Comprehensive Fitness Assessment in a Professional Military Education Cohort: A Cross-Sectional Study.

Q1 Health Professions
International journal of exercise science Pub Date : 2025-09-01 eCollection Date: 2025-01-01 DOI:10.70252/WUPH8495
Daniel J Lawson, Russell K Lowell, Christopher B Mobley, Katherine Frick, Nicholas C Bordonie, Katie G Clouse, Cameron D Ott, Harrison C Dimick, Nick R Mauldin, JoEllen M Sefton
{"title":"Comprehensive Fitness Assessment in a Professional Military Education Cohort: A Cross-Sectional Study.","authors":"Daniel J Lawson, Russell K Lowell, Christopher B Mobley, Katherine Frick, Nicholas C Bordonie, Katie G Clouse, Cameron D Ott, Harrison C Dimick, Nick R Mauldin, JoEllen M Sefton","doi":"10.70252/WUPH8495","DOIUrl":null,"url":null,"abstract":"<p><p>Military personnel face rigorous physical and cognitive demands critical for operational readiness and long-term health. This study evaluated body composition, cognitive performance, and physical fitness metrics in non-entry-level service members to inform tailored fitness interventions. This cross-sectional study analyzed data from Air Command Staff College personnel (N = 307; 89 females, 218 males; age: 37 ± 5 years) at Air University, Maxwell Air Force Base. Participants completed assessments for body composition (body mass index [BMI], body fat percentage [%BF], fat mass index [FMI], fat-free mass index [FFMI]), flexibility (sit-and-reach test, functional reach test), cognitive performance (cognitive reaction time), power (countermovement jump), strength (grip strength, isometric midthigh pull), muscular endurance (plank), and aerobic fitness (Estimated VO<sub>2max</sub>). Relationships between age, sex, and fitness variables were analyzed with regression models, with percentile ranking, and comparisons to the American College of Sports Medicine (ACSM) guidelines. Age-related increases in BF% (r = 0.116, p = 0.045) and FMI (r = 0.129, p = 0.025) were observed, alongside declines in muscular strength, power, and endurance (all p < 0.01). Females exhibited higher BF% and FMI, while males had greater FFMI and strength. Older participants had lower compliance with ACSM standards, indicating elevated health risks. Targeted interventions should address age- and sex-specific needs, focusing on preserving lean mass, strength, and cognitive agility. Baseline fitness data contributes to designing evidence-based programs that enhance long-term readiness and operational performance.</p>","PeriodicalId":14171,"journal":{"name":"International journal of exercise science","volume":"18 8","pages":"811-835"},"PeriodicalIF":0.0000,"publicationDate":"2025-09-01","publicationTypes":"Journal Article","fieldsOfStudy":null,"isOpenAccess":false,"openAccessPdf":"https://www.ncbi.nlm.nih.gov/pmc/articles/PMC12408081/pdf/","citationCount":"0","resultStr":null,"platform":"Semanticscholar","paperid":null,"PeriodicalName":"International journal of exercise science","FirstCategoryId":"1085","ListUrlMain":"https://doi.org/10.70252/WUPH8495","RegionNum":0,"RegionCategory":null,"ArticlePicture":[],"TitleCN":null,"AbstractTextCN":null,"PMCID":null,"EPubDate":"2025/1/1 0:00:00","PubModel":"eCollection","JCR":"Q1","JCRName":"Health Professions","Score":null,"Total":0}
引用次数: 0

Abstract

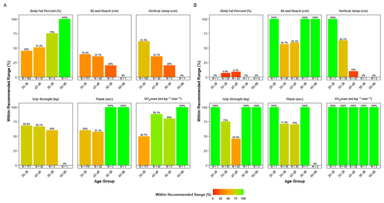
Military personnel face rigorous physical and cognitive demands critical for operational readiness and long-term health. This study evaluated body composition, cognitive performance, and physical fitness metrics in non-entry-level service members to inform tailored fitness interventions. This cross-sectional study analyzed data from Air Command Staff College personnel (N = 307; 89 females, 218 males; age: 37 ± 5 years) at Air University, Maxwell Air Force Base. Participants completed assessments for body composition (body mass index [BMI], body fat percentage [%BF], fat mass index [FMI], fat-free mass index [FFMI]), flexibility (sit-and-reach test, functional reach test), cognitive performance (cognitive reaction time), power (countermovement jump), strength (grip strength, isometric midthigh pull), muscular endurance (plank), and aerobic fitness (Estimated VO2max). Relationships between age, sex, and fitness variables were analyzed with regression models, with percentile ranking, and comparisons to the American College of Sports Medicine (ACSM) guidelines. Age-related increases in BF% (r = 0.116, p = 0.045) and FMI (r = 0.129, p = 0.025) were observed, alongside declines in muscular strength, power, and endurance (all p < 0.01). Females exhibited higher BF% and FMI, while males had greater FFMI and strength. Older participants had lower compliance with ACSM standards, indicating elevated health risks. Targeted interventions should address age- and sex-specific needs, focusing on preserving lean mass, strength, and cognitive agility. Baseline fitness data contributes to designing evidence-based programs that enhance long-term readiness and operational performance.

Abstract Image

Abstract Image

Abstract Image

军事专业教育队列综合体能评估:横断面研究。
军事人员面临着对作战准备和长期健康至关重要的严格的身体和认知要求。本研究评估了非入门级服役人员的身体组成、认知表现和身体健康指标,以提供量身定制的健康干预措施。本横断面研究分析了麦克斯韦空军基地空军大学空军参谋学院人员(N = 307,女性89人,男性218人,年龄37±5岁)的数据。参与者完成了身体组成(身体质量指数[BMI]、体脂百分比[%BF]、脂肪质量指数[FMI]、无脂质量指数[FFMI])、柔韧性(坐伸测试、功能性伸展测试)、认知表现(认知反应时间)、力量(反动作跳跃)、力量(握力、等距大腿中部牵拉)、肌肉耐力(平板支撑)和有氧适能(估计最大摄氧量)的评估。使用回归模型、百分位排序和与美国运动医学学院(ACSM)指南的比较分析年龄、性别和健康变量之间的关系。观察到与年龄相关的BF% (r = 0.116, p = 0.045)和FMI (r = 0.129, p = 0.025)增加,同时肌肉力量、力量和耐力下降(均p < 0.01)。雌性具有较高的BF%和FMI,而雄性具有较高的FFMI和力量。年龄较大的参与者对ACSM标准的遵守程度较低,表明健康风险较高。有针对性的干预措施应针对特定年龄和性别的需求,重点放在保持瘦质量、力量和认知敏捷性上。基线健康数据有助于设计以证据为基础的方案,提高长期准备和运营绩效。
本文章由计算机程序翻译,如有差异,请以英文原文为准。
求助全文
约1分钟内获得全文 求助全文
来源期刊
International journal of exercise science
International journal of exercise science Health Professions-Occupational Therapy
CiteScore
2.20
自引率
0.00%
发文量
47
审稿时长
26 weeks
×
引用
GB/T 7714-2015
复制
MLA
复制
APA
复制
导出至
BibTeX EndNote RefMan NoteFirst NoteExpress
×
提示
您的信息不完整,为了账户安全,请先补充。
现在去补充
×
提示
您因"违规操作"
具体请查看互助需知
我知道了
×
提示
确定
请完成安全验证×
copy
已复制链接
快去分享给好友吧!
我知道了
右上角分享
点击右上角分享
0
联系我们:info@booksci.cn Book学术提供免费学术资源搜索服务,方便国内外学者检索中英文文献。致力于提供最便捷和优质的服务体验。 Copyright © 2023 布克学术 All rights reserved.
京ICP备2023020795号-1
ghs 京公网安备 11010802042870号
Book学术文献互助
Book学术文献互助群
群 号:604180095
Book学术官方微信