Hippocampal Volumetric Changes in Astronauts Following a Mission in the International Space Station.

IF 2 Q3 CLINICAL NEUROLOGY
NeuroSci Pub Date : 2025-07-25 DOI:10.3390/neurosci6030070
Shafaq Batool, Tejdeep Jaswal, Ford Burles, Giuseppe Iaria
{"title":"Hippocampal Volumetric Changes in Astronauts Following a Mission in the International Space Station.","authors":"Shafaq Batool, Tejdeep Jaswal, Ford Burles, Giuseppe Iaria","doi":"10.3390/neurosci6030070","DOIUrl":null,"url":null,"abstract":"<p><p>(1) Background: Evidence from non-human animal and spaceflight analog studies have suggested that traveling to outer space could have a significant impact on the structural properties of the hippocampus, a brain region within the medial temporal lobe that is critical for learning and memory. Here, we tested this hypothesis in a group of astronauts who participated in a six-month mission in the International Space Station (ISS). (2) Methods: We collected magnetic resonance imaging (MRI) scans from a sample of 17 (9 males, 8 females) astronauts before and after the ISS mission, and calculated percent gray matter volume changes in the whole hippocampus and its (anterior, body, and posterior) subregions in both hemispheres. (3) Following the six-month mission in the ISS, we found a significantly decreased volume in the whole left hippocampus; in addition, when looking at subregions separately, we detected a significantly decreased volume in the anterior subregion of the left hippocampus and the body subregion of the right hippocampus. We also found a significantly decreased volume in the whole right hippocampus of male astronauts as compared to female astronauts. (4) Conclusions: This study, providing the very first evidence of hippocampal volumetric changes in astronauts following a six-month mission to the ISS, could have significant implications for cognitive performance during future long-duration spaceflights.</p>","PeriodicalId":74294,"journal":{"name":"NeuroSci","volume":"6 3","pages":""},"PeriodicalIF":2.0000,"publicationDate":"2025-07-25","publicationTypes":"Journal Article","fieldsOfStudy":null,"isOpenAccess":false,"openAccessPdf":"https://www.ncbi.nlm.nih.gov/pmc/articles/PMC12372098/pdf/","citationCount":"0","resultStr":null,"platform":"Semanticscholar","paperid":null,"PeriodicalName":"NeuroSci","FirstCategoryId":"1085","ListUrlMain":"https://doi.org/10.3390/neurosci6030070","RegionNum":0,"RegionCategory":null,"ArticlePicture":[],"TitleCN":null,"AbstractTextCN":null,"PMCID":null,"EPubDate":"","PubModel":"","JCR":"Q3","JCRName":"CLINICAL NEUROLOGY","Score":null,"Total":0}
引用次数: 0

Abstract

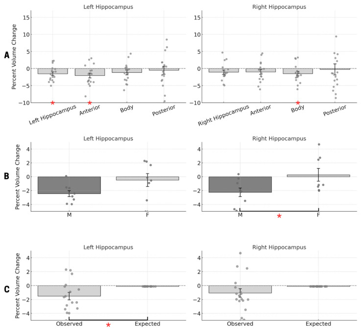
(1) Background: Evidence from non-human animal and spaceflight analog studies have suggested that traveling to outer space could have a significant impact on the structural properties of the hippocampus, a brain region within the medial temporal lobe that is critical for learning and memory. Here, we tested this hypothesis in a group of astronauts who participated in a six-month mission in the International Space Station (ISS). (2) Methods: We collected magnetic resonance imaging (MRI) scans from a sample of 17 (9 males, 8 females) astronauts before and after the ISS mission, and calculated percent gray matter volume changes in the whole hippocampus and its (anterior, body, and posterior) subregions in both hemispheres. (3) Following the six-month mission in the ISS, we found a significantly decreased volume in the whole left hippocampus; in addition, when looking at subregions separately, we detected a significantly decreased volume in the anterior subregion of the left hippocampus and the body subregion of the right hippocampus. We also found a significantly decreased volume in the whole right hippocampus of male astronauts as compared to female astronauts. (4) Conclusions: This study, providing the very first evidence of hippocampal volumetric changes in astronauts following a six-month mission to the ISS, could have significant implications for cognitive performance during future long-duration spaceflights.

Abstract Image

Abstract Image

宇航员在国际空间站执行任务后的海马体体积变化。
(1)背景:来自非人类动物和航天模拟研究的证据表明,前往外太空可能会对海马体的结构特性产生重大影响,海马体是大脑内侧颞叶内的一个区域,对学习和记忆至关重要。在这里,我们在一组参加国际空间站(ISS)六个月任务的宇航员身上验证了这一假设。(2)方法:收集17名宇航员(男9名,女8名)在执行国际空间站任务前后的磁共振成像(MRI)扫描结果,计算整个海马及其两个半球(前、体和后)亚区灰质体积变化的百分比。(3)在国际空间站执行6个月的任务后,我们发现整个左侧海马体的体积明显减少;此外,当单独观察亚区时,我们发现左侧海马前亚区和右侧海马体亚区体积明显减少。我们还发现,与女性宇航员相比,男性宇航员的整个右侧海马体的体积明显减少。(4)结论:这项研究首次提供了宇航员在国际空间站执行六个月任务后海马体体积变化的证据,可能对未来长期太空飞行中的认知表现产生重大影响。
本文章由计算机程序翻译,如有差异,请以英文原文为准。
求助全文
约1分钟内获得全文 求助全文
来源期刊
自引率
0.00%
发文量
0
审稿时长
11 weeks
×
引用
GB/T 7714-2015
复制
MLA
复制
APA
复制
导出至
BibTeX EndNote RefMan NoteFirst NoteExpress
×
提示
您的信息不完整,为了账户安全,请先补充。
现在去补充
×
提示
您因"违规操作"
具体请查看互助需知
我知道了
×
提示
确定
请完成安全验证×
copy
已复制链接
快去分享给好友吧!
我知道了
右上角分享
点击右上角分享
0
联系我们:info@booksci.cn Book学术提供免费学术资源搜索服务,方便国内外学者检索中英文文献。致力于提供最便捷和优质的服务体验。 Copyright © 2023 布克学术 All rights reserved.
京ICP备2023020795号-1
ghs 京公网安备 11010802042870号
Book学术文献互助
Book学术文献互助群
群 号:604180095
Book学术官方微信