Association between the body roundness index and chronic pain among adults in the United States: a cross-sectional study.

IF 1.6 Q2 MEDICINE, GENERAL & INTERNAL
Annals of Medicine and Surgery Pub Date : 2025-08-05 eCollection Date: 2025-09-01 DOI:10.1097/MS9.0000000000003683
Weiai Jia, Hemei Wang, Fangfang Yong, Wei Liu, Jingpu Shi, Huiqun Jia
{"title":"Association between the body roundness index and chronic pain among adults in the United States: a cross-sectional study.","authors":"Weiai Jia, Hemei Wang, Fangfang Yong, Wei Liu, Jingpu Shi, Huiqun Jia","doi":"10.1097/MS9.0000000000003683","DOIUrl":null,"url":null,"abstract":"<p><strong>Background: </strong>Chronic pain is a significant public health concern in the United States. Obesity is associated with chronic pain. The body mass index may not accurately assess the health risks of obesity, and the body roundness index (BRI), a novel anthropometric indicator, may be more appropriate. However, the association between the BRI and chronic pain has not been validated. Therefore, this study examined the association between the BRI and chronic pain among adults in the United States.</p><p><strong>Methods: </strong>This cross-sectional study analyzed data from adult participants in the 1999-2004 National Health and Nutrition Examination Survey. Chronic pain was defined as self-reported pain lasting 3 months or more in the past year. The BRI was calculated using height and waist circumference. Multivariable logistic regression models and restricted cubic splines were used to assess the association between the BRI and chronic pain. Subgroup analyses were performed to explore confounder effects.</p><p><strong>Results: </strong>Of the 11,599 participants aged 20 years or older, 1690 (15.92%) had chronic pain. In fully adjusted models, the BRI was positively associated with chronic pain [odds ratio (OR) = 1.05, 95% confidence interval (CI) = 1.02-1.09]. Compared with participants in the lowest BRI quintile (Q1), those in the highest quintile (Q5) had an adjusted OR of 1.28 (95% CI = 1.07-1.54) for chronic pain. The multivariable restricted cubic spline showed a nonlinear association between the BRI and chronic pain. In two piecewise regression models, participants with BRI ≥ 4.63 had an adjusted OR of 1.07 (95% CI = 1.00-1.13) for chronic pain; however, no correlation was observed for participants with the BRI < 4.63. Further subgroup analyses revealed no significant interactions between these variables.</p><p><strong>Conclusion: </strong>Higher BRI was associated with an increased risk of chronic pain, indicating that the BRI was a significant risk factor. Therefore, regular monitoring and preventive measures are required to maintain optimal BRI levels and prevent chronic pain.</p>","PeriodicalId":8025,"journal":{"name":"Annals of Medicine and Surgery","volume":"87 9","pages":"5454-5461"},"PeriodicalIF":1.6000,"publicationDate":"2025-08-05","publicationTypes":"Journal Article","fieldsOfStudy":null,"isOpenAccess":false,"openAccessPdf":"https://www.ncbi.nlm.nih.gov/pmc/articles/PMC12401223/pdf/","citationCount":"0","resultStr":null,"platform":"Semanticscholar","paperid":null,"PeriodicalName":"Annals of Medicine and Surgery","FirstCategoryId":"1085","ListUrlMain":"https://doi.org/10.1097/MS9.0000000000003683","RegionNum":0,"RegionCategory":null,"ArticlePicture":[],"TitleCN":null,"AbstractTextCN":null,"PMCID":null,"EPubDate":"2025/9/1 0:00:00","PubModel":"eCollection","JCR":"Q2","JCRName":"MEDICINE, GENERAL & INTERNAL","Score":null,"Total":0}
引用次数: 0

Abstract

Background: Chronic pain is a significant public health concern in the United States. Obesity is associated with chronic pain. The body mass index may not accurately assess the health risks of obesity, and the body roundness index (BRI), a novel anthropometric indicator, may be more appropriate. However, the association between the BRI and chronic pain has not been validated. Therefore, this study examined the association between the BRI and chronic pain among adults in the United States.

Methods: This cross-sectional study analyzed data from adult participants in the 1999-2004 National Health and Nutrition Examination Survey. Chronic pain was defined as self-reported pain lasting 3 months or more in the past year. The BRI was calculated using height and waist circumference. Multivariable logistic regression models and restricted cubic splines were used to assess the association between the BRI and chronic pain. Subgroup analyses were performed to explore confounder effects.

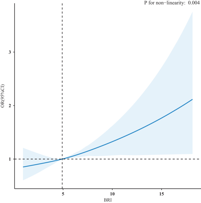
Results: Of the 11,599 participants aged 20 years or older, 1690 (15.92%) had chronic pain. In fully adjusted models, the BRI was positively associated with chronic pain [odds ratio (OR) = 1.05, 95% confidence interval (CI) = 1.02-1.09]. Compared with participants in the lowest BRI quintile (Q1), those in the highest quintile (Q5) had an adjusted OR of 1.28 (95% CI = 1.07-1.54) for chronic pain. The multivariable restricted cubic spline showed a nonlinear association between the BRI and chronic pain. In two piecewise regression models, participants with BRI ≥ 4.63 had an adjusted OR of 1.07 (95% CI = 1.00-1.13) for chronic pain; however, no correlation was observed for participants with the BRI < 4.63. Further subgroup analyses revealed no significant interactions between these variables.

Conclusion: Higher BRI was associated with an increased risk of chronic pain, indicating that the BRI was a significant risk factor. Therefore, regular monitoring and preventive measures are required to maintain optimal BRI levels and prevent chronic pain.

Abstract Image

Abstract Image

Abstract Image

美国成年人身体圆度指数与慢性疼痛之间的关系:一项横断面研究。
背景:慢性疼痛是美国一个重要的公共卫生问题。肥胖与慢性疼痛有关。体重指数可能不能准确评估肥胖的健康风险,而身体圆度指数(BRI),一种新的人体测量指标,可能更合适。然而,BRI与慢性疼痛之间的关系尚未得到证实。因此,本研究调查了美国成年人中BRI与慢性疼痛之间的关系。方法:这项横断面研究分析了1999-2004年全国健康与营养调查中成年参与者的数据。慢性疼痛被定义为过去一年中自我报告的持续3个月或更长时间的疼痛。BRI是用身高和腰围计算的。多变量logistic回归模型和限制三次样条被用来评估BRI和慢性疼痛之间的关系。进行亚组分析以探讨混杂效应。结果:在11599名年龄在20岁或以上的参与者中,1690名(15.92%)患有慢性疼痛。在完全调整的模型中,BRI与慢性疼痛呈正相关[优势比(OR) = 1.05, 95%可信区间(CI) = 1.02-1.09]。与最低BRI五分位数(Q1)的参与者相比,最高BRI五分位数(Q5)的慢性疼痛调整OR为1.28 (95% CI = 1.07-1.54)。多变量限制三次样条显示BRI和慢性疼痛之间的非线性关联。在两个分段回归模型中,BRI≥4.63的受试者慢性疼痛的调整OR为1.07 (95% CI = 1.00-1.13);然而,BRI < 4.63的参与者没有观察到相关性。进一步的亚组分析显示这些变量之间没有显著的相互作用。结论:较高的BRI与慢性疼痛风险增加相关,表明BRI是一个重要的危险因素。因此,需要定期监测和预防措施来维持最佳的BRI水平并预防慢性疼痛。
本文章由计算机程序翻译,如有差异,请以英文原文为准。
求助全文
约1分钟内获得全文 求助全文
来源期刊
Annals of Medicine and Surgery
Annals of Medicine and Surgery MEDICINE, GENERAL & INTERNAL-
自引率
5.90%
发文量
1665
×
引用
GB/T 7714-2015
复制
MLA
复制
APA
复制
导出至
BibTeX EndNote RefMan NoteFirst NoteExpress
×
提示
您的信息不完整,为了账户安全,请先补充。
现在去补充
×
提示
您因"违规操作"
具体请查看互助需知
我知道了
×
提示
确定
请完成安全验证×
copy
已复制链接
快去分享给好友吧!
我知道了
右上角分享
点击右上角分享
0
联系我们:info@booksci.cn Book学术提供免费学术资源搜索服务,方便国内外学者检索中英文文献。致力于提供最便捷和优质的服务体验。 Copyright © 2023 布克学术 All rights reserved.
京ICP备2023020795号-1
ghs 京公网安备 11010802042870号
Book学术文献互助
Book学术文献互助群
群 号:604180095
Book学术官方微信