Age-related insulin resistance changes in children and adolescents and its impact on the accuracy of diagnosis of metabolic syndrome.

IF 3.3 Q3 ENDOCRINOLOGY & METABOLISM
Insung Kim, Kyu-Na Lee, Juyoung Sung, Yoon Ji Ahn, Minji Im, Kyungdo Han, Sung Yoon Cho
{"title":"Age-related insulin resistance changes in children and adolescents and its impact on the accuracy of diagnosis of metabolic syndrome.","authors":"Insung Kim, Kyu-Na Lee, Juyoung Sung, Yoon Ji Ahn, Minji Im, Kyungdo Han, Sung Yoon Cho","doi":"10.6065/apem.2448180.090","DOIUrl":null,"url":null,"abstract":"<p><strong>Purpose: </strong>Although insulin resistance (IR) varies with age and puberty in children and adolescents, most previous attempts to determine cutoff values for IR indices overlook factor. This study assesses age-related differences in IR index values and evaluates how diagnostic performance varies by age when using a uniform cutoff for diagnosing metabolic syndrome (MetS) without considering age.</p><p><strong>Methods: </strong>We analyzed age-related differences in IR indices (the homeostatic model assessment of insulin resistance [HOMA-IR], triglyceride-glucose [TyG] index, and triglyceride/high-density lipoprotein cholesterol [TG/HDL-C] ratio) among 1,641 participants in the 2019-2021 Korea National Health and Nutrition Examination Survey. We also examined IR index values for diagnosing MetS in 1,574 participants.</p><p><strong>Results: </strong>IR indices showed significant age-related variations in group-comparison tests, with a peak at ages 12-13 years in males and 11-13 years in females (P&lt;0.001 for the HOMA-IR, P&lt;0.005 for the TG/HDL-C ratio in both males and females, and P=0.003 for the TyG index in females). Applying a uniform cutoff derived from receiver operating characteristic curve analysis for diagnosing MetS showed substantial age-related variation in diagnostic accuracy, with standard deviation-to-mean ratios of age-specific accuracy of &gt;10% for the HOMA-IR and &gt;5% for the TyG index, while showing minor variation (&lt;5%) for the TG/HDL-C ratio. Using age-specific percentiles for the HOMA-IR (80th of the general population) and TyG index (80th of those without MetS) reduced these variations to &lt;5% while maintaining similar diagnostic performance.</p><p><strong>Conclusion: </strong>This study highlights the importance of age-related variation in IR in children and adolescents.</p>","PeriodicalId":44915,"journal":{"name":"Annals of Pediatric Endocrinology & Metabolism","volume":"30 4","pages":"213-222"},"PeriodicalIF":3.3000,"publicationDate":"2025-08-01","publicationTypes":"Journal Article","fieldsOfStudy":null,"isOpenAccess":false,"openAccessPdf":"https://www.ncbi.nlm.nih.gov/pmc/articles/PMC12415277/pdf/","citationCount":"0","resultStr":null,"platform":"Semanticscholar","paperid":null,"PeriodicalName":"Annals of Pediatric Endocrinology & Metabolism","FirstCategoryId":"1085","ListUrlMain":"https://doi.org/10.6065/apem.2448180.090","RegionNum":0,"RegionCategory":null,"ArticlePicture":[],"TitleCN":null,"AbstractTextCN":null,"PMCID":null,"EPubDate":"2025/8/31 0:00:00","PubModel":"Epub","JCR":"Q3","JCRName":"ENDOCRINOLOGY & METABOLISM","Score":null,"Total":0}
引用次数: 0

Abstract

Purpose: Although insulin resistance (IR) varies with age and puberty in children and adolescents, most previous attempts to determine cutoff values for IR indices overlook factor. This study assesses age-related differences in IR index values and evaluates how diagnostic performance varies by age when using a uniform cutoff for diagnosing metabolic syndrome (MetS) without considering age.

Methods: We analyzed age-related differences in IR indices (the homeostatic model assessment of insulin resistance [HOMA-IR], triglyceride-glucose [TyG] index, and triglyceride/high-density lipoprotein cholesterol [TG/HDL-C] ratio) among 1,641 participants in the 2019-2021 Korea National Health and Nutrition Examination Survey. We also examined IR index values for diagnosing MetS in 1,574 participants.

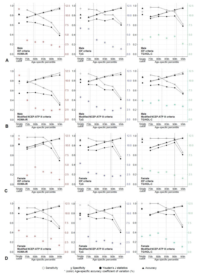
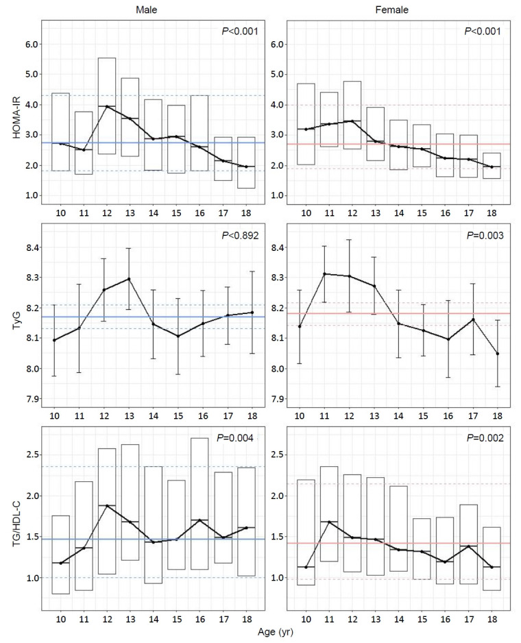
Results: IR indices showed significant age-related variations in group-comparison tests, with a peak at ages 12-13 years in males and 11-13 years in females (P<0.001 for the HOMA-IR, P<0.005 for the TG/HDL-C ratio in both males and females, and P=0.003 for the TyG index in females). Applying a uniform cutoff derived from receiver operating characteristic curve analysis for diagnosing MetS showed substantial age-related variation in diagnostic accuracy, with standard deviation-to-mean ratios of age-specific accuracy of >10% for the HOMA-IR and >5% for the TyG index, while showing minor variation (<5%) for the TG/HDL-C ratio. Using age-specific percentiles for the HOMA-IR (80th of the general population) and TyG index (80th of those without MetS) reduced these variations to <5% while maintaining similar diagnostic performance.

Conclusion: This study highlights the importance of age-related variation in IR in children and adolescents.

Abstract Image

Abstract Image

Abstract Image

儿童和青少年年龄相关性胰岛素抵抗变化及其对代谢综合征诊断准确性的影响
目的:虽然儿童和青少年的胰岛素抵抗(IR)随年龄和青春期而变化,但大多数先前确定IR指标临界值的尝试都忽略了这一因素。本研究评估了IR指数值的年龄相关差异,并评估了在不考虑年龄的情况下使用统一截止值诊断代谢综合征(MetS)时,诊断性能如何随年龄变化。方法:我们分析了2019-2021年韩国国民健康与营养调查中1,641名参与者的IR指数(胰岛素抵抗的稳态模型评估[HOMA-IR]、甘油三酯-葡萄糖[TyG]指数和甘油三酯/高密度脂蛋白胆固醇[TG/HDL-C]比率)的年龄相关差异。我们还检查了1574名参与者中用于诊断MetS的IR指数值。结果:在组比较试验中,IR指数显示出显著的年龄相关性变化,男性在12-13岁达到峰值,女性在11-13岁达到峰值(P<; HOMA-IR为0.001,男女TG/HDL-C比值为0.005,女性TyG指数为P=0.003)。应用由受试者工作特征曲线分析得出的统一截止值来诊断MetS,结果显示诊断准确性存在显著的年龄相关差异,HOMA-IR和TyG指数的年龄特异性准确率的标准差与平均值之比分别为10%和5%,而TG/HDL-C比值的变化较小(5%)。使用年龄特异性百分位数的HOMA-IR(占总人口的80%)和TyG指数(占无MetS人群的80%)将这些差异减少到5%,同时保持相似的诊断性能。结论:本研究强调了儿童和青少年IR年龄相关变化的重要性。
本文章由计算机程序翻译,如有差异,请以英文原文为准。
求助全文
约1分钟内获得全文 求助全文
来源期刊
CiteScore
4.00
自引率
18.20%
发文量
59
审稿时长
24 weeks
期刊介绍: The Annals of Pediatric Endocrinology & Metabolism Journal is the official publication of the Korean Society of Pediatric Endocrinology. Its formal abbreviated title is “Ann Pediatr Endocrinol Metab”. It is a peer-reviewed open access journal of medicine published in English. The journal was launched in 1996 under the title of ‘Journal of Korean Society of Pediatric Endocrinology’ until 2011 (pISSN 1226-2242). Since 2012, the title is now changed to ‘Annals of Pediatric Endocrinology & Metabolism’. The Journal is published four times per year on the last day of March, June, September, and December. It is widely distributed for free to members of the Korean Society of Pediatric Endocrinology, medical schools, libraries, and academic institutions. The journal is indexed/tracked/covered by web sites of PubMed Central, PubMed, Emerging Sources Citation Index (ESCI), Scopus, EBSCO, EMBASE, KoreaMed, KoMCI, KCI, Science Central, DOI/CrossRef, Directory of Open Access Journals(DOAJ), and Google Scholar. The aims of Annals of Pediatric Endocrinology & Metabolism are to contribute to the advancements in the fields of pediatric endocrinology & metabolism through the scientific reviews and interchange of all of pediatric endocrinology and metabolism. It aims to reflect the latest clinical, translational, and basic research trends from worldwide valuable achievements. In addition, genome research, epidemiology, public education and clinical practice guidelines in each country are welcomed for publication. The Journal particularly focuses on research conducted with Asian-Pacific children whose genetic and environmental backgrounds are different from those of the Western. Area of specific interest include the following : Growth, puberty, glucose metabolism including diabetes mellitus, obesity, nutrition, disorders of sexual development, pituitary, thyroid, parathyroid, adrenal cortex, bone or other endocrine and metabolic disorders from infancy through adolescence.
×
引用
GB/T 7714-2015
复制
MLA
复制
APA
复制
导出至
BibTeX EndNote RefMan NoteFirst NoteExpress
×
提示
您的信息不完整,为了账户安全,请先补充。
现在去补充
×
提示
您因"违规操作"
具体请查看互助需知
我知道了
×
提示
确定
请完成安全验证×
copy
已复制链接
快去分享给好友吧!
我知道了
右上角分享
点击右上角分享
0
联系我们:info@booksci.cn Book学术提供免费学术资源搜索服务,方便国内外学者检索中英文文献。致力于提供最便捷和优质的服务体验。 Copyright © 2023 布克学术 All rights reserved.
京ICP备2023020795号-1
ghs 京公网安备 11010802042870号
Book学术文献互助
Book学术文献互助群
群 号:604180095
Book学术官方微信