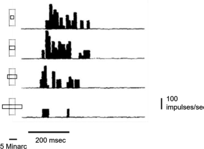
Seeing on the fly: No need for space-to-time encoding; saccade-generated transients enable fast, parallel representation of space.

IF 2.3 4区 心理学 Q2 OPHTHALMOLOGY
Moshe Gur
{"title":"Seeing on the fly: No need for space-to-time encoding; saccade-generated transients enable fast, parallel representation of space.","authors":"Moshe Gur","doi":"10.1167/jov.25.11.4","DOIUrl":null,"url":null,"abstract":"","PeriodicalId":49955,"journal":{"name":"Journal of Vision","volume":"25 11","pages":"4"},"PeriodicalIF":2.3000,"publicationDate":"2025-09-02","publicationTypes":"Journal Article","fieldsOfStudy":null,"isOpenAccess":false,"openAccessPdf":"https://www.ncbi.nlm.nih.gov/pmc/articles/PMC12416515/pdf/","citationCount":"0","resultStr":null,"platform":"Semanticscholar","paperid":null,"PeriodicalName":"Journal of Vision","FirstCategoryId":"3","ListUrlMain":"https://doi.org/10.1167/jov.25.11.4","RegionNum":4,"RegionCategory":"心理学","ArticlePicture":[],"TitleCN":null,"AbstractTextCN":null,"PMCID":null,"EPubDate":"","PubModel":"","JCR":"Q2","JCRName":"OPHTHALMOLOGY","Score":null,"Total":0}
引用次数: 0

Abstract Image

Abstract Image

Abstract Image

即时观看:不需要空间到时间的编码;眼跳生成的瞬态可以快速、并行地表示空间。
本文章由计算机程序翻译,如有差异,请以英文原文为准。
求助全文
约1分钟内获得全文 求助全文
来源期刊
Journal of Vision
Journal of Vision 医学-眼科学
CiteScore
2.90
自引率
5.60%
发文量
218
审稿时长
3-6 weeks
期刊介绍: Exploring all aspects of biological visual function, including spatial vision, perception, low vision, color vision and more, spanning the fields of neuroscience, psychology and psychophysics.
×
引用
GB/T 7714-2015
复制
MLA
复制
APA
复制
导出至
BibTeX EndNote RefMan NoteFirst NoteExpress
×
提示
您的信息不完整,为了账户安全,请先补充。
现在去补充
×
提示
您因"违规操作"
具体请查看互助需知
我知道了
×
提示
确定
请完成安全验证×
copy
已复制链接
快去分享给好友吧!
我知道了
右上角分享
点击右上角分享
0
联系我们:info@booksci.cn Book学术提供免费学术资源搜索服务,方便国内外学者检索中英文文献。致力于提供最便捷和优质的服务体验。 Copyright © 2023 布克学术 All rights reserved.
京ICP备2023020795号-1
ghs 京公网安备 11010802042870号
Book学术文献互助
Book学术文献互助群
群 号:604180095
Book学术官方微信