Improving the thermoelectric power factor of PEDOT:PSS with 4,4'-bipyridine and LiBF 4.

Open research Europe Pub Date : 2025-08-04 eCollection Date: 2025-01-01 DOI:10.12688/openreseurope.20654.1
Md Mahmudur Rahman, Mauricio Solis-de la Fuente, Lourdes Márquez-García, Sergio Castro-Ruiz, Estelle Liautaud, Lucie Fournier, Camille Chatard, Agathe Bouvet-Marchand, Mario Culebras, Jorge García-Cañadas
{"title":"Improving the thermoelectric power factor of PEDOT:PSS with 4,4'-bipyridine and LiBF <sub>4</sub>.","authors":"Md Mahmudur Rahman, Mauricio Solis-de la Fuente, Lourdes Márquez-García, Sergio Castro-Ruiz, Estelle Liautaud, Lucie Fournier, Camille Chatard, Agathe Bouvet-Marchand, Mario Culebras, Jorge García-Cañadas","doi":"10.12688/openreseurope.20654.1","DOIUrl":null,"url":null,"abstract":"<p><strong>Background: </strong>Thermoelectric (TE) materials can directly convert heat into electricity, which is beneficial for energy sustainability. Organic conducting polymers are TE materials that have drawn significant attention owing to different favorable properties, such as good processability, availability, flexibility, and intrinsically low thermal conductivity. Among the organic TEs, poly(3,4-ethylenedioxythiophene):polystyrene sulfonate (PEDOT:PSS) is the most extensively investigated material because of its stability and high electrical conductivity. The power factor ( <i>PF</i>) of PEDOT:PSS can be increased using different strategies, such as secondary doping, dedoping, energy filtering, and sequential post-treatments. All these strategies involve the contact of the polymer with different compounds.</p><p><strong>Methods: </strong>Herein, we have analyzed the impact on the <i>PF</i> of the treatment of PEDOT:PSS with two different systems: (i) a 0.1M solution of 4,4'-bipyridine in 3-methoxypropionitrile and (ii) a 0.1M solution of LiBF <sub>4</sub> in the same solvent. Impedance, Raman, and ultraviolet-visible-near infrared spectroscopies were employed to understand the variations observed.</p><p><strong>Results: </strong>The results show that after the treatments, the Seebeck coefficient increased from ca. 12 to ca. 21 μV/K in both cases, and the electrical resistance of the film increased by 46.78% for 4,4'-bipyridine, and only 4.38% in the case of LiBF <sub>4</sub>, reaching at least 2.08 and 3.53 times <i>PF</i> improvements, respectively, with respect to the initial <i>PF</i> value (6.32 μWK <sup>-2</sup>m <sup>-1</sup>). The impedance spectroscopy analysis revealed that only an ohmic behavior existed in all cases. In addition, Raman and UV-vis-NIR analyses identified a dedoping mechanism, which explains the Seebeck coefficient variations identified in both treatments and the increase in electrical resistance for 4,4'-bypiridine. The remarkable lack of resistance increase for LiBF <sub>4</sub> points to a different phenomenon that could be related to morphological effects.</p><p><strong>Conclusion: </strong>These two new treatments demonstrate their capability to reach <i>PF</i> values close to the state of the art and expand the catalogue of treatments available for PEDOT:PSS.</p>","PeriodicalId":74359,"journal":{"name":"Open research Europe","volume":"5 ","pages":"214"},"PeriodicalIF":0.0000,"publicationDate":"2025-08-04","publicationTypes":"Journal Article","fieldsOfStudy":null,"isOpenAccess":false,"openAccessPdf":"https://www.ncbi.nlm.nih.gov/pmc/articles/PMC12405852/pdf/","citationCount":"0","resultStr":null,"platform":"Semanticscholar","paperid":null,"PeriodicalName":"Open research Europe","FirstCategoryId":"1085","ListUrlMain":"https://doi.org/10.12688/openreseurope.20654.1","RegionNum":0,"RegionCategory":null,"ArticlePicture":[],"TitleCN":null,"AbstractTextCN":null,"PMCID":null,"EPubDate":"2025/1/1 0:00:00","PubModel":"eCollection","JCR":"","JCRName":"","Score":null,"Total":0}
引用次数: 0

Abstract

Background: Thermoelectric (TE) materials can directly convert heat into electricity, which is beneficial for energy sustainability. Organic conducting polymers are TE materials that have drawn significant attention owing to different favorable properties, such as good processability, availability, flexibility, and intrinsically low thermal conductivity. Among the organic TEs, poly(3,4-ethylenedioxythiophene):polystyrene sulfonate (PEDOT:PSS) is the most extensively investigated material because of its stability and high electrical conductivity. The power factor ( PF) of PEDOT:PSS can be increased using different strategies, such as secondary doping, dedoping, energy filtering, and sequential post-treatments. All these strategies involve the contact of the polymer with different compounds.

Methods: Herein, we have analyzed the impact on the PF of the treatment of PEDOT:PSS with two different systems: (i) a 0.1M solution of 4,4'-bipyridine in 3-methoxypropionitrile and (ii) a 0.1M solution of LiBF 4 in the same solvent. Impedance, Raman, and ultraviolet-visible-near infrared spectroscopies were employed to understand the variations observed.

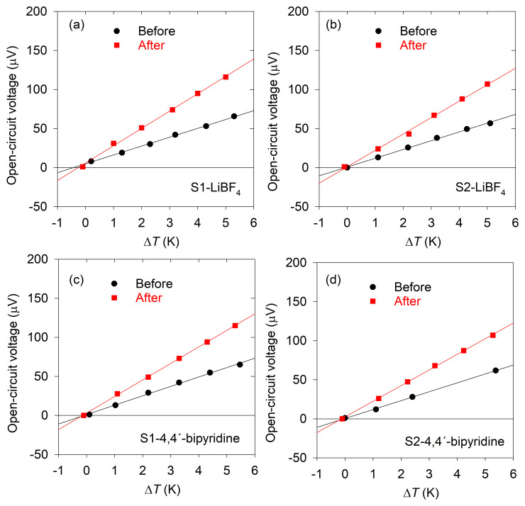
Results: The results show that after the treatments, the Seebeck coefficient increased from ca. 12 to ca. 21 μV/K in both cases, and the electrical resistance of the film increased by 46.78% for 4,4'-bipyridine, and only 4.38% in the case of LiBF 4, reaching at least 2.08 and 3.53 times PF improvements, respectively, with respect to the initial PF value (6.32 μWK -2m -1). The impedance spectroscopy analysis revealed that only an ohmic behavior existed in all cases. In addition, Raman and UV-vis-NIR analyses identified a dedoping mechanism, which explains the Seebeck coefficient variations identified in both treatments and the increase in electrical resistance for 4,4'-bypiridine. The remarkable lack of resistance increase for LiBF 4 points to a different phenomenon that could be related to morphological effects.

Conclusion: These two new treatments demonstrate their capability to reach PF values close to the state of the art and expand the catalogue of treatments available for PEDOT:PSS.

Abstract Image

Abstract Image

Abstract Image

用4,4′-联吡啶和libf4改善PEDOT:PSS的热电功率因数。
背景:热电材料可以直接将热量转化为电能,有利于能源的可持续性。有机导电聚合物是由于其不同的有利性能(如良好的可加工性、可用性、柔韧性和固有的低导热性)而引起极大关注的TE材料。在有机TEs中,聚(3,4-乙烯二氧噻吩):聚苯乙烯磺酸盐(PEDOT:PSS)因其稳定性和高导电性而被广泛研究。PEDOT:PSS的功率因数(PF)可以通过二次掺杂、脱掺杂、能量滤波和顺序后处理等不同的策略来提高。所有这些策略都涉及到聚合物与不同化合物的接触。方法:本文分析了两种不同体系(1)在3-甲氧基丙腈中以0.1M的4,4'-联吡啶溶液和(2)在相同溶剂中以0.1M的libf4溶液处理PEDOT:PSS对PF的影响。阻抗、拉曼光谱和紫外-可见-近红外光谱被用来理解所观察到的变化。结果表明:处理后,两种材料的Seebeck系数均从12 μV/K提高到21 μV/K, 4,4′-联吡啶膜的电阻分别比初始PF值(6.32 μWK -2m -1)提高了46.78%和4.38%,分别达到了至少2.08和3.53倍。阻抗谱分析表明,在所有情况下只存在欧姆行为。此外,拉曼和紫外-可见-近红外分析发现了一种脱掺杂机制,这解释了在两种处理中发现的塞贝克系数变化和4,4'-比吡啶电阻的增加。libf4的抗性明显缺乏表明了一种不同的现象,可能与形态效应有关。结论:这两种新的治疗方法表明它们有能力达到接近最新水平的PF值,并扩大了PEDOT:PSS的治疗目录。
本文章由计算机程序翻译,如有差异,请以英文原文为准。
求助全文
约1分钟内获得全文 求助全文
来源期刊
CiteScore
1.50
自引率
0.00%
发文量
0
×
引用
GB/T 7714-2015
复制
MLA
复制
APA
复制
导出至
BibTeX EndNote RefMan NoteFirst NoteExpress
×
提示
您的信息不完整,为了账户安全,请先补充。
现在去补充
×
提示
您因"违规操作"
具体请查看互助需知
我知道了
×
提示
确定
请完成安全验证×
copy
已复制链接
快去分享给好友吧!
我知道了
右上角分享
点击右上角分享
0
联系我们:info@booksci.cn Book学术提供免费学术资源搜索服务,方便国内外学者检索中英文文献。致力于提供最便捷和优质的服务体验。 Copyright © 2023 布克学术 All rights reserved.
京ICP备2023020795号-1
ghs 京公网安备 11010802042870号
Book学术文献互助
Book学术文献互助群
群 号:604180095
Book学术官方微信