NEUROCOGNITION, PLASMA LEVEL OF TUMOUR NECROSIS FACTORRELATED APOPTOSIS INDUCING LIGAND (TRAIL), AND PHAGOCYTIC ACTIVITY IN HIV PATIENTS ON LONG-TERM ANTIRETROVIRAL THERAPY.

S K Rahamon, T B Kasali, A A Onifade, S P Ogundeji, O G Arinola
{"title":"NEUROCOGNITION, PLASMA LEVEL OF TUMOUR NECROSIS FACTORRELATED APOPTOSIS INDUCING LIGAND (TRAIL), AND PHAGOCYTIC ACTIVITY IN HIV PATIENTS ON LONG-TERM ANTIRETROVIRAL THERAPY.","authors":"S K Rahamon, T B Kasali, A A Onifade, S P Ogundeji, O G Arinola","doi":"","DOIUrl":null,"url":null,"abstract":"<p><strong>Background: </strong>The neuropathological process responsible for neurocognitive disorders in people living with HIV (PLHIV) on long-term antiretroviral therapy (ART) is not well elucidated. Presently, there is a dearth of information on the roles of altered immune response in the pathogenesis of HIV-associated neurocognitive disorders. To investigate the interplay between immune response alteration and neuropathological mechanisms underlying neurocognitive disorders in PLHIV on long-term ART, neurocognition, phagocytic activity and plasma levels of tumor necrosis factor-related apoptosis inducing ligand (TRAIL) and nitric oxide (NO) were determined in PLHIV on long-term ART.</p><p><strong>Methods: </strong>Eighty eight adults comprising 48 PLHIV on long-term ART and 40 controls, were enrolled into this case-control study. Neurocognition was assessed using the Mini-Mental State Examination (MMSE) while the plasma levels of TRAIL and nitric oxide were determined using ELISA and spectrophotometric method respectively. Phagocytic activity was determined using the neutrophil Nitroblue Tetrazolium (NBT) Reduction Test.</p><p><strong>Results: </strong>The plasma TRAIL level and phagocytic activity were significantly lower while the plasma level of NO was significantly higher in PLHIV compared with the controls. However, the mean MMSE score was similar in PLHIV and controls. There were no significant differences in the mean TRAIL levels, phagocytic activity, NO and MMSE score in PLHIV who have been on ART for less than 10 years compared with patients who have been on ART for 10 years or more.</p><p><strong>Conclusion: </strong>Phagocytic activity and plasma levels of TRAIL and NO are altered in PLHIV on long-term ART. However, these alterations appear not to be forerunners to neurocognitive impairment in Nigerians living with HIV on longterm ART.</p>","PeriodicalId":72221,"journal":{"name":"Annals of Ibadan postgraduate medicine","volume":"23 1","pages":"80-88"},"PeriodicalIF":0.0000,"publicationDate":"2025-03-31","publicationTypes":"Journal Article","fieldsOfStudy":null,"isOpenAccess":false,"openAccessPdf":"https://www.ncbi.nlm.nih.gov/pmc/articles/PMC12337965/pdf/","citationCount":"0","resultStr":null,"platform":"Semanticscholar","paperid":null,"PeriodicalName":"Annals of Ibadan postgraduate medicine","FirstCategoryId":"1085","ListUrlMain":"","RegionNum":0,"RegionCategory":null,"ArticlePicture":[],"TitleCN":null,"AbstractTextCN":null,"PMCID":null,"EPubDate":"","PubModel":"","JCR":"","JCRName":"","Score":null,"Total":0}
引用次数: 0

Abstract

Background: The neuropathological process responsible for neurocognitive disorders in people living with HIV (PLHIV) on long-term antiretroviral therapy (ART) is not well elucidated. Presently, there is a dearth of information on the roles of altered immune response in the pathogenesis of HIV-associated neurocognitive disorders. To investigate the interplay between immune response alteration and neuropathological mechanisms underlying neurocognitive disorders in PLHIV on long-term ART, neurocognition, phagocytic activity and plasma levels of tumor necrosis factor-related apoptosis inducing ligand (TRAIL) and nitric oxide (NO) were determined in PLHIV on long-term ART.

Methods: Eighty eight adults comprising 48 PLHIV on long-term ART and 40 controls, were enrolled into this case-control study. Neurocognition was assessed using the Mini-Mental State Examination (MMSE) while the plasma levels of TRAIL and nitric oxide were determined using ELISA and spectrophotometric method respectively. Phagocytic activity was determined using the neutrophil Nitroblue Tetrazolium (NBT) Reduction Test.

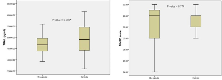
Results: The plasma TRAIL level and phagocytic activity were significantly lower while the plasma level of NO was significantly higher in PLHIV compared with the controls. However, the mean MMSE score was similar in PLHIV and controls. There were no significant differences in the mean TRAIL levels, phagocytic activity, NO and MMSE score in PLHIV who have been on ART for less than 10 years compared with patients who have been on ART for 10 years or more.

Conclusion: Phagocytic activity and plasma levels of TRAIL and NO are altered in PLHIV on long-term ART. However, these alterations appear not to be forerunners to neurocognitive impairment in Nigerians living with HIV on longterm ART.

Abstract Image

长期接受抗逆转录病毒治疗的HIV患者的神经认知、血浆中肿瘤坏死因子相关的凋亡诱导配体(trail)水平和吞噬活性
背景:长期抗逆转录病毒治疗(ART)的HIV感染者(PLHIV)神经认知障碍的神经病理过程尚未得到很好的阐明。目前,缺乏关于免疫反应改变在hiv相关神经认知障碍发病机制中的作用的信息。为了研究长期抗逆转录病毒治疗后PLHIV患者神经认知障碍的免疫反应改变与神经病理机制之间的相互作用,我们检测了长期抗逆转录病毒治疗后PLHIV患者的神经认知、吞噬活性以及血浆中肿瘤坏死因子相关凋亡诱导配体(TRAIL)和一氧化氮(NO)的水平。方法:88名成人,包括48名接受长期抗逆转录病毒治疗的艾滋病病毒携带者和40名对照组,纳入本病例-对照研究。采用简易精神状态检查(MMSE)评估神经认知,采用ELISA和分光光度法分别测定血浆TRAIL和一氧化氮水平。采用中性粒细胞硝基蓝四氮唑(NBT)还原试验测定吞噬活性。结果:与对照组相比,PLHIV患者血浆TRAIL水平和吞噬活性显著降低,血浆NO水平显著升高。然而,PLHIV和对照组的平均MMSE评分相似。与接受抗逆转录病毒治疗10年及以上的患者相比,接受抗逆转录病毒治疗不足10年的PLHIV患者的平均TRAIL水平、吞噬活性、no和MMSE评分均无显著差异。结论:长期抗逆转录病毒治疗可改变PLHIV患者的吞噬活性和血浆TRAIL、NO水平。然而,这些改变似乎并不是长期接受抗逆转录病毒治疗的尼日利亚艾滋病毒感染者神经认知障碍的前兆。
本文章由计算机程序翻译,如有差异,请以英文原文为准。
求助全文
约1分钟内获得全文 求助全文
来源期刊
自引率
0.00%
发文量
0
×
引用
GB/T 7714-2015
复制
MLA
复制
APA
复制
导出至
BibTeX EndNote RefMan NoteFirst NoteExpress
×
提示
您的信息不完整,为了账户安全,请先补充。
现在去补充
×
提示
您因"违规操作"
具体请查看互助需知
我知道了
×
提示
确定
请完成安全验证×
copy
已复制链接
快去分享给好友吧!
我知道了
右上角分享
点击右上角分享
0
联系我们:info@booksci.cn Book学术提供免费学术资源搜索服务,方便国内外学者检索中英文文献。致力于提供最便捷和优质的服务体验。 Copyright © 2023 布克学术 All rights reserved.
京ICP备2023020795号-1
ghs 京公网安备 11010802042870号
Book学术文献互助
Book学术文献互助群
群 号:604180095
Book学术官方微信