Ultrasound-Assisted Enzymatic Extraction of Mangiferin From Mango (Mangifera indica L.) Peels: Process Optimization and Antioxidant Activity Evaluation.

IF 2.2 3区 化学 Q3 CHEMISTRY, ANALYTICAL
Journal of Analytical Methods in Chemistry Pub Date : 2025-08-25 eCollection Date: 2025-01-01 DOI:10.1155/jamc/3469361
Kaiping Zhang, Yun Huang, Yanli Liu, Jiamin Ma, Qinjiabao Hu, Lingling He, Jiaoli Huang
{"title":"Ultrasound-Assisted Enzymatic Extraction of Mangiferin From Mango (<i>Mangifera indica</i> L.) Peels: Process Optimization and Antioxidant Activity Evaluation.","authors":"Kaiping Zhang, Yun Huang, Yanli Liu, Jiamin Ma, Qinjiabao Hu, Lingling He, Jiaoli Huang","doi":"10.1155/jamc/3469361","DOIUrl":null,"url":null,"abstract":"<p><p>Mango peel is one of the main byproducts in mango processing. In order to improve the utilization and added-value of mango peel, effects of the ultrasound-assisted enzymatic method on the extraction rate of mangiferin from mango peel were investigated by single-factor tests (enzyme addition amount, enzymolysis time, ethanol concentration, ultrasonic temperature, ultrasonic power, and ultrasonic time), and the extraction process was optimized by Box-Behnken response surface. The antioxidant activity and antidiabetic assay of mangiferin in vitro were studied. The results showed that enzymolysis time 44 min, enzyme addition amount 0.1%, ethanol concentration 70%, ultrasonic power 300 W, ultrasonic temperature 66°C, and ultrasonic time 45 min were the optimal extraction process parameters. Under these conditions, the extraction rate of mangiferin was 3.63% ± 0.04%, which was not significantly different from the model prediction value (3.71%), and it was 3.90 times and 1.78 times that of single cellulase and ultrasonic extraction, respectively. Within the test concentration range, the scavenging rate of mangiferin for DPPH·, ABTS<sup>+</sup>·, and O<sub>2</sub> <sup>-</sup>· increased with the increase of its mass concentration, and the EC<sub>50</sub> values were 0.03829 mg/mL, 0.06032 mg/mL, and 0.04949 mg/mL, respectively, which were slightly higher than those of Vc. Meanwhile, mangiferin exhibited inhibitory activity effects on α-amylase and α-glucosidase, with IC<sub>50</sub> values of 0.1952 and 0.08696 mg/mL, respectively. Results indicate that the mangiferin in mango peel had strong bioactivity. The study provides a theoretical reference for the efficient extraction of mangiferin from mango peel and provides a scientific basis for further realizing the high-value utilization of mango processing waste.</p>","PeriodicalId":14974,"journal":{"name":"Journal of Analytical Methods in Chemistry","volume":"2025 ","pages":"3469361"},"PeriodicalIF":2.2000,"publicationDate":"2025-08-25","publicationTypes":"Journal Article","fieldsOfStudy":null,"isOpenAccess":false,"openAccessPdf":"https://www.ncbi.nlm.nih.gov/pmc/articles/PMC12401615/pdf/","citationCount":"0","resultStr":null,"platform":"Semanticscholar","paperid":null,"PeriodicalName":"Journal of Analytical Methods in Chemistry","FirstCategoryId":"92","ListUrlMain":"https://doi.org/10.1155/jamc/3469361","RegionNum":3,"RegionCategory":"化学","ArticlePicture":[],"TitleCN":null,"AbstractTextCN":null,"PMCID":null,"EPubDate":"2025/1/1 0:00:00","PubModel":"eCollection","JCR":"Q3","JCRName":"CHEMISTRY, ANALYTICAL","Score":null,"Total":0}
引用次数: 0

Abstract

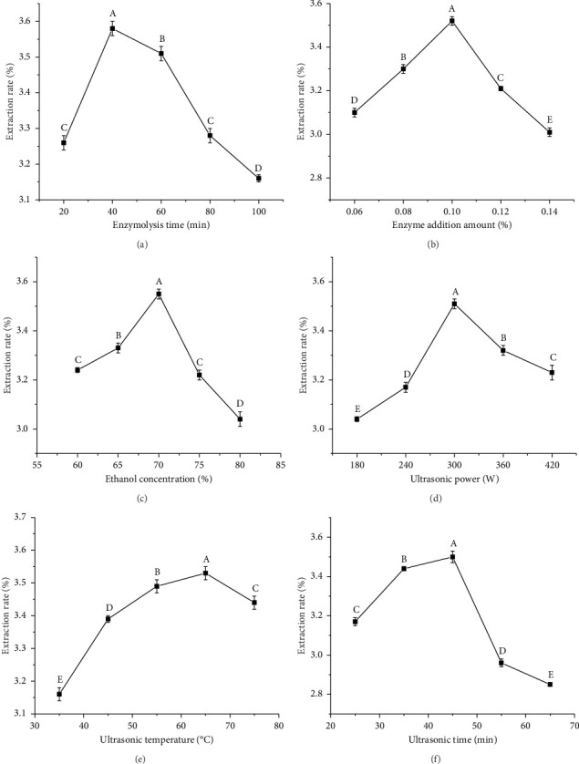
Mango peel is one of the main byproducts in mango processing. In order to improve the utilization and added-value of mango peel, effects of the ultrasound-assisted enzymatic method on the extraction rate of mangiferin from mango peel were investigated by single-factor tests (enzyme addition amount, enzymolysis time, ethanol concentration, ultrasonic temperature, ultrasonic power, and ultrasonic time), and the extraction process was optimized by Box-Behnken response surface. The antioxidant activity and antidiabetic assay of mangiferin in vitro were studied. The results showed that enzymolysis time 44 min, enzyme addition amount 0.1%, ethanol concentration 70%, ultrasonic power 300 W, ultrasonic temperature 66°C, and ultrasonic time 45 min were the optimal extraction process parameters. Under these conditions, the extraction rate of mangiferin was 3.63% ± 0.04%, which was not significantly different from the model prediction value (3.71%), and it was 3.90 times and 1.78 times that of single cellulase and ultrasonic extraction, respectively. Within the test concentration range, the scavenging rate of mangiferin for DPPH·, ABTS+·, and O2 -· increased with the increase of its mass concentration, and the EC50 values were 0.03829 mg/mL, 0.06032 mg/mL, and 0.04949 mg/mL, respectively, which were slightly higher than those of Vc. Meanwhile, mangiferin exhibited inhibitory activity effects on α-amylase and α-glucosidase, with IC50 values of 0.1952 and 0.08696 mg/mL, respectively. Results indicate that the mangiferin in mango peel had strong bioactivity. The study provides a theoretical reference for the efficient extraction of mangiferin from mango peel and provides a scientific basis for further realizing the high-value utilization of mango processing waste.

Abstract Image

Abstract Image

Abstract Image

超声波辅助酶法提取芒果中的芒果苷果皮:工艺优化及抗氧化活性评价。
芒果皮是芒果加工的主要副产品之一。为提高芒果皮的利用率和附加值,通过单因素试验(酶加量、酶解时间、乙醇浓度、超声温度、超声功率、超声时间)考察超声辅助酶解法对芒果皮中芒果苷提取率的影响,并采用Box-Behnken响应面法对提取工艺进行优化。研究了芒果苷的体外抗氧化活性和抗糖尿病活性。结果表明:酶解时间44 min,酶添加量0.1%,乙醇浓度70%,超声功率300 W,超声温度66℃,超声时间45 min为最佳提取工艺参数。在此条件下,芒果苷提取率为3.63%±0.04%,与模型预测值(3.71%)无显著差异,分别是单酶法和超声法的3.90倍和1.78倍。在试验浓度范围内,芒果苷对DPPH·、ABTS+·和O2 -·的清除率随其质量浓度的增加而增加,EC50值分别为0.03829 mg/mL、0.06032 mg/mL和0.04949 mg/mL,略高于Vc。同时,芒果苷对α-淀粉酶和α-葡萄糖苷酶均有抑制作用,IC50值分别为0.1952和0.08696 mg/mL。结果表明,芒果皮中的芒果苷具有较强的生物活性。该研究为芒果皮中芒果苷的高效提取提供了理论参考,为进一步实现芒果加工废弃物的高价值利用提供了科学依据。
本文章由计算机程序翻译,如有差异,请以英文原文为准。
求助全文
约1分钟内获得全文 求助全文
来源期刊
Journal of Analytical Methods in Chemistry
Journal of Analytical Methods in Chemistry CHEMISTRY, ANALYTICAL-ENGINEERING, CIVIL
CiteScore
4.80
自引率
3.80%
发文量
79
审稿时长
6-12 weeks
期刊介绍: Journal of Analytical Methods in Chemistry publishes papers reporting methods and instrumentation for chemical analysis, and their application to real-world problems. Articles may be either practical or theoretical. Subject areas include (but are by no means limited to): Separation Spectroscopy Mass spectrometry Chromatography Analytical Sample Preparation Electrochemical analysis Hyphenated techniques Data processing As well as original research, Journal of Analytical Methods in Chemistry also publishes focused review articles that examine the state of the art, identify emerging trends, and suggest future directions for developing fields.
×
引用
GB/T 7714-2015
复制
MLA
复制
APA
复制
导出至
BibTeX EndNote RefMan NoteFirst NoteExpress
×
提示
您的信息不完整,为了账户安全,请先补充。
现在去补充
×
提示
您因"违规操作"
具体请查看互助需知
我知道了
×
提示
确定
请完成安全验证×
copy
已复制链接
快去分享给好友吧!
我知道了
右上角分享
点击右上角分享
0
联系我们:info@booksci.cn Book学术提供免费学术资源搜索服务,方便国内外学者检索中英文文献。致力于提供最便捷和优质的服务体验。 Copyright © 2023 布克学术 All rights reserved.
京ICP备2023020795号-1
ghs 京公网安备 11010802042870号
Book学术文献互助
Book学术文献互助群
群 号:604180095
Book学术官方微信