Associations of Laboratory- and Field- derived Measurements of Critical Power with W'-kinetics during 40-km Cycling Time Trial Performances.

Q1 Health Professions
International journal of exercise science Pub Date : 2025-09-01 eCollection Date: 2025-01-01 DOI:10.70252/NEFW5464
D Luke Wilkins, Julie E Taylor, Robert W Pettitt, Mark Kramer
{"title":"Associations of Laboratory- and Field- derived Measurements of Critical Power with W'-kinetics during 40-km Cycling Time Trial Performances.","authors":"D Luke Wilkins, Julie E Taylor, Robert W Pettitt, Mark Kramer","doi":"10.70252/NEFW5464","DOIUrl":null,"url":null,"abstract":"<p><p>This study aimed to establish whether a laboratory (lab) based 3-minute all-out (3MT) protocol and a field-based 3MT protocol would yield similar peak power (P<sub>max</sub>), critical power (CP), and curvature constant (W') profiles and the implications of parameter estimation for informing a 40-km time trial (TT) performance. Nine competitive male cyclists (mean ± SD: age 36.5 ± 10.42 y, mass = 80.5 ± 10.6 kg, height 1.8 ± 0.1 m) completed two 3MTs on separate days, as well as a 40-km time trial. Both lab and field-based protocols evoked similar CP (p = 0.160) and W' (p = 0.200) profiles, but P<sub>max</sub> (p = 0.012) may be more sensitive to biomechanical disparities and testing environment. Strong positive associations were observed with W'-kinetics (r = 0.73) and W' (r = 0.83) and moderate-to-strong negative associations with mean TT power (r = -0.75) and CP (r = -0.68). TT power outputs occur at 59-65% of CP, and finishing times appear to be informed by CP, W' and P<sub>max</sub> with high degrees of accuracy (R2 > 0.90). Although TT performances occur predominantly within the moderate-to-heavy intensity domains, the mean intensity from a cardiovascular and core temperature perspective was high (i.e., ~90% HR<sub>max</sub>; ~39°C). TT performances appear to be accurately informed by CP, W' and P<sub>max</sub>, with W' dominating the predictive capacity associated with longer TT performances.</p>","PeriodicalId":14171,"journal":{"name":"International journal of exercise science","volume":"18 8","pages":"757-773"},"PeriodicalIF":0.0000,"publicationDate":"2025-09-01","publicationTypes":"Journal Article","fieldsOfStudy":null,"isOpenAccess":false,"openAccessPdf":"https://www.ncbi.nlm.nih.gov/pmc/articles/PMC12408082/pdf/","citationCount":"0","resultStr":null,"platform":"Semanticscholar","paperid":null,"PeriodicalName":"International journal of exercise science","FirstCategoryId":"1085","ListUrlMain":"https://doi.org/10.70252/NEFW5464","RegionNum":0,"RegionCategory":null,"ArticlePicture":[],"TitleCN":null,"AbstractTextCN":null,"PMCID":null,"EPubDate":"2025/1/1 0:00:00","PubModel":"eCollection","JCR":"Q1","JCRName":"Health Professions","Score":null,"Total":0}
引用次数: 0

Abstract

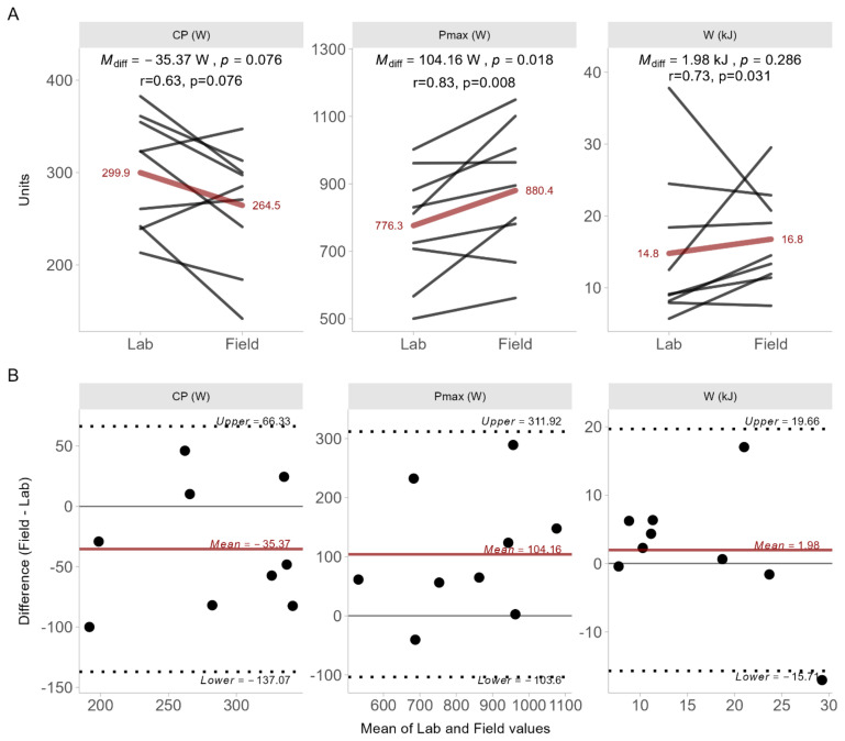
This study aimed to establish whether a laboratory (lab) based 3-minute all-out (3MT) protocol and a field-based 3MT protocol would yield similar peak power (Pmax), critical power (CP), and curvature constant (W') profiles and the implications of parameter estimation for informing a 40-km time trial (TT) performance. Nine competitive male cyclists (mean ± SD: age 36.5 ± 10.42 y, mass = 80.5 ± 10.6 kg, height 1.8 ± 0.1 m) completed two 3MTs on separate days, as well as a 40-km time trial. Both lab and field-based protocols evoked similar CP (p = 0.160) and W' (p = 0.200) profiles, but Pmax (p = 0.012) may be more sensitive to biomechanical disparities and testing environment. Strong positive associations were observed with W'-kinetics (r = 0.73) and W' (r = 0.83) and moderate-to-strong negative associations with mean TT power (r = -0.75) and CP (r = -0.68). TT power outputs occur at 59-65% of CP, and finishing times appear to be informed by CP, W' and Pmax with high degrees of accuracy (R2 > 0.90). Although TT performances occur predominantly within the moderate-to-heavy intensity domains, the mean intensity from a cardiovascular and core temperature perspective was high (i.e., ~90% HRmax; ~39°C). TT performances appear to be accurately informed by CP, W' and Pmax, with W' dominating the predictive capacity associated with longer TT performances.

Abstract Image

Abstract Image

Abstract Image

在40公里自行车计时赛期间,实验室和现场衍生的临界功率与W'动力学测量的关联。
本研究旨在确定基于实验室(lab)的3分钟全力以赴(3MT)协议和基于现场的3MT协议是否会产生相似的峰值功率(Pmax)、临界功率(CP)和曲率常数(W’)曲线,以及参数估计对40公里计时赛(TT)性能的影响。9名优秀的男性自行车手(平均±标准差:年龄36.5±10.42岁,体重80.5±10.6公斤,身高1.8±0.1米)分别在不同的日子完成了两个3公里的比赛,以及一个40公里的计时赛。实验和现场实验均产生了相似的CP (p = 0.160)和W′(p = 0.200)曲线,但Pmax (p = 0.012)可能对生物力学差异和测试环境更为敏感。与W′-动力学(r = 0.73)和W′(r = 0.83)呈正相关,与平均TT功率(r = -0.75)和CP (r = -0.68)呈中强负相关。TT功率输出发生在CP的59-65%,完成时间似乎由CP, W'和Pmax决定,准确度很高(R2 > 0.90)。虽然TT表现主要发生在中等到高强度领域,但从心血管和核心温度的角度来看,平均强度很高(即~90% HRmax; ~39°C)。CP、W′和Pmax似乎准确地反映了TT表现,其中W′主导了与较长TT表现相关的预测能力。
本文章由计算机程序翻译,如有差异,请以英文原文为准。
求助全文
约1分钟内获得全文 求助全文
来源期刊
International journal of exercise science
International journal of exercise science Health Professions-Occupational Therapy
CiteScore
2.20
自引率
0.00%
发文量
47
审稿时长
26 weeks
×
引用
GB/T 7714-2015
复制
MLA
复制
APA
复制
导出至
BibTeX EndNote RefMan NoteFirst NoteExpress
×
提示
您的信息不完整,为了账户安全,请先补充。
现在去补充
×
提示
您因"违规操作"
具体请查看互助需知
我知道了
×
提示
确定
请完成安全验证×
copy
已复制链接
快去分享给好友吧!
我知道了
右上角分享
点击右上角分享
0
联系我们:info@booksci.cn Book学术提供免费学术资源搜索服务,方便国内外学者检索中英文文献。致力于提供最便捷和优质的服务体验。 Copyright © 2023 布克学术 All rights reserved.
京ICP备2023020795号-1
ghs 京公网安备 11010802042870号
Book学术文献互助
Book学术文献互助群
群 号:604180095
Book学术官方微信