A survival prediction model for biliary tract cancer based on least absolute shrinkage and selection operator-cox regression.

IF 4.3
Annals of medicine Pub Date : 2025-12-01 Epub Date: 2025-09-03 DOI:10.1080/07853890.2025.2555520
Shanshan Fan, Kexin Zhao, Ziwei Liang, Yang Ge
{"title":"A survival prediction model for biliary tract cancer based on least absolute shrinkage and selection operator-cox regression.","authors":"Shanshan Fan, Kexin Zhao, Ziwei Liang, Yang Ge","doi":"10.1080/07853890.2025.2555520","DOIUrl":null,"url":null,"abstract":"<p><strong>Background: </strong>Biliary tract cancer (BTC) is a digestive tract tumor with low incidence, high malignancy, and short survival times. Abnormal lipid metabolism may be related to the occurrence and development of tumors; therefore, we constructed a survival prediction model for patients with BTC using clinical data that included lipid indicators rarely considered in previous studies.</p><p><strong>Patients and methods: </strong>Clinical and pathological data were collected from 124 patients with BTC. Patients were divided into two groups according to the inclusion time. The training and validation cohorts included 70 patients from 2017 to 2021 and 54 patients from 2022 to 2023. Least absolute shrinkage and selection operator-Cox regression analysis was conducted on the survival data. The resulting prediction model was evaluated using discrimination and calibration analyses performed in R Studio.</p><p><strong>Results: </strong>Tumor location, lipoprotein (a), carcinoembryonic antigen, carbohydrate antigen 19-9, and therapy type were identified as key predictors for constructing the nomogram. The consistency indexes for the training and validation cohorts were 0.677 and 0.655, respectively, indicating moderate discrimination. The Hosmer-Lemeshow test provided a <i>p</i>-value of 0.188 for the validation cohort, suggesting a good model fit. The calibration accuracy of the model in the two cohorts was further evaluated by drawing calibration curves based on the follow-up time. Patients were classified into high- and low-risk groups according to the nomogram risk scores. Kaplan-Meier survival curves showed significant differences between the training cohort (<i>p</i> = 0.00041) and the validation cohort (<i>p</i> = 0.0028). The risk score scatter plot provided visual verification of the model's performance.</p><p><strong>Conclusions: </strong>The predictive model constructed in this retrospective study shows potential for guiding the clinical identification of groups at high risk of BTC, adjusting treatment intensity, and improving follow-up management.</p>","PeriodicalId":93874,"journal":{"name":"Annals of medicine","volume":"57 1","pages":"2555520"},"PeriodicalIF":4.3000,"publicationDate":"2025-12-01","publicationTypes":"Journal Article","fieldsOfStudy":null,"isOpenAccess":false,"openAccessPdf":"https://www.ncbi.nlm.nih.gov/pmc/articles/PMC12409905/pdf/","citationCount":"0","resultStr":null,"platform":"Semanticscholar","paperid":null,"PeriodicalName":"Annals of medicine","FirstCategoryId":"1085","ListUrlMain":"https://doi.org/10.1080/07853890.2025.2555520","RegionNum":0,"RegionCategory":null,"ArticlePicture":[],"TitleCN":null,"AbstractTextCN":null,"PMCID":null,"EPubDate":"2025/9/3 0:00:00","PubModel":"Epub","JCR":"","JCRName":"","Score":null,"Total":0}
引用次数: 0

Abstract

Background: Biliary tract cancer (BTC) is a digestive tract tumor with low incidence, high malignancy, and short survival times. Abnormal lipid metabolism may be related to the occurrence and development of tumors; therefore, we constructed a survival prediction model for patients with BTC using clinical data that included lipid indicators rarely considered in previous studies.

Patients and methods: Clinical and pathological data were collected from 124 patients with BTC. Patients were divided into two groups according to the inclusion time. The training and validation cohorts included 70 patients from 2017 to 2021 and 54 patients from 2022 to 2023. Least absolute shrinkage and selection operator-Cox regression analysis was conducted on the survival data. The resulting prediction model was evaluated using discrimination and calibration analyses performed in R Studio.

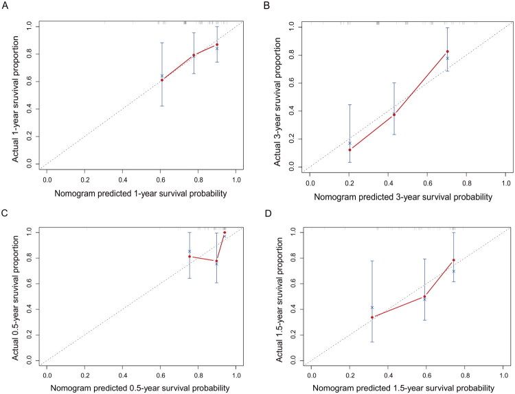
Results: Tumor location, lipoprotein (a), carcinoembryonic antigen, carbohydrate antigen 19-9, and therapy type were identified as key predictors for constructing the nomogram. The consistency indexes for the training and validation cohorts were 0.677 and 0.655, respectively, indicating moderate discrimination. The Hosmer-Lemeshow test provided a p-value of 0.188 for the validation cohort, suggesting a good model fit. The calibration accuracy of the model in the two cohorts was further evaluated by drawing calibration curves based on the follow-up time. Patients were classified into high- and low-risk groups according to the nomogram risk scores. Kaplan-Meier survival curves showed significant differences between the training cohort (p = 0.00041) and the validation cohort (p = 0.0028). The risk score scatter plot provided visual verification of the model's performance.

Conclusions: The predictive model constructed in this retrospective study shows potential for guiding the clinical identification of groups at high risk of BTC, adjusting treatment intensity, and improving follow-up management.

Abstract Image

Abstract Image

Abstract Image

基于最小绝对收缩和选择算子-cox回归的胆道癌生存预测模型。
背景:胆道癌(BTC)是一种发病率低、恶性程度高、生存期短的消化道肿瘤。脂质代谢异常可能与肿瘤的发生发展有关;因此,我们利用临床数据构建了BTC患者的生存预测模型,其中包括以往研究中很少考虑的脂质指标。患者与方法:收集124例BTC患者的临床及病理资料。根据纳入时间将患者分为两组。培训和验证队列包括2017年至2021年的70名患者和2022年至2023年的54名患者。对生存数据进行最小绝对收缩和选择算子- cox回归分析。使用在R Studio中进行的判别和校准分析来评估所得的预测模型。结果:肿瘤位置、脂蛋白(a)、癌胚抗原、碳水化合物抗原19-9和治疗类型被确定为构建nomogram的关键预测因子。训练队列和验证队列的一致性指数分别为0.677和0.655,为中度歧视。Hosmer-Lemeshow检验为验证队列提供了0.188的p值,表明模型拟合良好。根据随访时间绘制校正曲线,进一步评价两组模型的校正精度。根据nomogram风险评分将患者分为高危组和低危组。Kaplan-Meier生存曲线显示训练组(p = 0.00041)与验证组(p = 0.0028)存在显著差异。风险评分散点图提供了模型性能的视觉验证。结论:本回顾性研究构建的预测模型具有指导临床识别BTC高危人群、调整治疗强度、改善随访管理的潜力。
本文章由计算机程序翻译,如有差异,请以英文原文为准。
求助全文
约1分钟内获得全文 求助全文
来源期刊
自引率
0.00%
发文量
0
×
引用
GB/T 7714-2015
复制
MLA
复制
APA
复制
导出至
BibTeX EndNote RefMan NoteFirst NoteExpress
×
提示
您的信息不完整,为了账户安全,请先补充。
现在去补充
×
提示
您因"违规操作"
具体请查看互助需知
我知道了
×
提示
确定
请完成安全验证×
copy
已复制链接
快去分享给好友吧!
我知道了
右上角分享
点击右上角分享
0
联系我们:info@booksci.cn Book学术提供免费学术资源搜索服务,方便国内外学者检索中英文文献。致力于提供最便捷和优质的服务体验。 Copyright © 2023 布克学术 All rights reserved.
京ICP备2023020795号-1
ghs 京公网安备 11010802042870号
Book学术文献互助
Book学术文献互助群
群 号:604180095
Book学术官方微信