Polymorphic and Expressional Analysis of Genes CDKN2B and ADIPOQ in Cardiovascular Patients Using Conventional and qPCR Approach.

IF 1.7 4区 医学 Q3 PERIPHERAL VASCULAR DISEASE
International Journal of Hypertension Pub Date : 2025-08-25 eCollection Date: 2025-01-01 DOI:10.1155/ijhy/7379376
Kashif Bashir, Sayeda Fatima Tuba Sidra Batool, Sana Zahra, Hanan Nasir, Muhammad Umar, Tooba Ashraf
{"title":"Polymorphic and Expressional Analysis of Genes <i>CDKN2B</i> and <i>ADIPOQ</i> in Cardiovascular Patients Using Conventional and qPCR Approach.","authors":"Kashif Bashir, Sayeda Fatima Tuba Sidra Batool, Sana Zahra, Hanan Nasir, Muhammad Umar, Tooba Ashraf","doi":"10.1155/ijhy/7379376","DOIUrl":null,"url":null,"abstract":"<p><p><b>Background:</b> In the modern age, the problem of heart disease is increasing day by day which cause even more deaths than cancer. The study was designed to evaluate the polymorphism and expressional analysis of genes <i>CDKN2B</i> and <i>ADIPOQ</i> in cardiovascular patients. <b>Methodology:</b> Blood samples of 300 cardiovascular patients and 300 controls were collected from Gannan and other hospitals of Pakistan. For polymorphism analysis, DNA was extracted followed, by conventional PCR to amplify the variants rs4977574, rs2383206, and rs2241766 of genes CDKN2B and ADIPOQ, respectively. For expressional analysis, mRNA was extracted from whole blood and converted into cDNA, followed by qPCR. <b>Results:</b> The results show that heterozygous (AG) of rs4977574 of the <i>CDKN2B</i> gene showed highly significant association with 2-folds increased risk of cardiovascular disease (CVD) (OR = 2.03; 95% Cl = 1.26-3.25; <i>p</i> < 0.0033) while heterozygous (AG) of rs2383206 of the gene <i>CDKN2B</i> exhibited significant association but with decreased risk of CVD (OR = 0.47; 95% Cl = 0.29-0.75; <i>p</i> < 0.0017). The results of <i>ADIPOQ</i> polymorphism rs2241766 show that the heterozygous genotype (TG) showed a significant association with a decreased risk of CVD (OR = 0.63; 95% CI = 0.39-1.01; <i>p</i> < 0.05) while the homozygous mutant genotype (GG) of rs2241766 again showed a highly significant association with CVD which increased the risk of CVD by 2-folds (OR = 1.77; 95% CI = 1.11-2.80; <i>p</i> < 0.0150). The results of expressional analysis show that <i>CDKN2B</i> is significantly overexpressed in cardiovascular patients, while the gene <i>ADIPOQ</i> showed significant downregulation. <b>Conclusion:</b> The findings show that the <i>CDKN2B</i> and <i>ADIPOQ</i> gene polymorphisms significantly raise the risk for CVD, while their expression shows a significant correlation with CVD.</p>","PeriodicalId":14132,"journal":{"name":"International Journal of Hypertension","volume":"2025 ","pages":"7379376"},"PeriodicalIF":1.7000,"publicationDate":"2025-08-25","publicationTypes":"Journal Article","fieldsOfStudy":null,"isOpenAccess":false,"openAccessPdf":"https://www.ncbi.nlm.nih.gov/pmc/articles/PMC12401613/pdf/","citationCount":"0","resultStr":null,"platform":"Semanticscholar","paperid":null,"PeriodicalName":"International Journal of Hypertension","FirstCategoryId":"3","ListUrlMain":"https://doi.org/10.1155/ijhy/7379376","RegionNum":4,"RegionCategory":"医学","ArticlePicture":[],"TitleCN":null,"AbstractTextCN":null,"PMCID":null,"EPubDate":"2025/1/1 0:00:00","PubModel":"eCollection","JCR":"Q3","JCRName":"PERIPHERAL VASCULAR DISEASE","Score":null,"Total":0}
引用次数: 0

Abstract

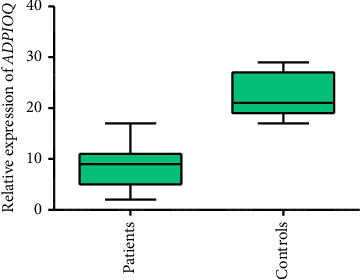
Background: In the modern age, the problem of heart disease is increasing day by day which cause even more deaths than cancer. The study was designed to evaluate the polymorphism and expressional analysis of genes CDKN2B and ADIPOQ in cardiovascular patients. Methodology: Blood samples of 300 cardiovascular patients and 300 controls were collected from Gannan and other hospitals of Pakistan. For polymorphism analysis, DNA was extracted followed, by conventional PCR to amplify the variants rs4977574, rs2383206, and rs2241766 of genes CDKN2B and ADIPOQ, respectively. For expressional analysis, mRNA was extracted from whole blood and converted into cDNA, followed by qPCR. Results: The results show that heterozygous (AG) of rs4977574 of the CDKN2B gene showed highly significant association with 2-folds increased risk of cardiovascular disease (CVD) (OR = 2.03; 95% Cl = 1.26-3.25; p < 0.0033) while heterozygous (AG) of rs2383206 of the gene CDKN2B exhibited significant association but with decreased risk of CVD (OR = 0.47; 95% Cl = 0.29-0.75; p < 0.0017). The results of ADIPOQ polymorphism rs2241766 show that the heterozygous genotype (TG) showed a significant association with a decreased risk of CVD (OR = 0.63; 95% CI = 0.39-1.01; p < 0.05) while the homozygous mutant genotype (GG) of rs2241766 again showed a highly significant association with CVD which increased the risk of CVD by 2-folds (OR = 1.77; 95% CI = 1.11-2.80; p < 0.0150). The results of expressional analysis show that CDKN2B is significantly overexpressed in cardiovascular patients, while the gene ADIPOQ showed significant downregulation. Conclusion: The findings show that the CDKN2B and ADIPOQ gene polymorphisms significantly raise the risk for CVD, while their expression shows a significant correlation with CVD.

Abstract Image

Abstract Image

CDKN2B和ADIPOQ基因在心血管患者中的多态性和表达分析
背景:在现代,心脏病的问题日益严重,导致的死亡人数甚至超过癌症。本研究旨在评估心血管患者CDKN2B和ADIPOQ基因的多态性和表达分析。方法:采集甘南及巴基斯坦各医院心血管患者300例,对照组300例。多态性分析,提取DNA后,采用常规PCR扩增CDKN2B、ADIPOQ基因rs4977574、rs2383206、rs2241766变异。表达分析采用全血提取mRNA,转化为cDNA,进行qPCR。结果:CDKN2B基因rs4977574的杂合性(AG)与心血管疾病(CVD)风险增加2倍呈极显著相关(OR = 2.03, 95% Cl = 1.26-3.25, p < 0.0033), CDKN2B基因rs2383206的杂合性(AG)与心血管疾病(CVD)风险降低呈显著相关(OR = 0.47, 95% Cl = 0.29-0.75, p < 0.0017)。ADIPOQ多态性rs2241766的结果显示,杂合子基因型(TG)与CVD的风险降低显著相关(OR = 0.63, 95% CI = 0.39 ~ 1.01, p < 0.05),而rs2241766的纯合子突变基因型(GG)与CVD的风险升高2倍(OR = 1.77, 95% CI = 1.11 ~ 2.80, p < 0.0150)。表达分析结果显示,CDKN2B在心血管患者中显著过表达,而ADIPOQ基因则显著下调。结论:CDKN2B和ADIPOQ基因多态性可显著增加心血管疾病的发生风险,而其表达与心血管疾病有显著相关性。
本文章由计算机程序翻译,如有差异,请以英文原文为准。
求助全文
约1分钟内获得全文 求助全文
来源期刊
International Journal of Hypertension
International Journal of Hypertension Medicine-Internal Medicine
CiteScore
4.00
自引率
5.30%
发文量
45
期刊介绍: International Journal of Hypertension is a peer-reviewed, Open Access journal that provides a forum for clinicians and basic scientists interested in blood pressure regulation and pathophysiology, as well as treatment and prevention of hypertension. The journal publishes original research articles, review articles, and clinical studies on the etiology and risk factors of hypertension, with a special focus on vascular biology, epidemiology, pediatric hypertension, and hypertensive nephropathy.
×
引用
GB/T 7714-2015
复制
MLA
复制
APA
复制
导出至
BibTeX EndNote RefMan NoteFirst NoteExpress
×
提示
您的信息不完整,为了账户安全,请先补充。
现在去补充
×
提示
您因"违规操作"
具体请查看互助需知
我知道了
×
提示
确定
请完成安全验证×
copy
已复制链接
快去分享给好友吧!
我知道了
右上角分享
点击右上角分享
0
联系我们:info@booksci.cn Book学术提供免费学术资源搜索服务,方便国内外学者检索中英文文献。致力于提供最便捷和优质的服务体验。 Copyright © 2023 布克学术 All rights reserved.
京ICP备2023020795号-1
ghs 京公网安备 11010802042870号
Book学术文献互助
Book学术文献互助群
群 号:604180095
Book学术官方微信