Reliability and validity of applying Kirkpatrick model for evaluating exercise rehabilitation program.

IF 1.6 Q3 REHABILITATION
Journal of Exercise Rehabilitation Pub Date : 2025-08-31 eCollection Date: 2025-08-01 DOI:10.12965/jer.2550428.214
Ji-Eun Yu
{"title":"Reliability and validity of applying Kirkpatrick model for evaluating exercise rehabilitation program.","authors":"Ji-Eun Yu","doi":"10.12965/jer.2550428.214","DOIUrl":null,"url":null,"abstract":"<p><p>This study aimed to evaluate the reliability and validity of the Kirkpatrick four-level questionnaire-comprising reaction (R), learning (L), behavior (B), and results (Res)-in the context of an exercise rehabilitation program. A total of 141 university students, aged 21 to 25, participated in a 15-week exercise rehabilitation program. Intrarater reliability was assessed using the intraclass correlation coefficient (ICC) in a pre-posttest setup and analyzed through Bland-Altman plots. Convergent validity was examined using Pearson correlation. The results of this study were as follows. 'R,' consisting of six questions, showed an ICC ranging from 0.954 to 0.990. 'L,' composed of seven questions, demonstrated an ICC between 0.883 and 0.978. 'B,' made up of five questions, displayed an ICC ranging from 0.859 to 0.974. Additionally, 'Res,' consisting of five questions, showed an ICC between 0.834 and 0.926. Significant correlations were observed among all 23 items (<i>P</i><0.001), suggesting that the application of the Kirkpatrick model to evaluate the exercise rehabilitation program demonstrates strong reliability and validity. These findings suggest that the evaluation metrics can effectively monitor program outcomes at each level through the application of the Kirkpatrick model.</p>","PeriodicalId":15771,"journal":{"name":"Journal of Exercise Rehabilitation","volume":"21 4","pages":"200-209"},"PeriodicalIF":1.6000,"publicationDate":"2025-08-31","publicationTypes":"Journal Article","fieldsOfStudy":null,"isOpenAccess":false,"openAccessPdf":"https://www.ncbi.nlm.nih.gov/pmc/articles/PMC12409149/pdf/","citationCount":"0","resultStr":null,"platform":"Semanticscholar","paperid":null,"PeriodicalName":"Journal of Exercise Rehabilitation","FirstCategoryId":"1085","ListUrlMain":"https://doi.org/10.12965/jer.2550428.214","RegionNum":0,"RegionCategory":null,"ArticlePicture":[],"TitleCN":null,"AbstractTextCN":null,"PMCID":null,"EPubDate":"2025/8/1 0:00:00","PubModel":"eCollection","JCR":"Q3","JCRName":"REHABILITATION","Score":null,"Total":0}
引用次数: 0

Abstract

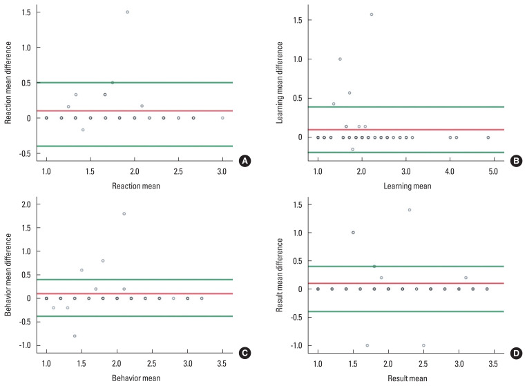
This study aimed to evaluate the reliability and validity of the Kirkpatrick four-level questionnaire-comprising reaction (R), learning (L), behavior (B), and results (Res)-in the context of an exercise rehabilitation program. A total of 141 university students, aged 21 to 25, participated in a 15-week exercise rehabilitation program. Intrarater reliability was assessed using the intraclass correlation coefficient (ICC) in a pre-posttest setup and analyzed through Bland-Altman plots. Convergent validity was examined using Pearson correlation. The results of this study were as follows. 'R,' consisting of six questions, showed an ICC ranging from 0.954 to 0.990. 'L,' composed of seven questions, demonstrated an ICC between 0.883 and 0.978. 'B,' made up of five questions, displayed an ICC ranging from 0.859 to 0.974. Additionally, 'Res,' consisting of five questions, showed an ICC between 0.834 and 0.926. Significant correlations were observed among all 23 items (P<0.001), suggesting that the application of the Kirkpatrick model to evaluate the exercise rehabilitation program demonstrates strong reliability and validity. These findings suggest that the evaluation metrics can effectively monitor program outcomes at each level through the application of the Kirkpatrick model.

Abstract Image

Abstract Image

应用Kirkpatrick模型评价运动康复方案的信度和效度。
本研究旨在评估Kirkpatrick四级问卷(包括反应(R),学习(L),行为(B)和结果(Res))在运动康复计划背景下的信度和效度。141名21至25岁的大学生参加了为期15周的运动康复项目。在前-后检验设置中使用类内相关系数(ICC)评估后验信度,并通过Bland-Altman图进行分析。采用Pearson相关检验收敛效度。本研究结果如下:“R”由6个问题组成,其ICC值在0.954到0.990之间。“L”由7个问题组成,ICC在0.883 ~ 0.978之间。由5个问题组成的“B”的ICC值从0.859到0.974不等。此外,由5个问题组成的“Res”的ICC值在0.834 ~ 0.926之间。所有23个项目之间均存在显著相关性(P
本文章由计算机程序翻译,如有差异,请以英文原文为准。
求助全文
约1分钟内获得全文 求助全文
来源期刊
CiteScore
3.50
自引率
5.30%
发文量
45
审稿时长
10 weeks
期刊介绍: The Journal of Exercise Rehabilitation is the official journal of the Korean Society of Exercise Rehabilitation, and is published six times a year. Supplementary issues may be published. Its official abbreviation is "J Exerc Rehabil". It was launched in 2005. The title of the first volume was Journal of the Korean Society of Exercise Rehabilitation (pISSN 1976-6319). The journal title was changed to Journal of Exercise Rehabilitation from Volume 9 Number 2, 2013. The effects of exercise rehabilitation are very broad and in some cases exercise rehabilitation has different treatment areas than traditional rehabilitation. Exercise rehabilitation can be presented as a solution to new diseases in modern society and it can replace traditional medicine in economically disadvantaged areas. Exercise rehabilitation is very effective in overcoming metabolic diseases and also has no side effects. Furthermore, exercise rehabilitation shows new possibility for neuropsychiatric diseases, such as depression, autism, attention deficit hyperactivity disorder, schizophrenia, etc. The purpose of the Journal of Exercise Rehabilitation is to identify the effects of exercise rehabilitation on a variety of diseases and to identify mechanisms for exercise rehabilitation treatment. The Journal of Exercise Rehabilitation aims to serve as an intermediary for objective and scientific validation on the effects of exercise rehabilitation worldwide. The types of manuscripts include research articles, review articles, and articles invited by the Editorial Board. The Journal of Exercise Rehabilitation contains 6 sections: Basic research on exercise rehabilitation, Clinical research on exercise rehabilitation, Exercise rehabilitation pedagogy, Exercise rehabilitation education, Exercise rehabilitation psychology, and Exercise rehabilitation welfare.
×
引用
GB/T 7714-2015
复制
MLA
复制
APA
复制
导出至
BibTeX EndNote RefMan NoteFirst NoteExpress
×
提示
您的信息不完整,为了账户安全,请先补充。
现在去补充
×
提示
您因"违规操作"
具体请查看互助需知
我知道了
×
提示
确定
请完成安全验证×
copy
已复制链接
快去分享给好友吧!
我知道了
右上角分享
点击右上角分享
0
联系我们:info@booksci.cn Book学术提供免费学术资源搜索服务,方便国内外学者检索中英文文献。致力于提供最便捷和优质的服务体验。 Copyright © 2023 布克学术 All rights reserved.
京ICP备2023020795号-1
ghs 京公网安备 11010802042870号
Book学术文献互助
Book学术文献互助群
群 号:604180095
Book学术官方微信