Sleep disordered breathing and circulating non-esterified fatty acids: the cardiovascular health study.

Peter Ahiawodzi, Russell P Tracy, Jorge R Kizer, Susan Redline, Luc Djousse, Kenneth J Mukamal
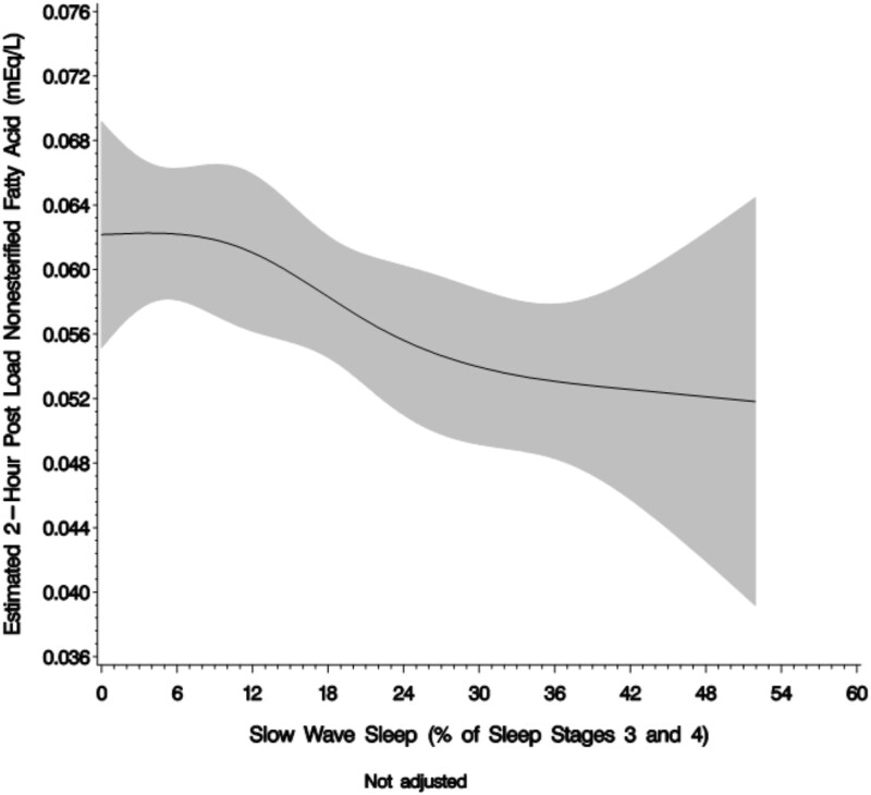
{"title":"Sleep disordered breathing and circulating non-esterified fatty acids: the cardiovascular health study.","authors":"Peter Ahiawodzi, Russell P Tracy, Jorge R Kizer, Susan Redline, Luc Djousse, Kenneth J Mukamal","doi":"10.1093/sleepadvances/zpaf042","DOIUrl":null,"url":null,"abstract":"<p><strong>Study objectives: </strong>Circulating non-esterified fatty acids (NEFAs) have been associated with impaired glucose metabolism but their modifiable determinants remain uncertain. We sought to determine the association between objectively-measured sleep disordered breathing (SDB), which is also associated with dysglycemia, and NEFA levels among community-dwelling older adults.</p><p><strong>Methods: </strong>We analyzed 787 older adults who had total fasting and post-load NEFAs measured in 1996-1997 in the Cardiovascular Health Study and underwent polysomnography between 1995 and 1997 in the Sleep Heart Health Study. We used multivariable linear regression to model NEFAs as a function of four SDB parameters: apnea-hypopnea index, arousal index, hypoxemia, and slow-wave sleep, and tested formal mediating effects by insulin sensitivity estimated with the Gutt index.</p><p><strong>Results: </strong>The mean age of study participants was 77.5 ± 4.3 years. The proportion of females and non-Hispanic whites was 58.7 per cent and 84.2 per cent, respectively. We did not find statistically significant associations between any of the SDB parameters and fasting NEFAs, but higher amounts of slow-wave sleep were significantly associated in a linear fashion with lower total post-load NEFAs in unadjusted and adjusted models [adjusted: β = -0.004, SE = 0.001, <i>p</i> = .02]. In mediation analyzes, 10 per cent of the slow wave sleep-NEFA association was mediated by Gutt-estimated insulin sensitivity (<i>p</i> = .45 for the indirect effect).</p><p><strong>Conclusions: </strong>Among the SDB measures studied, only higher levels of objectively measured slow-wave sleep were significantly associated with lower levels of post-load NEFAs, although the underlying mechanism is uncertain. Establishing a causal link would make SDB interventions a promising target for NEFA regulation.</p>","PeriodicalId":74808,"journal":{"name":"Sleep advances : a journal of the Sleep Research Society","volume":"6 3","pages":"zpaf042"},"PeriodicalIF":0.0000,"publicationDate":"2025-07-03","publicationTypes":"Journal Article","fieldsOfStudy":null,"isOpenAccess":false,"openAccessPdf":"https://www.ncbi.nlm.nih.gov/pmc/articles/PMC12413862/pdf/","citationCount":"0","resultStr":null,"platform":"Semanticscholar","paperid":null,"PeriodicalName":"Sleep advances : a journal of the Sleep Research Society","FirstCategoryId":"1085","ListUrlMain":"https://doi.org/10.1093/sleepadvances/zpaf042","RegionNum":0,"RegionCategory":null,"ArticlePicture":[],"TitleCN":null,"AbstractTextCN":null,"PMCID":null,"EPubDate":"2025/1/1 0:00:00","PubModel":"eCollection","JCR":"","JCRName":"","Score":null,"Total":0}
引用次数: 0

Abstract

Study objectives: Circulating non-esterified fatty acids (NEFAs) have been associated with impaired glucose metabolism but their modifiable determinants remain uncertain. We sought to determine the association between objectively-measured sleep disordered breathing (SDB), which is also associated with dysglycemia, and NEFA levels among community-dwelling older adults.

Methods: We analyzed 787 older adults who had total fasting and post-load NEFAs measured in 1996-1997 in the Cardiovascular Health Study and underwent polysomnography between 1995 and 1997 in the Sleep Heart Health Study. We used multivariable linear regression to model NEFAs as a function of four SDB parameters: apnea-hypopnea index, arousal index, hypoxemia, and slow-wave sleep, and tested formal mediating effects by insulin sensitivity estimated with the Gutt index.

Results: The mean age of study participants was 77.5 ± 4.3 years. The proportion of females and non-Hispanic whites was 58.7 per cent and 84.2 per cent, respectively. We did not find statistically significant associations between any of the SDB parameters and fasting NEFAs, but higher amounts of slow-wave sleep were significantly associated in a linear fashion with lower total post-load NEFAs in unadjusted and adjusted models [adjusted: β = -0.004, SE = 0.001, p = .02]. In mediation analyzes, 10 per cent of the slow wave sleep-NEFA association was mediated by Gutt-estimated insulin sensitivity (p = .45 for the indirect effect).

Conclusions: Among the SDB measures studied, only higher levels of objectively measured slow-wave sleep were significantly associated with lower levels of post-load NEFAs, although the underlying mechanism is uncertain. Establishing a causal link would make SDB interventions a promising target for NEFA regulation.

Abstract Image

睡眠呼吸障碍和循环非酯化脂肪酸:心血管健康研究。
研究目的:循环非酯化脂肪酸(NEFAs)与糖代谢受损有关,但其可改变的决定因素仍不确定。我们试图确定客观测量的睡眠呼吸障碍(SDB)(也与血糖异常有关)与社区居住老年人中NEFA水平之间的关系。方法:我们分析了1996-1997年在心血管健康研究中测量的总空腹和负荷后NEFAs的787名老年人,并在1995 -1997年在睡眠心脏健康研究中进行了多道睡眠描记术。我们使用多变量线性回归模型将NEFAs作为四个SDB参数的函数:呼吸暂停-低通气指数、觉醒指数、低氧血症和慢波睡眠,并通过Gutt指数估计胰岛素敏感性来检验正式的中介作用。结果:研究参与者的平均年龄为77.5±4.3岁。女性和非西班牙裔白人的比例分别为58.7%和84.2%。我们没有发现任何SDB参数与空腹NEFAs之间有统计学意义的关联,但在未调整和调整的模型中,较长的慢波睡眠与较低的总负荷后NEFAs呈显著线性相关[调整:β = -0.004, SE = 0.001, p = 0.02]。在中介分析中,10%的慢波睡眠- nefa关联是由gutt估计的胰岛素敏感性介导的(p =。间接效应为45)。结论:在研究的SDB测量中,只有较高水平的客观慢波睡眠与较低水平的负荷后NEFAs显著相关,尽管其潜在机制尚不清楚。建立因果关系将使深发展干预成为NEFA监管的一个有希望的目标。
本文章由计算机程序翻译,如有差异,请以英文原文为准。
求助全文
约1分钟内获得全文 求助全文
来源期刊
CiteScore
2.10
自引率
0.00%
发文量
0
×
引用
GB/T 7714-2015
复制
MLA
复制
APA
复制
导出至
BibTeX EndNote RefMan NoteFirst NoteExpress
×
提示
您的信息不完整,为了账户安全,请先补充。
现在去补充
×
提示
您因"违规操作"
具体请查看互助需知
我知道了
×
提示
确定
请完成安全验证×
copy
已复制链接
快去分享给好友吧!
我知道了
右上角分享
点击右上角分享
0
联系我们:info@booksci.cn Book学术提供免费学术资源搜索服务,方便国内外学者检索中英文文献。致力于提供最便捷和优质的服务体验。 Copyright © 2023 布克学术 All rights reserved.
京ICP备2023020795号-1
ghs 京公网安备 11010802042870号
Book学术文献互助
Book学术文献互助群
群 号:604180095
Book学术官方微信