Evaluation of Health Resource Efficiency and Its Influencing Factors in Ethnic Minority Areas of Guangxi: Data from 2010 to 2022.

IF 2 4区 医学 Q2 HEALTH CARE SCIENCES & SERVICES
Risk Management and Healthcare Policy Pub Date : 2025-08-18 eCollection Date: 2025-01-01 DOI:10.2147/RMHP.S534921
Zhuanzhi Tang, Ajuan Tang, Zhe Sun, Gai Cao, Rong Cao
{"title":"Evaluation of Health Resource Efficiency and Its Influencing Factors in Ethnic Minority Areas of Guangxi: Data from 2010 to 2022.","authors":"Zhuanzhi Tang, Ajuan Tang, Zhe Sun, Gai Cao, Rong Cao","doi":"10.2147/RMHP.S534921","DOIUrl":null,"url":null,"abstract":"<p><strong>Objective: </strong>Measuring the efficiency of health resources is one of the tools for determining how resources are utilized. Considering the necessity of assessing health resource efficiency, this study aims to evaluate the efficiency of health resource allocation and its influencing factors in Guangxi, a minority region.</p><p><strong>Methods: </strong>An input-oriented Data Envelopment Analysis (BCC-DEA) and the Malmquist index model were employed to analyze the static and intertemporal efficiency of health resource allocation in 14 cities in Guangxi from 2010 to 2022. Finally, a Tobit regression model was used to estimate the factors influencing health resource allocation efficiency.</p><p><strong>Results: </strong>Since the implementation of the new healthcare reform in 2009, the quantity of health resources in Guangxi has increased substantially. The average annual growth rate of total factor productivity change for health resources from 2010 to 2022 was 4.6%. However, the overall efficiency of health resource allocation remained low at 0.675, falling short of DEA effectiveness, with notable disparities across cities. Tobit regression analysis indicated that per capita disposable income (β = 0.252, 95% CI = 0.000-0.505) and the proportion of healthcare expenditure (β = 0.011, 95% CI = 0.004-0.017) were positively associated with efficiency scores, while population density (β = -0.001, 95% CI = -0.0007 - -0.0002) was negatively associated. These findings were further validated through a two-stage bootstrap truncated regression.</p><p><strong>Conclusion: </strong>The efficiency of health resource allocation in Guangxi remains in need of improvement due to issues such as insufficient technological innovation and an unscientific allocation of resource scale. It is recommended that relevant authorities increase investments in health funding and technological innovation, improve institutional mechanisms, and allocate health resources in a scientific and rational manner.</p>","PeriodicalId":56009,"journal":{"name":"Risk Management and Healthcare Policy","volume":"18 ","pages":"2713-2730"},"PeriodicalIF":2.0000,"publicationDate":"2025-08-18","publicationTypes":"Journal Article","fieldsOfStudy":null,"isOpenAccess":false,"openAccessPdf":"https://www.ncbi.nlm.nih.gov/pmc/articles/PMC12372844/pdf/","citationCount":"0","resultStr":null,"platform":"Semanticscholar","paperid":null,"PeriodicalName":"Risk Management and Healthcare Policy","FirstCategoryId":"3","ListUrlMain":"https://doi.org/10.2147/RMHP.S534921","RegionNum":4,"RegionCategory":"医学","ArticlePicture":[],"TitleCN":null,"AbstractTextCN":null,"PMCID":null,"EPubDate":"2025/1/1 0:00:00","PubModel":"eCollection","JCR":"Q2","JCRName":"HEALTH CARE SCIENCES & SERVICES","Score":null,"Total":0}
引用次数: 0

Abstract

Objective: Measuring the efficiency of health resources is one of the tools for determining how resources are utilized. Considering the necessity of assessing health resource efficiency, this study aims to evaluate the efficiency of health resource allocation and its influencing factors in Guangxi, a minority region.

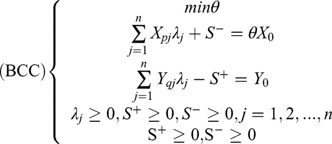
Methods: An input-oriented Data Envelopment Analysis (BCC-DEA) and the Malmquist index model were employed to analyze the static and intertemporal efficiency of health resource allocation in 14 cities in Guangxi from 2010 to 2022. Finally, a Tobit regression model was used to estimate the factors influencing health resource allocation efficiency.

Results: Since the implementation of the new healthcare reform in 2009, the quantity of health resources in Guangxi has increased substantially. The average annual growth rate of total factor productivity change for health resources from 2010 to 2022 was 4.6%. However, the overall efficiency of health resource allocation remained low at 0.675, falling short of DEA effectiveness, with notable disparities across cities. Tobit regression analysis indicated that per capita disposable income (β = 0.252, 95% CI = 0.000-0.505) and the proportion of healthcare expenditure (β = 0.011, 95% CI = 0.004-0.017) were positively associated with efficiency scores, while population density (β = -0.001, 95% CI = -0.0007 - -0.0002) was negatively associated. These findings were further validated through a two-stage bootstrap truncated regression.

Conclusion: The efficiency of health resource allocation in Guangxi remains in need of improvement due to issues such as insufficient technological innovation and an unscientific allocation of resource scale. It is recommended that relevant authorities increase investments in health funding and technological innovation, improve institutional mechanisms, and allocate health resources in a scientific and rational manner.

Abstract Image

Abstract Image

Abstract Image

广西少数民族地区卫生资源效率评价及其影响因素——2010 - 2022年数据
目的:衡量卫生资源的效率是确定资源利用方式的工具之一。考虑到卫生资源效率评价的必要性,本研究旨在对广西这个少数民族地区的卫生资源配置效率及其影响因素进行评价。方法:采用投入导向数据包络分析(BCC-DEA)和Malmquist指数模型,对广西14个地市2010 - 2022年卫生资源配置的静态效率和跨期效率进行分析。最后,采用Tobit回归模型对卫生资源配置效率的影响因素进行了估计。结果:2009年新医改实施以来,广西卫生资源总量大幅增加。2010 - 2022年卫生资源全要素生产率变化年均增长率为4.6%。但总体卫生资源配置效率为0.675,未达到DEA有效性,且城市间差异显著。Tobit回归分析显示,人均可支配收入(β = 0.252, 95% CI = 0.000 ~ 0.505)和医疗费用支出比例(β = 0.011, 95% CI = 0.004 ~ 0.017)与效率评分呈正相关,而人口密度(β = -0.001, 95% CI = -0.0007 ~ -0.0002)与效率评分呈负相关。通过两阶段自举截断回归进一步验证了这些发现。结论:广西卫生资源配置效率有待提高,存在技术创新不足、资源规模配置不科学等问题。建议有关部门加大对卫生资金和技术创新的投入,完善体制机制,科学合理配置卫生资源。
本文章由计算机程序翻译,如有差异,请以英文原文为准。
求助全文
约1分钟内获得全文 求助全文
来源期刊
Risk Management and Healthcare Policy
Risk Management and Healthcare Policy Medicine-Public Health, Environmental and Occupational Health
CiteScore
6.20
自引率
2.90%
发文量
242
审稿时长
16 weeks
期刊介绍: Risk Management and Healthcare Policy is an international, peer-reviewed, open access journal focusing on all aspects of public health, policy and preventative measures to promote good health and improve morbidity and mortality in the population. Specific topics covered in the journal include: Public and community health Policy and law Preventative and predictive healthcare Risk and hazard management Epidemiology, detection and screening Lifestyle and diet modification Vaccination and disease transmission/modification programs Health and safety and occupational health Healthcare services provision Health literacy and education Advertising and promotion of health issues Health economic evaluations and resource management Risk Management and Healthcare Policy focuses on human interventional and observational research. The journal welcomes submitted papers covering original research, clinical and epidemiological studies, reviews and evaluations, guidelines, expert opinion and commentary, and extended reports. Case reports will only be considered if they make a valuable and original contribution to the literature. The journal does not accept study protocols, animal-based or cell line-based studies.
×
引用
GB/T 7714-2015
复制
MLA
复制
APA
复制
导出至
BibTeX EndNote RefMan NoteFirst NoteExpress
×
提示
您的信息不完整,为了账户安全,请先补充。
现在去补充
×
提示
您因"违规操作"
具体请查看互助需知
我知道了
×
提示
确定
请完成安全验证×
copy
已复制链接
快去分享给好友吧!
我知道了
右上角分享
点击右上角分享
0
联系我们:info@booksci.cn Book学术提供免费学术资源搜索服务,方便国内外学者检索中英文文献。致力于提供最便捷和优质的服务体验。 Copyright © 2023 布克学术 All rights reserved.
京ICP备2023020795号-1
ghs 京公网安备 11010802042870号
Book学术文献互助
Book学术文献互助群
群 号:604180095
Book学术官方微信