanoparticle research is a key component of nanoscience, nanoengineering and nanotechnology. The focus of the Journal is on the specific concepts, properties, phenomena, and processes related to particles, tubes, layers, macromolecules, clusters and other finite structures of the nanoscale size range. Synthesis, assembly, transport, reactivity, and stability of such structures are considered. Development of in-situ and ex-situ instrumentation for characterization of nanoparticles and their interfaces should be based on new principles for probing properties and phenomena not well understood at the nanometer scale. Modeling and simulation may include atom-based quantum mechanics; molecular dynamics; single-particle, multi-body and continuum based models; fractals; other methods suitable for modeling particle synthesis, assembling and interaction processes. Realization and application of systems, structures and devices with novel functions obtained via precursor nanoparticles is emphasized. Approaches may include gas-, liquid-, solid-, and vacuum-based processes, size reduction, chemical- and bio-self assembly. Contributions include utilization of nanoparticle systems for enhancing a phenomenon or process and particle assembling into hierarchical structures, as well as formulation and the administration of drugs. Synergistic approaches originating from different disciplines and technologies, and interaction between the research providers and users in this field, are encouraged.
×
引用
GB/T 7714-2015
复制
MLA
复制
APA
复制
导出至
BibTeX EndNote RefMan NoteFirst NoteExpress
×
提示
您的信息不完整,为了账户安全,请先补充。
现在去补充
×
提示
您因"违规操作"
具体请查看互助需知
我知道了
×
提示
确定
请完成安全验证×
copy
已复制链接
快去分享给好友吧!
我知道了
右上角分享
点击右上角分享
0
联系我们:info@booksci.cn Book学术提供免费学术资源搜索服务,方便国内外学者检索中英文文献。致力于提供最便捷和优质的服务体验。 Copyright © 2023 布克学术 All rights reserved.
京ICP备2023020795号-1
ghs 京公网安备 11010802042870号
Book学术文献互助
Book学术文献互助群
群 号:604180095
Book学术官方微信