Polarization-Dependent Multiphoton-Excited Self-Trapped Emission in Alloyed 0D Rb7Bi3Cl16 Metal Halides via Sb3+ Doping.

IF 8.3 Q1 MATERIALS SCIENCE, MULTIDISCIPLINARY
Small Science Pub Date : 2025-06-21 eCollection Date: 2025-09-01 DOI:10.1002/smsc.202500261
Si Xiao, Haixia Zhu, Yao Liu, Zhaozhe Chen, Defeng Xu, Weichang Zhou, Zhihui Chen, Shan Liang, Hui Tong, Xueyi Guo, Jun He
{"title":"Polarization-Dependent Multiphoton-Excited Self-Trapped Emission in Alloyed 0D Rb<sub>7</sub>Bi<sub>3</sub>Cl<sub>16</sub> Metal Halides via Sb<sup>3+</sup> Doping.","authors":"Si Xiao, Haixia Zhu, Yao Liu, Zhaozhe Chen, Defeng Xu, Weichang Zhou, Zhihui Chen, Shan Liang, Hui Tong, Xueyi Guo, Jun He","doi":"10.1002/smsc.202500261","DOIUrl":null,"url":null,"abstract":"<p><p>Regulating the electronic structure by doping can promote photoluminescence emission of low-dimensional metal halides for developing white-light-emitting devices. Here, 0D metal halides Rb<sub>7</sub>Bi<sub>3</sub>Cl<sub>16</sub> have achieved a transition from nonluminescence to effective self-trapped excitons (STEs) emission after Sb<sup>3+</sup> ion doping at room temperature. The femtosecond transient absorption spectrum reveals the nonradiative recombination was suppressed, whose lifetimes change from 93.9 ps to 3.6 ns after doping Sb<sup>3+</sup> ion. Moreover, the Rb<sub>7</sub>Bi<sub>3</sub>Cl<sub>16</sub>:Sb<sup>3+</sup> exhibits polarization-dependent two-photon photoluminescence and three-photon photoluminescence in the excitation wavelength range of 900-1200 nm, which further confirmed that STEs emission is extrinsic STEs by lattice deformation rather than defects. This work suggests that Sb<sup>3+</sup> ion doping can effectively improve the luminescence properties of low-dimensional metal halides and promote the application potential in high-order nonlinear photoelectric field.</p>","PeriodicalId":29791,"journal":{"name":"Small Science","volume":"5 9","pages":"2500261"},"PeriodicalIF":8.3000,"publicationDate":"2025-06-21","publicationTypes":"Journal Article","fieldsOfStudy":null,"isOpenAccess":false,"openAccessPdf":"https://www.ncbi.nlm.nih.gov/pmc/articles/PMC12412464/pdf/","citationCount":"0","resultStr":null,"platform":"Semanticscholar","paperid":null,"PeriodicalName":"Small Science","FirstCategoryId":"1085","ListUrlMain":"https://doi.org/10.1002/smsc.202500261","RegionNum":0,"RegionCategory":null,"ArticlePicture":[],"TitleCN":null,"AbstractTextCN":null,"PMCID":null,"EPubDate":"2025/9/1 0:00:00","PubModel":"eCollection","JCR":"Q1","JCRName":"MATERIALS SCIENCE, MULTIDISCIPLINARY","Score":null,"Total":0}
引用次数: 0

Abstract

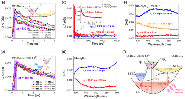
Regulating the electronic structure by doping can promote photoluminescence emission of low-dimensional metal halides for developing white-light-emitting devices. Here, 0D metal halides Rb7Bi3Cl16 have achieved a transition from nonluminescence to effective self-trapped excitons (STEs) emission after Sb3+ ion doping at room temperature. The femtosecond transient absorption spectrum reveals the nonradiative recombination was suppressed, whose lifetimes change from 93.9 ps to 3.6 ns after doping Sb3+ ion. Moreover, the Rb7Bi3Cl16:Sb3+ exhibits polarization-dependent two-photon photoluminescence and three-photon photoluminescence in the excitation wavelength range of 900-1200 nm, which further confirmed that STEs emission is extrinsic STEs by lattice deformation rather than defects. This work suggests that Sb3+ ion doping can effectively improve the luminescence properties of low-dimensional metal halides and promote the application potential in high-order nonlinear photoelectric field.

Abstract Image

Abstract Image

Abstract Image

Sb3+掺杂下合金0D Rb7Bi3Cl16金属卤化物的偏振相关多光子激发自捕获发射
通过掺杂调节电子结构可以促进低维金属卤化物的光致发光,从而开发白光器件。在此,0D金属卤化物Rb7Bi3Cl16在Sb3+离子掺杂后,在室温下实现了从非发光到有效自捕获激子(STEs)发射的转变。飞秒瞬态吸收光谱表明,Sb3+离子的掺杂抑制了非辐射复合,其寿命从93.9 ps提高到3.6 ns。此外,Rb7Bi3Cl16:Sb3+在900 ~ 1200 nm激发波长范围内表现出极化依赖的双光子光致发光和三光子光致发光,进一步证实了STEs是由晶格变形而非缺陷发射的外源性STEs。研究表明,Sb3+离子掺杂能有效改善低维金属卤化物的发光性能,提高其在高阶非线性光电领域的应用潜力。
本文章由计算机程序翻译,如有差异,请以英文原文为准。
求助全文
约1分钟内获得全文 求助全文
来源期刊
CiteScore
14.00
自引率
2.40%
发文量
0
期刊介绍: Small Science is a premium multidisciplinary open access journal dedicated to publishing impactful research from all areas of nanoscience and nanotechnology. It features interdisciplinary original research and focused review articles on relevant topics. The journal covers design, characterization, mechanism, technology, and application of micro-/nanoscale structures and systems in various fields including physics, chemistry, materials science, engineering, environmental science, life science, biology, and medicine. It welcomes innovative interdisciplinary research and its readership includes professionals from academia and industry in fields such as chemistry, physics, materials science, biology, engineering, and environmental and analytical science. Small Science is indexed and abstracted in CAS, DOAJ, Clarivate Analytics, ProQuest Central, Publicly Available Content Database, Science Database, SCOPUS, and Web of Science.
×
引用
GB/T 7714-2015
复制
MLA
复制
APA
复制
导出至
BibTeX EndNote RefMan NoteFirst NoteExpress
×
提示
您的信息不完整,为了账户安全,请先补充。
现在去补充
×
提示
您因"违规操作"
具体请查看互助需知
我知道了
×
提示
确定
请完成安全验证×
copy
已复制链接
快去分享给好友吧!
我知道了
右上角分享
点击右上角分享
0
联系我们:info@booksci.cn Book学术提供免费学术资源搜索服务,方便国内外学者检索中英文文献。致力于提供最便捷和优质的服务体验。 Copyright © 2023 布克学术 All rights reserved.
京ICP备2023020795号-1
ghs 京公网安备 11010802042870号
Book学术文献互助
Book学术文献互助群
群 号:604180095
Book学术官方微信