Association Between Platelet Indices and Risk of Chronic Obstructive Pulmonary Disease: A Bidirectional Mendelian Randomization Study.

IF 3.1 3区 医学 Q2 RESPIRATORY SYSTEM
Weifeng Liao, Xiaoxi Lin, Keyu Liu, Yitian Yang, Lianfang Du, Jingjing Pan, Feiju Chen, Weilong Ye, Bainian Chen, Riken Chen, Wenliang Chen, Weimin Yao
{"title":"Association Between Platelet Indices and Risk of Chronic Obstructive Pulmonary Disease: A Bidirectional Mendelian Randomization Study.","authors":"Weifeng Liao, Xiaoxi Lin, Keyu Liu, Yitian Yang, Lianfang Du, Jingjing Pan, Feiju Chen, Weilong Ye, Bainian Chen, Riken Chen, Wenliang Chen, Weimin Yao","doi":"10.2147/COPD.S531797","DOIUrl":null,"url":null,"abstract":"<p><strong>Introduction: </strong>Platelet indices are associated with chronic obstructive pulmonary disease (COPD), their causal relationship remains unclear. This study aims to explore the causal relationship between four common platelet indices and COPD using Mendelian randomization (MR), including platelet count (PLT), plateletcrit (PCT), mean platelet volume (MPV), and platelet distribution width (PDW).</p><p><strong>Methods: </strong>We analyzed summary statistics from European-ancestry genome-wide association studies (GWAS) for platelet indices (UK Biobank, n=408,112) and COPD (FinnGen, n=433,208). MR analyses were performed using Inverse Variance Weighting (IVW), MR Egger (ME), Simple Mode (SM), Weighted Median (WMe), and Weighted Mode (WMo). Heterogeneity between SNPs was assessed using Cochran's Q test in combination with a random-effects IVW approach. MR-Egger intercept test and MR-PRESSO analysis demonstrate horizontal pleiotropy. Leave-one-out analysis to assess outlier-driven bias.</p><p><strong>Results: </strong>IVW analysis indicated that higher PLT was suggestively associated with increased COPD risk (OR = 1.054, 95% CI = 1.005-1.056, <i>p</i> = 0.029, FDR = 0.116). In the reverse direction, COPD was suggestively associated with increased PCT (OR = 1.025, 95% CI = 1.003-1.048, <i>p</i> = 0.024, FDR= 0.096). No significant associations were observed for MPV or PDW. Sensitivity analyses confirmed the robustness of results, with no signs of pleiotropy or reverse causality.</p><p><strong>Conclusion: </strong>Our bidirectional MR analysis found no definitive causal relationship between platelet indices and COPD, but observed suggestive associations between higher PLT/PCT and an increased risk of COPD. These findings warrant further investigation into the roles of platelet indices in COPD pathogenesis and their potential as biomarkers or therapeutic targets.</p>","PeriodicalId":48818,"journal":{"name":"International Journal of Chronic Obstructive Pulmonary Disease","volume":"20 ","pages":"2967-2977"},"PeriodicalIF":3.1000,"publicationDate":"2025-08-27","publicationTypes":"Journal Article","fieldsOfStudy":null,"isOpenAccess":false,"openAccessPdf":"https://www.ncbi.nlm.nih.gov/pmc/articles/PMC12401736/pdf/","citationCount":"0","resultStr":null,"platform":"Semanticscholar","paperid":null,"PeriodicalName":"International Journal of Chronic Obstructive Pulmonary Disease","FirstCategoryId":"3","ListUrlMain":"https://doi.org/10.2147/COPD.S531797","RegionNum":3,"RegionCategory":"医学","ArticlePicture":[],"TitleCN":null,"AbstractTextCN":null,"PMCID":null,"EPubDate":"2025/1/1 0:00:00","PubModel":"eCollection","JCR":"Q2","JCRName":"RESPIRATORY SYSTEM","Score":null,"Total":0}
引用次数: 0

Abstract

Introduction: Platelet indices are associated with chronic obstructive pulmonary disease (COPD), their causal relationship remains unclear. This study aims to explore the causal relationship between four common platelet indices and COPD using Mendelian randomization (MR), including platelet count (PLT), plateletcrit (PCT), mean platelet volume (MPV), and platelet distribution width (PDW).

Methods: We analyzed summary statistics from European-ancestry genome-wide association studies (GWAS) for platelet indices (UK Biobank, n=408,112) and COPD (FinnGen, n=433,208). MR analyses were performed using Inverse Variance Weighting (IVW), MR Egger (ME), Simple Mode (SM), Weighted Median (WMe), and Weighted Mode (WMo). Heterogeneity between SNPs was assessed using Cochran's Q test in combination with a random-effects IVW approach. MR-Egger intercept test and MR-PRESSO analysis demonstrate horizontal pleiotropy. Leave-one-out analysis to assess outlier-driven bias.

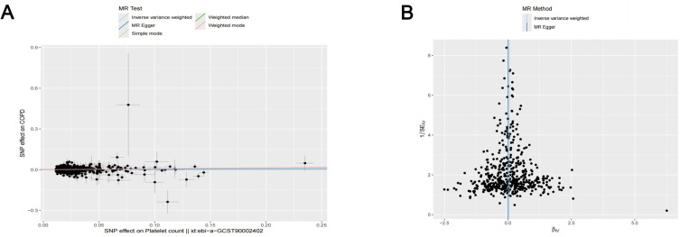
Results: IVW analysis indicated that higher PLT was suggestively associated with increased COPD risk (OR = 1.054, 95% CI = 1.005-1.056, p = 0.029, FDR = 0.116). In the reverse direction, COPD was suggestively associated with increased PCT (OR = 1.025, 95% CI = 1.003-1.048, p = 0.024, FDR= 0.096). No significant associations were observed for MPV or PDW. Sensitivity analyses confirmed the robustness of results, with no signs of pleiotropy or reverse causality.

Conclusion: Our bidirectional MR analysis found no definitive causal relationship between platelet indices and COPD, but observed suggestive associations between higher PLT/PCT and an increased risk of COPD. These findings warrant further investigation into the roles of platelet indices in COPD pathogenesis and their potential as biomarkers or therapeutic targets.

Abstract Image

Abstract Image

Abstract Image

血小板指数与慢性阻塞性肺疾病风险之间的关系:一项双向孟德尔随机研究
血小板指数与慢性阻塞性肺疾病(COPD)相关,其因果关系尚不清楚。本研究旨在利用孟德尔随机化(Mendelian randomization, MR)方法,探讨血小板计数(PLT)、血小板电积(PCT)、平均血小板体积(MPV)和血小板分布宽度(PDW)等四种常见血小板指标与COPD的因果关系。方法:我们分析了欧洲血统全基因组关联研究(GWAS)的血小板指数(UK Biobank, n=408,112)和COPD (FinnGen, n=433,208)的汇总统计数据。MR分析采用方差反加权(IVW)、MR Egger (ME)、简单模式(SM)、加权中位数(WMe)和加权模式(WMo)进行。采用Cochran’s Q检验结合随机效应IVW方法评估snp之间的异质性。MR-Egger截距检验和MR-PRESSO分析显示水平多效性。留一分析来评估异常值驱动偏差。结果:IVW分析显示,较高的PLT与COPD风险增加呈正相关(OR = 1.054, 95% CI = 1.005-1.056, p = 0.029, FDR = 0.116)。相反,COPD与PCT升高呈正相关(OR = 1.025, 95% CI = 1.003-1.048, p = 0.024, FDR= 0.096)。未观察到MPV或PDW的显著相关性。敏感性分析证实了结果的稳健性,没有多效性或反向因果关系的迹象。结论:我们的双向MR分析发现血小板指数和COPD之间没有明确的因果关系,但观察到较高的PLT/PCT与COPD风险增加之间存在暗示的关联。这些发现为进一步研究血小板指数在COPD发病机制中的作用及其作为生物标志物或治疗靶点的潜力提供了依据。
本文章由计算机程序翻译,如有差异,请以英文原文为准。
求助全文
约1分钟内获得全文 求助全文
来源期刊
CiteScore
4.80
自引率
10.70%
发文量
372
审稿时长
16 weeks
期刊介绍: An international, peer-reviewed journal of therapeutics and pharmacology focusing on concise rapid reporting of clinical studies and reviews in COPD. Special focus will be given to the pathophysiological processes underlying the disease, intervention programs, patient focused education, and self management protocols. This journal is directed at specialists and healthcare professionals
×
引用
GB/T 7714-2015
复制
MLA
复制
APA
复制
导出至
BibTeX EndNote RefMan NoteFirst NoteExpress
×
提示
您的信息不完整,为了账户安全,请先补充。
现在去补充
×
提示
您因"违规操作"
具体请查看互助需知
我知道了
×
提示
确定
请完成安全验证×
copy
已复制链接
快去分享给好友吧!
我知道了
右上角分享
点击右上角分享
0
联系我们:info@booksci.cn Book学术提供免费学术资源搜索服务,方便国内外学者检索中英文文献。致力于提供最便捷和优质的服务体验。 Copyright © 2023 布克学术 All rights reserved.
京ICP备2023020795号-1
ghs 京公网安备 11010802042870号
Book学术文献互助
Book学术文献互助群
群 号:604180095
Book学术官方微信