Hamstrings Volumetric Adaptations to a Four-Week Nordic Hamstring Exercise Protocol in Individuals with ACL Reconstruction: A Preliminary Case Series.

IF 2.1 Q3 SPORT SCIENCES
International Journal of Sports Physical Therapy Pub Date : 2025-09-02 eCollection Date: 2025-01-01 DOI:10.26603/001c.143149
Grant E Norte, Amanda M Murray, Justin L Rush, David A Sherman, Neal R Glaviano
{"title":"Hamstrings Volumetric Adaptations to a Four-Week Nordic Hamstring Exercise Protocol in Individuals with ACL Reconstruction: A Preliminary Case Series.","authors":"Grant E Norte, Amanda M Murray, Justin L Rush, David A Sherman, Neal R Glaviano","doi":"10.26603/001c.143149","DOIUrl":null,"url":null,"abstract":"<p><strong>Background: </strong>Hamstrings atrophy is widely reported following anterior cruciate ligament reconstruction (ACLR) with hamstrings tendon (HT) autograft. Nordic hamstring exercise (NHE) has yielded improvements in hamstrings volumes among uninjured individuals, yet this has not been investigated following ACLR.</p><p><strong>Purpose: </strong>To describe changes in hamstrings volumes following an isolated NHE protocol among individuals with a history of ACLR via HT.</p><p><strong>Study design: </strong>Prospective case series.</p><p><strong>Methods: </strong>Individuals (age 18-35) with primary, unilateral ACLR via HT was recruited from an a larger clinical trial. Participants were not engaged in formal rehabilitation at enrollment. Outcomes were assessed in a university research laboratory and medical center. Involved limb muscle volumes were quantified for the total hamstrings, biceps femoris long head, biceps femoris short head, semimembranosus, and semitendinosus via magnetic resonance imaging before and after a standardized, progressive four-week (10-session) NHE protocol. Average peak eccentric force was quantified using a NordBord dynamometer during the first and last exercise sessions. Change scores were reported descriptively as percentages (%) and their magnitudes were quantified using effect sizes (Cohen's d).</p><p><strong>Results: </strong>Seven individuals participated (age: 22.0±2.3 years, time from surgery: 53.6±29.5 months). Volumetric changes ranged -6.0 to 17.6% across participants and muscles. On average, trivial-to-moderate magnitude increases in hamstrings volumes (3.3-7.2%, d=0.12-0.53) were observed, except for semimembranosus (0.0%, d=0.01). Changes in eccentric force ranged -3.2 to 19.4% across participants. On average, a moderate magnitude increase in force (11.0%, d=0.53) was observed.</p><p><strong>Conclusion: </strong>The majority of participants in this case series demonstrated trivial-to-moderate increases in hamstrings muscle volumes in parallel with a moderate increase in eccentric force after four weeks of isolated NHE. Variable responses to exercise appear to support the need for individualized exercise prescription in this population.</p><p><strong>Level of evidence: </strong>4.</p>","PeriodicalId":47892,"journal":{"name":"International Journal of Sports Physical Therapy","volume":"20 9","pages":"1377-1387"},"PeriodicalIF":2.1000,"publicationDate":"2025-09-02","publicationTypes":"Journal Article","fieldsOfStudy":null,"isOpenAccess":false,"openAccessPdf":"https://www.ncbi.nlm.nih.gov/pmc/articles/PMC12404571/pdf/","citationCount":"0","resultStr":null,"platform":"Semanticscholar","paperid":null,"PeriodicalName":"International Journal of Sports Physical Therapy","FirstCategoryId":"1085","ListUrlMain":"https://doi.org/10.26603/001c.143149","RegionNum":0,"RegionCategory":null,"ArticlePicture":[],"TitleCN":null,"AbstractTextCN":null,"PMCID":null,"EPubDate":"2025/1/1 0:00:00","PubModel":"eCollection","JCR":"Q3","JCRName":"SPORT SCIENCES","Score":null,"Total":0}
引用次数: 0

Abstract

Background: Hamstrings atrophy is widely reported following anterior cruciate ligament reconstruction (ACLR) with hamstrings tendon (HT) autograft. Nordic hamstring exercise (NHE) has yielded improvements in hamstrings volumes among uninjured individuals, yet this has not been investigated following ACLR.

Purpose: To describe changes in hamstrings volumes following an isolated NHE protocol among individuals with a history of ACLR via HT.

Study design: Prospective case series.

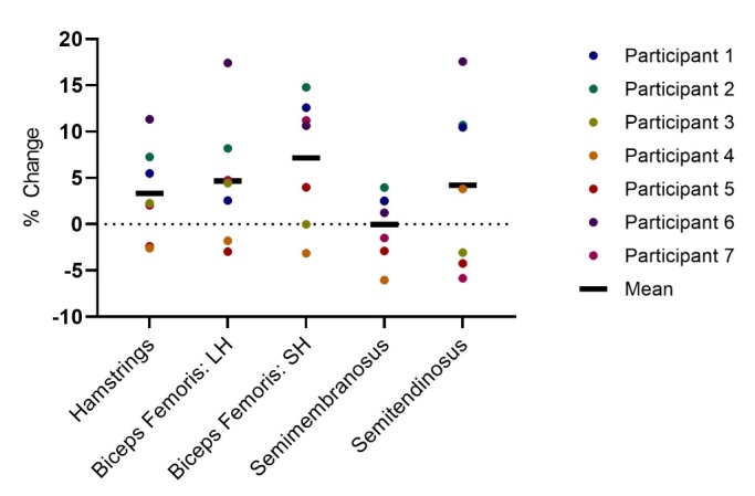
Methods: Individuals (age 18-35) with primary, unilateral ACLR via HT was recruited from an a larger clinical trial. Participants were not engaged in formal rehabilitation at enrollment. Outcomes were assessed in a university research laboratory and medical center. Involved limb muscle volumes were quantified for the total hamstrings, biceps femoris long head, biceps femoris short head, semimembranosus, and semitendinosus via magnetic resonance imaging before and after a standardized, progressive four-week (10-session) NHE protocol. Average peak eccentric force was quantified using a NordBord dynamometer during the first and last exercise sessions. Change scores were reported descriptively as percentages (%) and their magnitudes were quantified using effect sizes (Cohen's d).

Results: Seven individuals participated (age: 22.0±2.3 years, time from surgery: 53.6±29.5 months). Volumetric changes ranged -6.0 to 17.6% across participants and muscles. On average, trivial-to-moderate magnitude increases in hamstrings volumes (3.3-7.2%, d=0.12-0.53) were observed, except for semimembranosus (0.0%, d=0.01). Changes in eccentric force ranged -3.2 to 19.4% across participants. On average, a moderate magnitude increase in force (11.0%, d=0.53) was observed.

Conclusion: The majority of participants in this case series demonstrated trivial-to-moderate increases in hamstrings muscle volumes in parallel with a moderate increase in eccentric force after four weeks of isolated NHE. Variable responses to exercise appear to support the need for individualized exercise prescription in this population.

Level of evidence: 4.

Abstract Image

Abstract Image

Abstract Image

前交叉韧带重建患者腘绳肌容量适应北欧腘绳肌运动方案:初步病例系列。
背景:腘绳肌腱(HT)自体移植前交叉韧带重建(ACLR)后腘绳肌腱萎缩被广泛报道。北欧腿筋运动(NHE)在未受伤的个体中产生了腿筋体积的改善,但在ACLR之后尚未对此进行调查。目的:描述有ACLR经HT病史的个体在孤立NHE方案后腘绳肌体积的变化。研究设计:前瞻性病例系列。方法:从一项更大的临床试验中招募个体(18-35岁),经HT治疗的原发性单侧ACLR。参与者在入组时未进行正式的康复治疗。结果在大学研究实验室和医学中心进行评估。通过磁共振成像对总腘绳肌、股二头肌长头、股二头肌短头、半膜肌和半腱肌的受累肢体肌肉体积进行量化,并在标准化的渐进式4周(10期)NHE方案前后进行。在第一次和最后一次锻炼期间,使用nordboard测力仪量化平均峰值偏心力。变化分数以百分比(%)描述,其大小用效应量(Cohen’s d)量化。结果:7例患者(年龄:22.0±2.3岁,术后时间:53.6±29.5个月)。参与者和肌肉的体积变化范围为-6.0至17.6%。平均而言,除半膜肌(0.0%,d=0.01)外,腘绳肌体积轻微至中度增加(3.3-7.2%,d=0.12-0.53)。参与者的偏心力变化范围为- 3.2%至19.4%。平均而言,观察到中等程度的力增加(11.0%,d=0.53)。结论:本病例系列的大多数参与者在4周孤立的NHE后表现出腘绳肌体积轻微到中度的增加,同时离心力适度增加。对运动的不同反应似乎支持了这一人群个体化运动处方的必要性。证据等级:4。
本文章由计算机程序翻译,如有差异,请以英文原文为准。
求助全文
约1分钟内获得全文 求助全文
来源期刊
CiteScore
2.50
自引率
5.90%
发文量
124
审稿时长
16 weeks
×
引用
GB/T 7714-2015
复制
MLA
复制
APA
复制
导出至
BibTeX EndNote RefMan NoteFirst NoteExpress
×
提示
您的信息不完整,为了账户安全,请先补充。
现在去补充
×
提示
您因"违规操作"
具体请查看互助需知
我知道了
×
提示
确定
请完成安全验证×
copy
已复制链接
快去分享给好友吧!
我知道了
右上角分享
点击右上角分享
0
联系我们:info@booksci.cn Book学术提供免费学术资源搜索服务,方便国内外学者检索中英文文献。致力于提供最便捷和优质的服务体验。 Copyright © 2023 布克学术 All rights reserved.
京ICP备2023020795号-1
ghs 京公网安备 11010802042870号
Book学术文献互助
Book学术文献互助群
群 号:604180095
Book学术官方微信